预测COVID-19死亡率的生物标志物:印度尼西亚Sulianti Saroso传染病医院的一项研究

Narra J Pub Date : 2025-08-01 Epub Date: 2025-04-26 DOI:10.52225/narra.v5i2.1936
Siti Maemun, Aninda D Widiantari, Farida Murtiani, Herlina Herlina, Dian W Tanjungsari, Kunti Wijiarti, Tiara Z Pratiwi, Faisal Matondang, Adria Rusli, Rivaldiansyah Rivaldiansyah, Maria L Tampubolon, Nina Mariana, Vivi Setiawaty, Tri B Purnama
{"title":"预测COVID-19死亡率的生物标志物:印度尼西亚Sulianti Saroso传染病医院的一项研究","authors":"Siti Maemun, Aninda D Widiantari, Farida Murtiani, Herlina Herlina, Dian W Tanjungsari, Kunti Wijiarti, Tiara Z Pratiwi, Faisal Matondang, Adria Rusli, Rivaldiansyah Rivaldiansyah, Maria L Tampubolon, Nina Mariana, Vivi Setiawaty, Tri B Purnama","doi":"10.52225/narra.v5i2.1936","DOIUrl":null,"url":null,"abstract":"<p><p>The high transmissibility and mortality rates of the COVID-19 pandemic pose significant challenges. Patients can deteriorate rapidly, making it crucial to identify laboratory biomarkers for high-risk individuals. The aim of this study was to evaluate the predictive value of various laboratory parameters, including C-reactive protein (CRP), D-dimer, ferritin, neutrophil-to-lymphocyte ratio (NLR), prothrombin time (PT), and procalcitonin (PCT), in predicting COVID-19 mortality. A retrospective cohort study was conducted at Sulianti Saroso Infectious Disease Hospital, where COVID-19 patients were categorized into survivors and non-survivors. The Mann-Whitney test was used to assess group differences, while receiver operating characteristic (ROC) curve analysis was performed to evaluate the predictive performance of each biomarker, with Youden's index (J) determining optimal cut-off values. Kaplan-Meier analysis was used to compare median survival times, and Cox regression assessed hazard rates and the relationship between biomarkers and mortality. A total of 1,598 patients were analyzed, the majority of whom were admitted with oxygen saturation levels >95% and classified as having mild to moderate disease severity. Among them, 216 patients died, resulting in a mortality rate of 13.52%. Significant variations in mortality rates were observed along the survival functions for NLR, ferritin, D-dimer, CRP, and PCT (<i>p</i><0.001). The survival curves for these biomarkers demonstrated distinct trends across tertiles over time. Among hematological markers, NLR was significantly associated with mortality (<i>p</i><0.001), with a 1.5-2.2% increased risk per unit increase. Biochemical markers (complete blood count) proved to be more effective than hematological parameters (NLR, ferritin, PT, D-dimer, CRP, PCT) when evaluating individual prognostic performance. Bivariate analysis of CRP, D-dimer, ferritin, NLR, PT, and PCT between survivors and non-survivors showed significant differences. Notably, NLR and PCT were highly relevant for predicting disease prognosis and mortality, with sensitivity and specificity values exceeding 80%.</p>","PeriodicalId":517416,"journal":{"name":"Narra J","volume":"5 2","pages":"e1936"},"PeriodicalIF":0.0000,"publicationDate":"2025-08-01","publicationTypes":"Journal Article","fieldsOfStudy":null,"isOpenAccess":false,"openAccessPdf":"https://www.ncbi.nlm.nih.gov/pmc/articles/PMC12425506/pdf/","citationCount":"0","resultStr":"{\"title\":\"Biomarkers for predicting COVID-19 mortality: A study at Sulianti Saroso Infectious Disease Hospital, Indonesia.\",\"authors\":\"Siti Maemun, Aninda D Widiantari, Farida Murtiani, Herlina Herlina, Dian W Tanjungsari, Kunti Wijiarti, Tiara Z Pratiwi, Faisal Matondang, Adria Rusli, Rivaldiansyah Rivaldiansyah, Maria L Tampubolon, Nina Mariana, Vivi Setiawaty, Tri B Purnama\",\"doi\":\"10.52225/narra.v5i2.1936\",\"DOIUrl\":null,\"url\":null,\"abstract\":\"<p><p>The high transmissibility and mortality rates of the COVID-19 pandemic pose significant challenges. Patients can deteriorate rapidly, making it crucial to identify laboratory biomarkers for high-risk individuals. The aim of this study was to evaluate the predictive value of various laboratory parameters, including C-reactive protein (CRP), D-dimer, ferritin, neutrophil-to-lymphocyte ratio (NLR), prothrombin time (PT), and procalcitonin (PCT), in predicting COVID-19 mortality. A retrospective cohort study was conducted at Sulianti Saroso Infectious Disease Hospital, where COVID-19 patients were categorized into survivors and non-survivors. The Mann-Whitney test was used to assess group differences, while receiver operating characteristic (ROC) curve analysis was performed to evaluate the predictive performance of each biomarker, with Youden's index (J) determining optimal cut-off values. Kaplan-Meier analysis was used to compare median survival times, and Cox regression assessed hazard rates and the relationship between biomarkers and mortality. A total of 1,598 patients were analyzed, the majority of whom were admitted with oxygen saturation levels >95% and classified as having mild to moderate disease severity. Among them, 216 patients died, resulting in a mortality rate of 13.52%. Significant variations in mortality rates were observed along the survival functions for NLR, ferritin, D-dimer, CRP, and PCT (<i>p</i><0.001). The survival curves for these biomarkers demonstrated distinct trends across tertiles over time. Among hematological markers, NLR was significantly associated with mortality (<i>p</i><0.001), with a 1.5-2.2% increased risk per unit increase. Biochemical markers (complete blood count) proved to be more effective than hematological parameters (NLR, ferritin, PT, D-dimer, CRP, PCT) when evaluating individual prognostic performance. Bivariate analysis of CRP, D-dimer, ferritin, NLR, PT, and PCT between survivors and non-survivors showed significant differences. Notably, NLR and PCT were highly relevant for predicting disease prognosis and mortality, with sensitivity and specificity values exceeding 80%.</p>\",\"PeriodicalId\":517416,\"journal\":{\"name\":\"Narra J\",\"volume\":\"5 2\",\"pages\":\"e1936\"},\"PeriodicalIF\":0.0000,\"publicationDate\":\"2025-08-01\",\"publicationTypes\":\"Journal Article\",\"fieldsOfStudy\":null,\"isOpenAccess\":false,\"openAccessPdf\":\"https://www.ncbi.nlm.nih.gov/pmc/articles/PMC12425506/pdf/\",\"citationCount\":\"0\",\"resultStr\":null,\"platform\":\"Semanticscholar\",\"paperid\":null,\"PeriodicalName\":\"Narra J\",\"FirstCategoryId\":\"1085\",\"ListUrlMain\":\"https://doi.org/10.52225/narra.v5i2.1936\",\"RegionNum\":0,\"RegionCategory\":null,\"ArticlePicture\":[],\"TitleCN\":null,\"AbstractTextCN\":null,\"PMCID\":null,\"EPubDate\":\"2025/4/26 0:00:00\",\"PubModel\":\"Epub\",\"JCR\":\"\",\"JCRName\":\"\",\"Score\":null,\"Total\":0}","platform":"Semanticscholar","paperid":null,"PeriodicalName":"Narra J","FirstCategoryId":"1085","ListUrlMain":"https://doi.org/10.52225/narra.v5i2.1936","RegionNum":0,"RegionCategory":null,"ArticlePicture":[],"TitleCN":null,"AbstractTextCN":null,"PMCID":null,"EPubDate":"2025/4/26 0:00:00","PubModel":"Epub","JCR":"","JCRName":"","Score":null,"Total":0}
引用次数: 0

