CRISPR-FMC:用于预测CRISPR-Cas9靶向活性的双分支混合网络

IF 4.4 Q1 BIOTECHNOLOGY & APPLIED MICROBIOLOGY
Frontiers in genome editing Pub Date : 2025-08-29 eCollection Date: 2025-01-01 DOI:10.3389/fgeed.2025.1643888
Chuxuan Li, Jian Li, Quan Zou, Hailin Feng
{"title":"CRISPR-FMC:用于预测CRISPR-Cas9靶向活性的双分支混合网络","authors":"Chuxuan Li, Jian Li, Quan Zou, Hailin Feng","doi":"10.3389/fgeed.2025.1643888","DOIUrl":null,"url":null,"abstract":"<p><strong>Introduction: </strong>Accurately predicting the on-target activity of sgRNAs remains a challenge in CRISPR-Cas9 applications, due to the limited generalization of existing models across datasets, small-sample settings, and complex sequence contexts. Current methods often rely on shallow architectures or unimodal encodings, limiting their ability to capture the intricate dependencies underlying Cas9-mediated cleavage.</p><p><strong>Methods: </strong>We present CRISPR-FMC, a dual-branch hybrid neural network that integrates One-hot encoding with contextual embeddings from a pre-trained RNA-FM model. Multi-scale convolution (MSC), BiGRU, and Transformer blocks are employed to extract hierarchical sequence features, while a bidirectional cross-attention mechanism with a residual feedforward network enhances multimodal fusion and generalization.</p><p><strong>Results: </strong>Across nine public CRISPR-Cas9 datasets, CRISPR-FMC consistently outperforms existing baselines in both Spearman and Pearson correlation metrics, showing particularly strong performance under low-resource and cross-dataset conditions. Ablation experiments confirm the contribution of each module, and base substitution analysis reveals a pronounced sensitivity to the PAM-proximal region.</p><p><strong>Discussion: </strong>The PAM-proximal sensitivity aligns with established biological evidence, indicating the model's capacity to capture biologically relevant sequence determinants. These results demonstrate that CRISPR-FMC offers a robust and interpretable framework for sgRNA activity prediction across heterogeneous genomic contexts.</p>","PeriodicalId":73086,"journal":{"name":"Frontiers in genome editing","volume":"7 ","pages":"1643888"},"PeriodicalIF":4.4000,"publicationDate":"2025-08-29","publicationTypes":"Journal Article","fieldsOfStudy":null,"isOpenAccess":false,"openAccessPdf":"https://www.ncbi.nlm.nih.gov/pmc/articles/PMC12426269/pdf/","citationCount":"0","resultStr":"{\"title\":\"CRISPR-FMC: a dual-branch hybrid network for predicting CRISPR-Cas9 on-target activity.\",\"authors\":\"Chuxuan Li, Jian Li, Quan Zou, Hailin Feng\",\"doi\":\"10.3389/fgeed.2025.1643888\",\"DOIUrl\":null,\"url\":null,\"abstract\":\"<p><strong>Introduction: </strong>Accurately predicting the on-target activity of sgRNAs remains a challenge in CRISPR-Cas9 applications, due to the limited generalization of existing models across datasets, small-sample settings, and complex sequence contexts. Current methods often rely on shallow architectures or unimodal encodings, limiting their ability to capture the intricate dependencies underlying Cas9-mediated cleavage.</p><p><strong>Methods: </strong>We present CRISPR-FMC, a dual-branch hybrid neural network that integrates One-hot encoding with contextual embeddings from a pre-trained RNA-FM model. Multi-scale convolution (MSC), BiGRU, and Transformer blocks are employed to extract hierarchical sequence features, while a bidirectional cross-attention mechanism with a residual feedforward network enhances multimodal fusion and generalization.</p><p><strong>Results: </strong>Across nine public CRISPR-Cas9 datasets, CRISPR-FMC consistently outperforms existing baselines in both Spearman and Pearson correlation metrics, showing particularly strong performance under low-resource and cross-dataset conditions. Ablation experiments confirm the contribution of each module, and base substitution analysis reveals a pronounced sensitivity to the PAM-proximal region.</p><p><strong>Discussion: </strong>The PAM-proximal sensitivity aligns with established biological evidence, indicating the model's capacity to capture biologically relevant sequence determinants. These results demonstrate that CRISPR-FMC offers a robust and interpretable framework for sgRNA activity prediction across heterogeneous genomic contexts.</p>\",\"PeriodicalId\":73086,\"journal\":{\"name\":\"Frontiers in genome editing\",\"volume\":\"7 \",\"pages\":\"1643888\"},\"PeriodicalIF\":4.4000,\"publicationDate\":\"2025-08-29\",\"publicationTypes\":\"Journal Article\",\"fieldsOfStudy\":null,\"isOpenAccess\":false,\"openAccessPdf\":\"https://www.ncbi.nlm.nih.gov/pmc/articles/PMC12426269/pdf/\",\"citationCount\":\"0\",\"resultStr\":null,\"platform\":\"Semanticscholar\",\"paperid\":null,\"PeriodicalName\":\"Frontiers in genome editing\",\"FirstCategoryId\":\"1085\",\"ListUrlMain\":\"https://doi.org/10.3389/fgeed.2025.1643888\",\"RegionNum\":0,\"RegionCategory\":null,\"ArticlePicture\":[],\"TitleCN\":null,\"AbstractTextCN\":null,\"PMCID\":null,\"EPubDate\":\"2025/1/1 0:00:00\",\"PubModel\":\"eCollection\",\"JCR\":\"Q1\",\"JCRName\":\"BIOTECHNOLOGY & APPLIED MICROBIOLOGY\",\"Score\":null,\"Total\":0}","platform":"Semanticscholar","paperid":null,"PeriodicalName":"Frontiers in genome editing","FirstCategoryId":"1085","ListUrlMain":"https://doi.org/10.3389/fgeed.2025.1643888","RegionNum":0,"RegionCategory":null,"ArticlePicture":[],"TitleCN":null,"AbstractTextCN":null,"PMCID":null,"EPubDate":"2025/1/1 0:00:00","PubModel":"eCollection","JCR":"Q1","JCRName":"BIOTECHNOLOGY & APPLIED MICROBIOLOGY","Score":null,"Total":0}
引用次数: 0

