焊接排放物的相关暴露决定因素和使用条件的量化。

Open research Europe Pub Date : 2025-06-13 eCollection Date: 2025-01-01 DOI:10.12688/openreseurope.19498.3
Antti Joonas Koivisto, Maxime Eliat, Michael Jayjock, Tareq Hussein, Alessia Nicosia
{"title":"焊接排放物的相关暴露决定因素和使用条件的量化。","authors":"Antti Joonas Koivisto, Maxime Eliat, Michael Jayjock, Tareq Hussein, Alessia Nicosia","doi":"10.12688/openreseurope.19498.3","DOIUrl":null,"url":null,"abstract":"<p><strong>Background: </strong>Conditions of Use (CoU) defines the operational conditions and risk management measures that result in adequately controlled exposure. It is mandatory to provide CoUs in Exposure Scenarios for the REACH legislation. CoU assessment based on similar exposure groups is a case-specific approach and not very efficient. We demonstrate how to quantify relevant exposure determinants and find optimal CoUs for welding using probabilistic exposure modelling.</p><p><strong>Methods: </strong>Single and two-compartment models were applied to calculate exposure levels under specified conditions for five welding processes with the highest emissions. Model performance was tested using independently reported emissions and two field measurement studies.</p><p><strong>Results: </strong>Welding fume concentrations were predicted within the range of 0.93 to 3.4 times the measured levels for three different welding scenarios, where two scenarios were repeated with four and five different ventilation rates. CoUs were quantified for welding with five different electrodes when welding is performed without local exhaust ventilation controls, with a fume extraction torch, and with local exhaust ventilation. The exposure level was adequately controlled for three electrodes when controls were applied. Exposure assessment refinement proposals were given based on the relevant exposure determinants. The maximum emission factor was calculated for total fume emissions. A proposal for emission labelling was established.</p><p><strong>Conclusions: </strong>CoU quantification was successfully demonstrated for total welding fume emissions. CoU results can be applied for welding processes where emissions are less than specified for the operational conditions specified here. Only total fume emissions were considered here, which may not be the limiting factor for risk; volatile and individual metal emissions were not considered. The approach applies to point sources for which emissions are adequately characterized. CoU assessment can be used to develop emission labelling and process specific safety actions. Compared to the traditional case-specific approach, modeling using this general approach will significantly improve cost-effectiveness.</p>","PeriodicalId":74359,"journal":{"name":"Open research Europe","volume":"5 ","pages":"38"},"PeriodicalIF":0.0000,"publicationDate":"2025-06-13","publicationTypes":"Journal Article","fieldsOfStudy":null,"isOpenAccess":false,"openAccessPdf":"https://www.ncbi.nlm.nih.gov/pmc/articles/PMC12432495/pdf/","citationCount":"0","resultStr":"{\"title\":\"Quantifying relevant exposure determinants and conditions of use for welding emissions.\",\"authors\":\"Antti Joonas Koivisto, Maxime Eliat, Michael Jayjock, Tareq Hussein, Alessia Nicosia\",\"doi\":\"10.12688/openreseurope.19498.3\",\"DOIUrl\":null,\"url\":null,\"abstract\":\"<p><strong>Background: </strong>Conditions of Use (CoU) defines the operational conditions and risk management measures that result in adequately controlled exposure. It is mandatory to provide CoUs in Exposure Scenarios for the REACH legislation. CoU assessment based on similar exposure groups is a case-specific approach and not very efficient. We demonstrate how to quantify relevant exposure determinants and find optimal CoUs for welding using probabilistic exposure modelling.</p><p><strong>Methods: </strong>Single and two-compartment models were applied to calculate exposure levels under specified conditions for five welding processes with the highest emissions. Model performance was tested using independently reported emissions and two field measurement studies.</p><p><strong>Results: </strong>Welding fume concentrations were predicted within the range of 0.93 to 3.4 times the measured levels for three different welding scenarios, where two scenarios were repeated with four and five different ventilation rates. CoUs were quantified for welding with five different electrodes when welding is performed without local exhaust ventilation controls, with a fume extraction torch, and with local exhaust ventilation. The exposure level was adequately controlled for three electrodes when controls were applied. Exposure assessment refinement proposals were given based on the relevant exposure determinants. The maximum emission factor was calculated for total fume emissions. A proposal for emission labelling was established.</p><p><strong>Conclusions: </strong>CoU quantification was successfully demonstrated for total welding fume emissions. CoU results can be applied for welding processes where emissions are less than specified for the operational conditions specified here. Only total fume emissions were considered here, which may not be the limiting factor for risk; volatile and individual metal emissions were not considered. The approach applies to point sources for which emissions are adequately characterized. CoU assessment can be used to develop emission labelling and process specific safety actions. Compared to the traditional case-specific approach, modeling using this general approach will significantly improve cost-effectiveness.</p>\",\"PeriodicalId\":74359,\"journal\":{\"name\":\"Open research Europe\",\"volume\":\"5 \",\"pages\":\"38\"},\"PeriodicalIF\":0.0000,\"publicationDate\":\"2025-06-13\",\"publicationTypes\":\"Journal Article\",\"fieldsOfStudy\":null,\"isOpenAccess\":false,\"openAccessPdf\":\"https://www.ncbi.nlm.nih.gov/pmc/articles/PMC12432495/pdf/\",\"citationCount\":\"0\",\"resultStr\":null,\"platform\":\"Semanticscholar\",\"paperid\":null,\"PeriodicalName\":\"Open research Europe\",\"FirstCategoryId\":\"1085\",\"ListUrlMain\":\"https://doi.org/10.12688/openreseurope.19498.3\",\"RegionNum\":0,\"RegionCategory\":null,\"ArticlePicture\":[],\"TitleCN\":null,\"AbstractTextCN\":null,\"PMCID\":null,\"EPubDate\":\"2025/1/1 0:00:00\",\"PubModel\":\"eCollection\",\"JCR\":\"\",\"JCRName\":\"\",\"Score\":null,\"Total\":0}","platform":"Semanticscholar","paperid":null,"PeriodicalName":"Open research Europe","FirstCategoryId":"1085","ListUrlMain":"https://doi.org/10.12688/openreseurope.19498.3","RegionNum":0,"RegionCategory":null,"ArticlePicture":[],"TitleCN":null,"AbstractTextCN":null,"PMCID":null,"EPubDate":"2025/1/1 0:00:00","PubModel":"eCollection","JCR":"","JCRName":"","Score":null,"Total":0}
引用次数: 0

