Orem自我护理模式结合早期康复训练对ICU机械通气患者的影响:回顾性队列研究。

IF 2 4区 医学 Q2 HEALTH CARE SCIENCES & SERVICES
Risk Management and Healthcare Policy Pub Date : 2025-09-09 eCollection Date: 2025-01-01 DOI:10.2147/RMHP.S510804
Lin Zhang, Mingcong Dong
{"title":"Orem自我护理模式结合早期康复训练对ICU机械通气患者的影响:回顾性队列研究。","authors":"Lin Zhang, Mingcong Dong","doi":"10.2147/RMHP.S510804","DOIUrl":null,"url":null,"abstract":"<p><strong>Objective: </strong>To evaluate the effectiveness of integrating Orem self-care mode with early rehabilitation training in mechanically ventilated ICU patients.</p><p><strong>Methods: </strong>This retrospective cohort study included 142 patients who underwent mechanical ventilation at the Department of Intensive Care Medicine from January to December 2023. Patients were divided into two groups based on documented nursing interventions: the control group (n=62) received standard care, while the experimental group (n=62) received Orem-based nursing combined with structured early rehabilitation training. Respiratory function, psychological status, and adverse event incidence were compared between groups.</p><p><strong>Results: </strong>The experimental group showed significantly improved respiratory parameters including respiratory rate, partial pressure of oxygen (PaO<sub>2</sub>), partial pressure of carbon dioxide (PaCO<sub>2</sub>), and PaO<sub>2</sub>/FiO<sub>2</sub> ratio (P < 0.05). Mechanical ventilation duration and ICU length of stay were significantly shorter in the experimental group (P < 0.001). Psychological assessments revealed significantly lower scores for delirium, anxiety (HAMA), and depression (HAMD) in the experimental group post-intervention (P < 0.001). Additionally, the incidence of adverse events such as pressure ulcers and delirium was markedly reduced (P < 0.001).</p><p><strong>Conclusion: </strong>Integrating Orem self-care model with early rehabilitation training demonstrates significant benefits in improving respiratory outcomes, mental health, and clinical safety for mechanically ventilated ICU patients, offering a promising approach for critical care nursing.</p>","PeriodicalId":56009,"journal":{"name":"Risk Management and Healthcare Policy","volume":"18 ","pages":"2967-2975"},"PeriodicalIF":2.0000,"publicationDate":"2025-09-09","publicationTypes":"Journal Article","fieldsOfStudy":null,"isOpenAccess":false,"openAccessPdf":"https://www.ncbi.nlm.nih.gov/pmc/articles/PMC12433231/pdf/","citationCount":"0","resultStr":"{\"title\":\"Effect of Orem Self-Care Model Combined with Early Rehabilitation Training on Mechanically Ventilated Patients in ICU: A Retrospective Cohort Study.\",\"authors\":\"Lin Zhang, Mingcong Dong\",\"doi\":\"10.2147/RMHP.S510804\",\"DOIUrl\":null,\"url\":null,\"abstract\":\"<p><strong>Objective: </strong>To evaluate the effectiveness of integrating Orem self-care mode with early rehabilitation training in mechanically ventilated ICU patients.</p><p><strong>Methods: </strong>This retrospective cohort study included 142 patients who underwent mechanical ventilation at the Department of Intensive Care Medicine from January to December 2023. Patients were divided into two groups based on documented nursing interventions: the control group (n=62) received standard care, while the experimental group (n=62) received Orem-based nursing combined with structured early rehabilitation training. Respiratory function, psychological status, and adverse event incidence were compared between groups.</p><p><strong>Results: </strong>The experimental group showed significantly improved respiratory parameters including respiratory rate, partial pressure of oxygen (PaO<sub>2</sub>), partial pressure of carbon dioxide (PaCO<sub>2</sub>), and PaO<sub>2</sub>/FiO<sub>2</sub> ratio (P < 0.05). Mechanical ventilation duration and ICU length of stay were significantly shorter in the experimental group (P < 0.001). Psychological assessments revealed significantly lower scores for delirium, anxiety (HAMA), and depression (HAMD) in the experimental group post-intervention (P < 0.001). Additionally, the incidence of adverse events such as pressure ulcers and delirium was markedly reduced (P < 0.001).</p><p><strong>Conclusion: </strong>Integrating Orem self-care model with early rehabilitation training demonstrates significant benefits in improving respiratory outcomes, mental health, and clinical safety for mechanically ventilated ICU patients, offering a promising approach for critical care nursing.</p>\",\"PeriodicalId\":56009,\"journal\":{\"name\":\"Risk Management and Healthcare Policy\",\"volume\":\"18 \",\"pages\":\"2967-2975\"},\"PeriodicalIF\":2.0000,\"publicationDate\":\"2025-09-09\",\"publicationTypes\":\"Journal Article\",\"fieldsOfStudy\":null,\"isOpenAccess\":false,\"openAccessPdf\":\"https://www.ncbi.nlm.nih.gov/pmc/articles/PMC12433231/pdf/\",\"citationCount\":\"0\",\"resultStr\":null,\"platform\":\"Semanticscholar\",\"paperid\":null,\"PeriodicalName\":\"Risk Management and Healthcare Policy\",\"FirstCategoryId\":\"3\",\"ListUrlMain\":\"https://doi.org/10.2147/RMHP.S510804\",\"RegionNum\":4,\"RegionCategory\":\"医学\",\"ArticlePicture\":[],\"TitleCN\":null,\"AbstractTextCN\":null,\"PMCID\":null,\"EPubDate\":\"2025/1/1 0:00:00\",\"PubModel\":\"eCollection\",\"JCR\":\"Q2\",\"JCRName\":\"HEALTH CARE SCIENCES & SERVICES\",\"Score\":null,\"Total\":0}","platform":"Semanticscholar","paperid":null,"PeriodicalName":"Risk Management and Healthcare Policy","FirstCategoryId":"3","ListUrlMain":"https://doi.org/10.2147/RMHP.S510804","RegionNum":4,"RegionCategory":"医学","ArticlePicture":[],"TitleCN":null,"AbstractTextCN":null,"PMCID":null,"EPubDate":"2025/1/1 0:00:00","PubModel":"eCollection","JCR":"Q2","JCRName":"HEALTH CARE SCIENCES & SERVICES","Score":null,"Total":0}
引用次数: 0