摘要

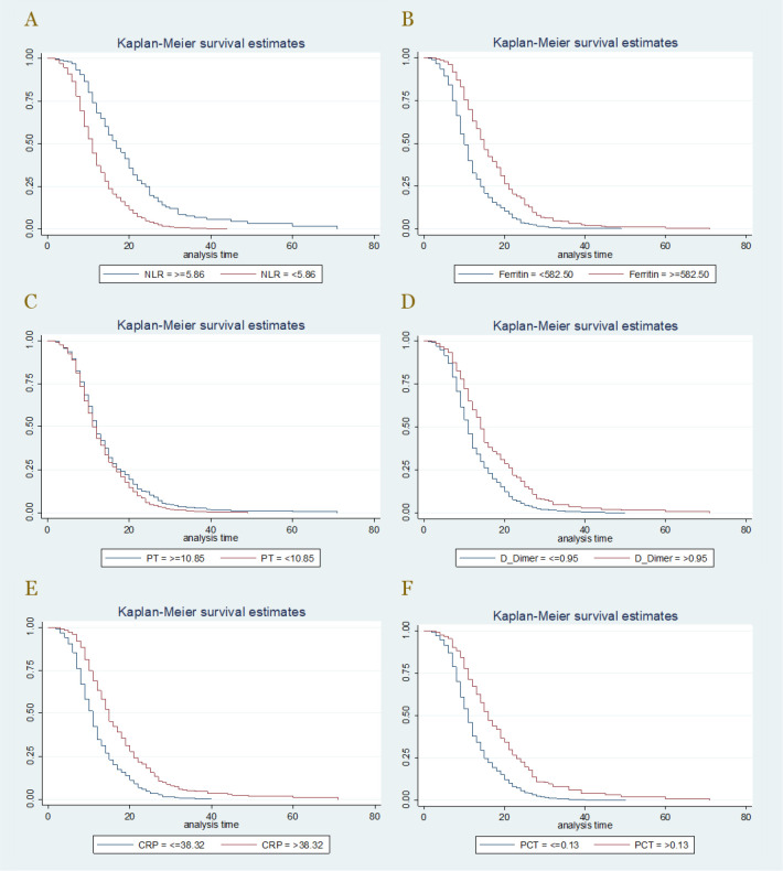
COVID-19大流行的高传播率和高死亡率构成了重大挑战。患者病情可能迅速恶化,因此确定高风险个体的实验室生物标志物至关重要。本研究的目的是评估各种实验室参数,包括c -反应蛋白(CRP)、d -二聚体、铁蛋白、中性粒细胞与淋巴细胞比率(NLR)、凝血酶原时间(PT)和降钙素原(PCT)对COVID-19死亡率的预测价值。在Sulianti Saroso传染病医院进行了一项回顾性队列研究,将COVID-19患者分为幸存者和非幸存者。采用Mann-Whitney检验评估组间差异,采用受试者工作特征(ROC)曲线分析评估各生物标志物的预测性能,以约登指数(Youden’s index, J)确定最佳临界值。Kaplan-Meier分析用于比较中位生存时间,Cox回归评估危险率以及生物标志物与死亡率之间的关系。共分析了1598例患者,其中大多数患者入院时血氧饱和度为0.95%,并被归类为轻度至中度疾病严重程度。其中死亡216例,死亡率13.52%。NLR、铁蛋白、d -二聚体、CRP和PCT的生存功能在死亡率方面存在显著差异
本文章由计算机程序翻译,如有差异,请以英文原文为准。