摘要

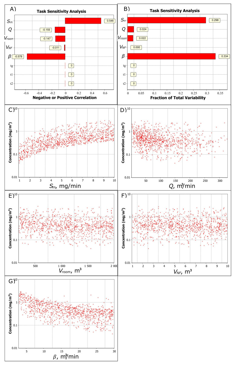
背景:使用条件(CoU)定义了导致充分控制暴露的操作条件和风险管理措施。在REACH法规的暴露情景中,必须提供原产地证书。基于类似接触群体的CoU评估是一种针对具体病例的方法,效率不高。我们演示了如何量化相关的暴露决定因素,并使用概率暴露模型找到焊接的最佳cou。方法:采用单室和双室模型计算了5种最高排放焊接工艺在特定条件下的暴露水平。使用独立报告的排放量和两次实地测量研究对模型性能进行了测试。结果:在三种不同的焊接场景中,焊接烟雾浓度预测在0.93至3.4倍的测量水平范围内,其中两种场景以四种和五种不同的通风率重复。在没有局部排气通风控制、抽烟火炬和局部排气通风的情况下进行焊接时,对五种不同电极的焊接cos进行了量化。当施加控制时,三个电极的暴露水平得到充分控制。根据相关暴露决定因素提出了暴露评估的改进建议。最大排放因子是计算总烟雾排放量。提出了一项关于排放标签的建议。结论:CoU定量成功地证明了总焊烟排放。CoU结果可以应用于焊接过程,其中排放低于此处规定的操作条件的规定。这里只考虑了总烟雾排放,这可能不是风险的限制因素;未考虑挥发性和单个金属的排放。该方法适用于对其排放有充分特征的点源。CoU评估可用于制定排放标签和工艺具体安全行动。与传统的特定案例方法相比,使用这种通用方法进行建模将显著提高成本效益。
本文章由计算机程序翻译,如有差异,请以英文原文为准。

Quantifying relevant exposure determinants and conditions of use for welding emissions.

Quantifying relevant exposure determinants and conditions of use for welding emissions.

Quantifying relevant exposure determinants and conditions of use for welding emissions.

Quantifying relevant exposure determinants and conditions of use for welding emissions.

Background: Conditions of Use (CoU) defines the operational conditions and risk management measures that result in adequately controlled exposure. It is mandatory to provide CoUs in Exposure Scenarios for the REACH legislation. CoU assessment based on similar exposure groups is a case-specific approach and not very efficient. We demonstrate how to quantify relevant exposure determinants and find optimal CoUs for welding using probabilistic exposure modelling.

Methods: Single and two-compartment models were applied to calculate exposure levels under specified conditions for five welding processes with the highest emissions. Model performance was tested using independently reported emissions and two field measurement studies.

Results: Welding fume concentrations were predicted within the range of 0.93 to 3.4 times the measured levels for three different welding scenarios, where two scenarios were repeated with four and five different ventilation rates. CoUs were quantified for welding with five different electrodes when welding is performed without local exhaust ventilation controls, with a fume extraction torch, and with local exhaust ventilation. The exposure level was adequately controlled for three electrodes when controls were applied. Exposure assessment refinement proposals were given based on the relevant exposure determinants. The maximum emission factor was calculated for total fume emissions. A proposal for emission labelling was established.

Conclusions: CoU quantification was successfully demonstrated for total welding fume emissions. CoU results can be applied for welding processes where emissions are less than specified for the operational conditions specified here. Only total fume emissions were considered here, which may not be the limiting factor for risk; volatile and individual metal emissions were not considered. The approach applies to point sources for which emissions are adequately characterized. CoU assessment can be used to develop emission labelling and process specific safety actions. Compared to the traditional case-specific approach, modeling using this general approach will significantly improve cost-effectiveness.

求助全文
通过发布文献求助,成功后即可免费获取论文全文。 去求助
来源期刊
CiteScore
1.50
自引率
0.00%
发文量
0
×
引用
GB/T 7714-2015
复制
MLA
复制
APA
复制
导出至
BibTeX EndNote RefMan NoteFirst NoteExpress
×
提示
您的信息不完整,为了账户安全,请先补充。
现在去补充
×
提示
您因"违规操作"
具体请查看互助需知
我知道了
×
提示
确定
请完成安全验证×
copy
已复制链接
快去分享给好友吧!
我知道了
右上角分享
点击右上角分享
0
联系我们:info@booksci.cn Book学术提供免费学术资源搜索服务,方便国内外学者检索中英文文献。致力于提供最便捷和优质的服务体验。 Copyright © 2023 布克学术 All rights reserved.
京ICP备2023020795号-1
ghs 京公网安备 11010802042870号
Book学术文献互助
Book学术文献互助群
群 号:604180095
Book学术官方微信