摘要

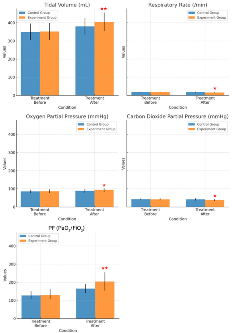
目的:评价Orem自我护理模式与早期康复训练相结合在机械通气ICU患者中的应用效果。方法:本回顾性队列研究纳入了2023年1月至12月在重症监护医学系接受机械通气治疗的142例患者。根据文献护理干预措施将患者分为两组:对照组(n=62)接受标准护理,实验组(n=62)接受基于orem的护理并结合结构化的早期康复训练。比较两组患者的呼吸功能、心理状态及不良事件发生率。结果:实验组患者呼吸频率、氧分压(PaO2)、二氧化碳分压(PaCO2)、PaO2/FiO2比值均显著改善(P < 0.05)。实验组机械通气时间和ICU住院时间均显著缩短(P < 0.001)。心理评估显示实验组干预后谵妄、焦虑(HAMA)和抑郁(HAMD)得分显著低于对照组(P < 0.001)。此外,压疮和谵妄等不良事件的发生率显著降低(P < 0.001)。结论:将Orem自我护理模式与早期康复训练相结合,可显著改善机械通气ICU患者的呼吸结局、心理健康和临床安全,为重症监护护理提供了一种有前景的方法。
本文章由计算机程序翻译,如有差异,请以英文原文为准。

Effect of Orem Self-Care Model Combined with Early Rehabilitation Training on Mechanically Ventilated Patients in ICU: A Retrospective Cohort Study.

