网络传递行为治疗成人抽动秽语综合征的平行组随机对照试验研究方案。

IF 3.2 Q1 HEALTH CARE SCIENCES & SERVICES
Frontiers in digital health Pub Date : 2025-08-29 eCollection Date: 2025-01-01 DOI:10.3389/fdgth.2025.1518666
Max Sannemalm, Nathalie Lybert, Lisa Gunnarsson, Per Andrén, Martin Kraepelien, Maria Bragesjö, Robin Fondberg, Volen Z Ivanov, David Mataix-Cols, Lorena Fernández de la Cruz, Erik Andersson, Christian Rück, Ekaterina Ivanova
{"title":"网络传递行为治疗成人抽动秽语综合征的平行组随机对照试验研究方案。","authors":"Max Sannemalm, Nathalie Lybert, Lisa Gunnarsson, Per Andrén, Martin Kraepelien, Maria Bragesjö, Robin Fondberg, Volen Z Ivanov, David Mataix-Cols, Lorena Fernández de la Cruz, Erik Andersson, Christian Rück, Ekaterina Ivanova","doi":"10.3389/fdgth.2025.1518666","DOIUrl":null,"url":null,"abstract":"<p><strong>Introduction: </strong>Tourette syndrome (TS) and chronic motor or vocal tic disorder (CTD) are neurodevelopmental disorders associated with functional impairment and reduced quality of life. Behavioral therapy (BT) is an effective treatment, but lack of experienced practitioners makes it hard for patients to receive appropriate help. One approach to bridge the gap between demand and availability is to offer the treatment remotely over the internet with minimal support from a therapist.</p><p><strong>Methods: </strong>This single-blind randomized controlled superiority trial including 110 participants will compare internet-delivered BT (I-BT) primarily consisting of exposure and response prevention (ERP) to a control condition consisting of internet-delivered general psychological support. The primary aim of the trial is to evaluate whether ERP-based I-BT is superior to the control condition in reducing TS/CTD symptoms. The primary outcome measure is the Yale Global Tic Severity Scale - Total Tic Severity score administered by blinded raters at primary endpoint 11 weeks after the treatment start. Secondary endpoints occur at week 23 and 14 months after the treatment start, and the secondary outcomes include tic-related impairment, rates of responders, self-rated tic severity, symptoms of depression, quality of life and cost-effectiveness. Data on dropout rates and adverse events is also collected.</p><p><strong>Discussion: </strong>This is the first randomized controlled trial to evaluate therapist-guided ERP-based I-BT for adults with TS/CTD. The study has been approved by the Swedish Ethical Review Authority (EPM 2023-06541-01). The hypotheses were pre-registered before the start of the data collection. Results from all analyses will be reported according to the Consolidated Standards of Reporting Trials statement for non-pharmacological trials (CONSORT) and Consolidated Health Economic Evaluation Reporting Standards (CHEERS). The participants in the control condition will have the opportunity to receive I-BT after the data from the first follow-up is collected. The study will be published in open access and the results will be shared with service user organizations. At the moment of submission, the study has recruited 87 out of 110 planned participants and the recruitment is expected to be completed in February 2025.</p><p><strong>Trial registration: </strong>Open Science Framework: https://osf.io/cq97b/ (uploaded 31/01/2024); Clinicaltrials.gov: NCT06271083 (submitted 14/02/2024).</p>","PeriodicalId":73078,"journal":{"name":"Frontiers in digital health","volume":"7 ","pages":"1518666"},"PeriodicalIF":3.2000,"publicationDate":"2025-08-29","publicationTypes":"Journal Article","fieldsOfStudy":null,"isOpenAccess":false,"openAccessPdf":"https://www.ncbi.nlm.nih.gov/pmc/articles/PMC12426249/pdf/","citationCount":"0","resultStr":"{\"title\":\"Study protocol for a parallel-group randomized controlled trial of internet-delivered behavior therapy for adults with Tourette syndrome.