Biomarkers for predicting COVID-19 mortality: A study at Sulianti Saroso Infectious Disease Hospital, Indonesia.

Biomarkers for predicting COVID-19 mortality: A study at Sulianti Saroso Infectious Disease Hospital, Indonesia.

The high transmissibility and mortality rates of the COVID-19 pandemic pose significant challenges. Patients can deteriorate rapidly, making it crucial to identify laboratory biomarkers for high-risk individuals. The aim of this study was to evaluate the predictive value of various laboratory parameters, including C-reactive protein (CRP), D-dimer, ferritin, neutrophil-to-lymphocyte ratio (NLR), prothrombin time (PT), and procalcitonin (PCT), in predicting COVID-19 mortality. A retrospective cohort study was conducted at Sulianti Saroso Infectious Disease Hospital, where COVID-19 patients were categorized into survivors and non-survivors. The Mann-Whitney test was used to assess group differences, while receiver operating characteristic (ROC) curve analysis was performed to evaluate the predictive performance of each biomarker, with Youden's index (J) determining optimal cut-off values. Kaplan-Meier analysis was used to compare median survival times, and Cox regression assessed hazard rates and the relationship between biomarkers and mortality. A total of 1,598 patients were analyzed, the majority of whom were admitted with oxygen saturation levels >95% and classified as having mild to moderate disease severity. Among them, 216 patients died, resulting in a mortality rate of 13.52%. Significant variations in mortality rates were observed along the survival functions for NLR, ferritin, D-dimer, CRP, and PCT (p<0.001). The survival curves for these biomarkers demonstrated distinct trends across tertiles over time. Among hematological markers, NLR was significantly associated with mortality (p<0.001), with a 1.5-2.2% increased risk per unit increase. Biochemical markers (complete blood count) proved to be more effective than hematological parameters (NLR, ferritin, PT, D-dimer, CRP, PCT) when evaluating individual prognostic performance. Bivariate analysis of CRP, D-dimer, ferritin, NLR, PT, and PCT between survivors and non-survivors showed significant differences. Notably, NLR and PCT were highly relevant for predicting disease prognosis and mortality, with sensitivity and specificity values exceeding 80%.

求助全文
通过发布文献求助,成功后即可免费获取论文全文。 去求助
来源期刊
CiteScore
3.90
自引率
0.00%
发文量
0
×
引用
GB/T 7714-2015
复制
MLA
复制
APA
复制
导出至
BibTeX EndNote RefMan NoteFirst NoteExpress
×
提示
您的信息不完整,为了账户安全,请先补充。
现在去补充
×
提示
您因"违规操作"
具体请查看互助需知
我知道了
×
提示
确定
请完成安全验证×
copy
已复制链接
快去分享给好友吧!
我知道了
右上角分享
点击右上角分享
0
联系我们:info@booksci.cn Book学术提供免费学术资源搜索服务,方便国内外学者检索中英文文献。致力于提供最便捷和优质的服务体验。 Copyright © 2023 布克学术 All rights reserved.
京ICP备2023020795号-1
ghs 京公网安备 11010802042870号
Book学术文献互助
Book学术文献互助群
群 号:604180095
Book学术官方微信