Effect of Orem Self-Care Model Combined with Early Rehabilitation Training on Mechanically Ventilated Patients in ICU: A Retrospective Cohort Study.

Effect of Orem Self-Care Model Combined with Early Rehabilitation Training on Mechanically Ventilated Patients in ICU: A Retrospective Cohort Study.

Objective: To evaluate the effectiveness of integrating Orem self-care mode with early rehabilitation training in mechanically ventilated ICU patients.

Methods: This retrospective cohort study included 142 patients who underwent mechanical ventilation at the Department of Intensive Care Medicine from January to December 2023. Patients were divided into two groups based on documented nursing interventions: the control group (n=62) received standard care, while the experimental group (n=62) received Orem-based nursing combined with structured early rehabilitation training. Respiratory function, psychological status, and adverse event incidence were compared between groups.

Results: The experimental group showed significantly improved respiratory parameters including respiratory rate, partial pressure of oxygen (PaO2), partial pressure of carbon dioxide (PaCO2), and PaO2/FiO2 ratio (P < 0.05). Mechanical ventilation duration and ICU length of stay were significantly shorter in the experimental group (P < 0.001). Psychological assessments revealed significantly lower scores for delirium, anxiety (HAMA), and depression (HAMD) in the experimental group post-intervention (P < 0.001). Additionally, the incidence of adverse events such as pressure ulcers and delirium was markedly reduced (P < 0.001).

Conclusion: Integrating Orem self-care model with early rehabilitation training demonstrates significant benefits in improving respiratory outcomes, mental health, and clinical safety for mechanically ventilated ICU patients, offering a promising approach for critical care nursing.

求助全文
通过发布文献求助,成功后即可免费获取论文全文。 去求助
来源期刊
Risk Management and Healthcare Policy
Risk Management and Healthcare Policy Medicine-Public Health, Environmental and Occupational Health
CiteScore
6.20
自引率
2.90%
发文量
242
审稿时长
16 weeks
期刊介绍: Risk Management and Healthcare Policy is an international, peer-reviewed, open access journal focusing on all aspects of public health, policy and preventative measures to promote good health and improve morbidity and mortality in the population. Specific topics covered in the journal include: Public and community health Policy and law Preventative and predictive healthcare Risk and hazard management Epidemiology, detection and screening Lifestyle and diet modification Vaccination and disease transmission/modification programs Health and safety and occupational health Healthcare services provision Health literacy and education Advertising and promotion of health issues Health economic evaluations and resource management Risk Management and Healthcare Policy focuses on human interventional and observational research. The journal welcomes submitted papers covering original research, clinical and epidemiological studies, reviews and evaluations, guidelines, expert opinion and commentary, and extended reports. Case reports will only be considered if they make a valuable and original contribution to the literature. The journal does not accept study protocols, animal-based or cell line-based studies.
×
引用
GB/T 7714-2015
复制
MLA
复制
APA
复制
导出至
BibTeX EndNote RefMan NoteFirst NoteExpress
×
提示
您的信息不完整,为了账户安全,请先补充。
现在去补充
×
提示
您因"违规操作"
具体请查看互助需知
我知道了
×
提示
确定
请完成安全验证×
copy
已复制链接
快去分享给好友吧!
我知道了
右上角分享
点击右上角分享
0
联系我们:info@booksci.cn Book学术提供免费学术资源搜索服务,方便国内外学者检索中英文文献。致力于提供最便捷和优质的服务体验。 Copyright © 2023 布克学术 All rights reserved.
京ICP备2023020795号-1
ghs 京公网安备 11010802042870号
Book学术文献互助
Book学术文献互助群
群 号:604180095
Book学术官方微信
小红书