\",\"authors\":\"Max Sannemalm, Nathalie Lybert, Lisa Gunnarsson, Per Andrén, Martin Kraepelien, Maria Bragesjö, Robin Fondberg, Volen Z Ivanov, David Mataix-Cols, Lorena Fernández de la Cruz, Erik Andersson, Christian Rück, Ekaterina Ivanova\",\"doi\":\"10.3389/fdgth.2025.1518666\",\"DOIUrl\":null,\"url\":null,\"abstract\":\"<p><strong>Introduction: </strong>Tourette syndrome (TS) and chronic motor or vocal tic disorder (CTD) are neurodevelopmental disorders associated with functional impairment and reduced quality of life. Behavioral therapy (BT) is an effective treatment, but lack of experienced practitioners makes it hard for patients to receive appropriate help. One approach to bridge the gap between demand and availability is to offer the treatment remotely over the internet with minimal support from a therapist.</p><p><strong>Methods: </strong>This single-blind randomized controlled superiority trial including 110 participants will compare internet-delivered BT (I-BT) primarily consisting of exposure and response prevention (ERP) to a control condition consisting of internet-delivered general psychological support. The primary aim of the trial is to evaluate whether ERP-based I-BT is superior to the control condition in reducing TS/CTD symptoms. The primary outcome measure is the Yale Global Tic Severity Scale - Total Tic Severity score administered by blinded raters at primary endpoint 11 weeks after the treatment start. Secondary endpoints occur at week 23 and 14 months after the treatment start, and the secondary outcomes include tic-related impairment, rates of responders, self-rated tic severity, symptoms of depression, quality of life and cost-effectiveness. Data on dropout rates and adverse events is also collected.</p><p><strong>Discussion: </strong>This is the first randomized controlled trial to evaluate therapist-guided ERP-based I-BT for adults with TS/CTD. The study has been approved by the Swedish Ethical Review Authority (EPM 2023-06541-01). The hypotheses were pre-registered before the start of the data collection. Results from all analyses will be reported according to the Consolidated Standards of Reporting Trials statement for non-pharmacological trials (CONSORT) and Consolidated Health Economic Evaluation Reporting Standards (CHEERS). The participants in the control condition will have the opportunity to receive I-BT after the data from the first follow-up is collected. The study will be published in open access and the results will be shared with service user organizations. At the moment of submission, the study has recruited 87 out of 110 planned participants and the recruitment is expected to be completed in February 2025.</p><p><strong>Trial registration: </strong>Open Science Framework: https://osf.io/cq97b/ (uploaded 31/01/2024); Clinicaltrials.gov: NCT06271083 (submitted 14/02/2024).</p>\",\"PeriodicalId\":73078,\"journal\":{\"name\":\"Frontiers in digital health\",\"volume\":\"7 \",\"pages\":\"1518666\"},\"PeriodicalIF\":3.2000,\"publicationDate\":\"2025-08-29\",\"publicationTypes\":\"Journal Article\",\"fieldsOfStudy\":null,\"isOpenAccess\":false,\"openAccessPdf\":\"https://www.ncbi.nlm.nih.gov/pmc/articles/PMC12426249/pdf/\",\"citationCount\":\"0\",\"resultStr\":null,\"platform\":\"Semanticscholar\",\"paperid\":null,\"PeriodicalName\":\"Frontiers in digital health\",\"FirstCategoryId\":\"1085\",\"ListUrlMain\":\"https://doi.org/10.3389/fdgth.2025.1518666\",\"RegionNum\":0,\"RegionCategory\":null,\"ArticlePicture\":[],\"TitleCN\":null,\"AbstractTextCN\":null,\"PMCID\":null,\"EPubDate\":\"2025/1/1 0:00:00\",\"PubModel\":\"eCollection\",\"JCR\":\"Q1\",\"JCRName\":\"HEALTH CARE SCIENCES & SERVICES\",\"Score\":null,\"Total\":0}","platform":"Semanticscholar","paperid":null,"PeriodicalName":"Frontiers in digital health","FirstCategoryId":"1085","ListUrlMain":"https://doi.org/10.3389/fdgth.2025.1518666","RegionNum":0,"RegionCategory":null,"ArticlePicture":[],"TitleCN":null,"AbstractTextCN":null,"PMCID":null,"EPubDate":"2025/1/1 0:00:00","PubModel":"eCollection","JCR":"Q1","JCRName":"HEALTH CARE SCIENCES & SERVICES","Score":null,"Total":0}
引用次数: 0