摘要

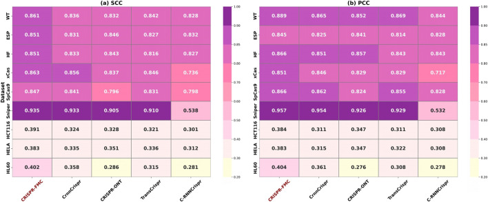
由于现有模型在数据集、小样本设置和复杂序列背景下的泛化有限,准确预测sgrna的靶上活性仍然是CRISPR-Cas9应用中的一个挑战。目前的方法通常依赖于浅结构或单峰编码,限制了它们捕捉cas9介导的切割背后复杂依赖关系的能力。方法:我们提出了CRISPR-FMC,这是一种双分支混合神经网络,集成了来自预训练RNA-FM模型的One-hot编码和上下文嵌入。采用多尺度卷积(MSC)、BiGRU和Transformer块提取层次序列特征,双向交叉注意机制和残差前馈网络增强多模态融合和泛化。结果:在9个公开的CRISPR-Cas9数据集中,CRISPR-FMC在Spearman和Pearson相关指标上始终优于现有基线,在低资源和跨数据集条件下表现出特别强的性能。消融实验证实了每个模块的贡献,碱基取代分析显示对pam -近端区域具有明显的敏感性。讨论:pam -近端敏感性与已建立的生物学证据一致,表明该模型具有捕获生物学相关序列决定因素的能力。这些结果表明,CRISPR-FMC为跨异质基因组背景下的sgRNA活性预测提供了一个强大且可解释的框架。
本文章由计算机程序翻译,如有差异,请以英文原文为准。

CRISPR-FMC: a dual-branch hybrid network for predicting CRISPR-Cas9 on-target activity.

CRISPR-FMC: a dual-branch hybrid network for predicting CRISPR-Cas9 on-target activity.

CRISPR-FMC: a dual-branch hybrid network for predicting CRISPR-Cas9 on-target activity.

CRISPR-FMC: a dual-branch hybrid network for predicting CRISPR-Cas9 on-target activity.

Introduction: Accurately predicting the on-target activity of sgRNAs remains a challenge in CRISPR-Cas9 applications, due to the limited generalization of existing models across datasets, small-sample settings, and complex sequence contexts. Current methods often rely on shallow architectures or unimodal encodings, limiting their ability to capture the intricate dependencies underlying Cas9-mediated cleavage.

Methods: We present CRISPR-FMC, a dual-branch hybrid neural network that integrates One-hot encoding with contextual embeddings from a pre-trained RNA-FM model. Multi-scale convolution (MSC), BiGRU, and Transformer blocks are employed to extract hierarchical sequence features, while a bidirectional cross-attention mechanism with a residual feedforward network enhances multimodal fusion and generalization.

Results: Across nine public CRISPR-Cas9 datasets, CRISPR-FMC consistently outperforms existing baselines in both Spearman and Pearson correlation metrics, showing particularly strong performance under low-resource and cross-dataset conditions. Ablation experiments confirm the contribution of each module, and base substitution analysis reveals a pronounced sensitivity to the PAM-proximal region.

Discussion: The PAM-proximal sensitivity aligns with established biological evidence, indicating the model's capacity to capture biologically relevant sequence determinants. These results demonstrate that CRISPR-FMC offers a robust and interpretable framework for sgRNA activity prediction across heterogeneous genomic contexts.

求助全文
通过发布文献求助,成功后即可免费获取论文全文。 去求助
来源期刊
CiteScore
7.00
自引率
0.00%
发文量
0
审稿时长
13 weeks
×
引用
GB/T 7714-2015
复制
MLA
复制
APA
复制
导出至
BibTeX EndNote RefMan NoteFirst NoteExpress
×
提示
您的信息不完整,为了账户安全,请先补充。
现在去补充
×
提示
您因"违规操作"
具体请查看互助需知
我知道了
×
提示
确定
请完成安全验证×
copy
已复制链接
快去分享给好友吧!
我知道了
右上角分享
点击右上角分享
0
联系我们:info@booksci.cn Book学术提供免费学术资源搜索服务,方便国内外学者检索中英文文献。致力于提供最便捷和优质的服务体验。 Copyright © 2023 布克学术 All rights reserved.
京ICP备2023020795号-1
ghs 京公网安备 11010802042870号
Book学术文献互助
Book学术文献互助群
群 号:604180095
Book学术官方微信