摘要

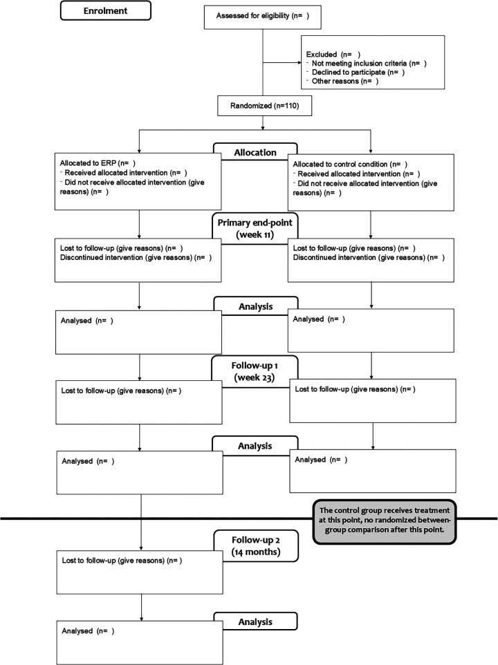
图雷特综合征(TS)和慢性运动或声带抽动障碍(CTD)是与功能损害和生活质量降低相关的神经发育障碍。行为疗法(BT)是一种有效的治疗方法,但缺乏经验丰富的从业者,使患者难以得到适当的帮助。弥合需求和可用性之间差距的一种方法是通过互联网远程提供治疗,治疗师的支持最少。方法:本研究采用单盲随机对照优势试验,包括110名参与者,将主要由暴露和反应预防(ERP)组成的网络传递的BT (I-BT)与由网络传递的一般心理支持组成的对照条件进行比较。该试验的主要目的是评估基于erp的I-BT在减轻TS/CTD症状方面是否优于对照组。主要结局指标是耶鲁全球抽动严重程度量表-总抽动严重程度评分,由盲法评分者在治疗开始后11周的主要终点进行评分。次要终点发生在治疗开始后的第23周和14个月,次要终点包括抽搐相关损害、反应率、自评抽搐严重程度、抑郁症状、生活质量和成本效益。还收集了关于辍学率和不良事件的数据。讨论:这是第一个评估治疗师指导的基于erp的I-BT治疗成人TS/CTD的随机对照试验。该研究已获得瑞典伦理审查局(EPM 2023-06541-01)的批准。在数据收集开始之前,假设已预先登记。所有分析的结果将根据非药物试验综合报告标准(CONSORT)和综合健康经济评价报告标准(CHEERS)进行报告。对照条件的参与者在收集第一次随访数据后将有机会收到I-BT。这项研究将以开放获取的方式发表,结果将与服务用户组织分享。在提交时,该研究已招募了110名计划参与者中的87名,预计招募工作将于2025年2月完成。试验注册:开放科学框架:https://osf.io/cq97b/(上传时间为31/01/2024);Clinicaltrials.gov: NCT06271083(提交日期:14/02/2024)。
本文章由计算机程序翻译,如有差异,请以英文原文为准。

Study protocol for a parallel-group randomized controlled trial of internet-delivered behavior therapy for adults with Tourette syndrome.

Study protocol for a parallel-group randomized controlled trial of internet-delivered behavior therapy for adults with Tourette syndrome.

Introduction: Tourette syndrome (TS) and chronic motor or vocal tic disorder (CTD) are neurodevelopmental disorders associated with functional impairment and reduced quality of life. Behavioral therapy (BT) is an effective treatment, but lack of experienced practitioners makes it hard for patients to receive appropriate help. One approach to bridge the gap between demand and availability is to offer the treatment remotely over the internet with minimal support from a therapist.

Methods: This single-blind randomized controlled superiority trial including 110 participants will compare internet-delivered BT (I-BT) primarily consisting of exposure and response prevention (ERP) to a control condition consisting of internet-delivered general psychological support. The primary aim of the trial is to evaluate whether ERP-based I-BT is superior to the control condition in reducing TS/CTD symptoms. The primary outcome measure is the Yale Global Tic Severity Scale - Total Tic Severity score administered by blinded raters at primary endpoint 11 weeks after the treatment start. Secondary endpoints occur at week 23 and 14 months after the treatment start, and the secondary outcomes include tic-related impairment, rates of responders, self-rated tic severity, symptoms of depression, quality of life and cost-effectiveness. Data on dropout rates and adverse events is also collected.

Discussion: This is the first randomized controlled trial to evaluate therapist-guided ERP-based I-BT for adults with TS/CTD. The study has been approved by the Swedish Ethical Review Authority (EPM 2023-06541-01). The hypotheses were pre-registered before the start of the data collection. Results from all analyses will be reported according to the Consolidated Standards of Reporting Trials statement for non-pharmacological trials (CONSORT) and Consolidated Health Economic Evaluation Reporting Standards (CHEERS). The participants in the control condition will have the opportunity to receive I-BT after the data from the first follow-up is collected. The study will be published in open access and the results will be shared with service user organizations. At the moment of submission, the study has recruited 87 out of 110 planned participants and the recruitment is expected to be completed in February 2025.

Trial registration: Open Science Framework: https://osf.io/cq97b/ (uploaded 31/01/2024); Clinicaltrials.gov: NCT06271083 (submitted 14/02/2024).

求助全文
通过发布文献求助,成功后即可免费获取论文全文。 去求助
来源期刊
CiteScore
4.20
自引率
0.00%
发文量
0
审稿时长
13 weeks
×
引用
GB/T 7714-2015
复制
MLA
复制
APA
复制
导出至
BibTeX EndNote RefMan NoteFirst NoteExpress
×
提示
您的信息不完整,为了账户安全,请先补充。
现在去补充
×
提示
您因"违规操作"
具体请查看互助需知
我知道了
×
提示
确定
请完成安全验证×
copy
已复制链接
快去分享给好友吧!
我知道了
右上角分享
点击右上角分享
0
联系我们:info@booksci.cn Book学术提供免费学术资源搜索服务,方便国内外学者检索中英文文献。致力于提供最便捷和优质的服务体验。 Copyright © 2023 布克学术 All rights reserved.
京ICP备2023020795号-1
ghs 京公网安备 11010802042870号
Book学术文献互助
Book学术文献互助群
群 号:604180095
Book学术官方微信