经颈静脉肝内门静脉系统分流术后肝脾硬度的变化及其与预后的关系。

IF 1.7 4区 医学 Q3 GASTROENTEROLOGY & HEPATOLOGY
Xiao-Fang Liu, Xiao-Chun Huang, Qian-Jun Ye, Li-Jing Yuan, Gui-Fang Gao, Jin-Yu Li, Dui-Ping Feng
{"title":"经颈静脉肝内门静脉系统分流术后肝脾硬度的变化及其与预后的关系。","authors":"Xiao-Fang Liu, Xiao-Chun Huang, Qian-Jun Ye, Li-Jing Yuan, Gui-Fang Gao, Jin-Yu Li, Dui-Ping Feng","doi":"10.4240/wjgs.v17.i8.109884","DOIUrl":null,"url":null,"abstract":"<p><strong>Background: </strong>The impact of transjugular intrahepatic portosystemic shunt (TIPS) on liver and spleen stiffness remains unclear, as does the association between preoperative liver and spleen stiffness and prognosis following TIPS.</p><p><strong>Aim: </strong>To investigate changes in liver and spleen stiffness after TIPS and examines the relationship between these parameters and the prognosis of post-TIPS patients.</p><p><strong>Methods: </strong>A total of 76 patients with liver cirrhosis and portal hypertension who underwent TIPS were included. Liver and spleen stiffness was assessed using the sound touch quantify (STQ) value, determined <i>via</i> point shear wave elastography in ultrasound imaging. Cox regression analysis was employed to evaluate the relationship between liver and spleen stiffness and cumulative survival in TIPS patients.</p><p><strong>Results: </strong>The liver STQ value demonstrated a marginally decreasing trend over time (<i>P</i> = 0.052), while the spleen STQ value showed a significantly decreasing trend (<i>P</i> = 0.025). Spleen STQ was positively correlated with portal pressure gradient (PPG) levels (r<sub>s</sub> = 0.327, <i>P</i> = 0.025). Cox regression analysis indicated that older age [hazard ratio (HR) = 1.063, 95%CI: 0.997-1.133, <i>P</i> = 0.060] and a higher liver STQ value (HR = 1.051, 95%CI: 1.009-1.095, <i>P</i> = 0.018) were associated with an increased mortality risk after TIPS. No significant correlation was found between liver or spleen stiffness and overt hepatic encephalopathy post-TIPS. The liver STQ value [area under the receiver operating characteristic curve (AUC) = 0.724 (95%CI: 0.563-0.884)] showed superior predictive performance compared to the Child-Pugh score [AUC = 0.699 (95%CI: 0.529-0.870)] and was comparable to the model for end-stage liver disease score [AUC = 0.746 (95%CI: 0.591-0.902)].</p><p><strong>Conclusion: </strong>Following TIPS, spleen stiffness exhibited a more pronounced change than liver stiffness and was positively associated with PPG. Preoperative liver stiffness serves as a prognostic indicator for survival in patients undergoing TIPS.</p>","PeriodicalId":23759,"journal":{"name":"World Journal of Gastrointestinal Surgery","volume":"17 8","pages":"109884"},"PeriodicalIF":1.7000,"publicationDate":"2025-08-27","publicationTypes":"Journal Article","fieldsOfStudy":null,"isOpenAccess":false,"openAccessPdf":"https://www.ncbi.nlm.nih.gov/pmc/articles/PMC12427020/pdf/","citationCount":"0","resultStr":"{\"title\":\"Changes in liver and spleen stiffness after transjugular intrahepatic portosystemic shunt and their relationship with prognosis.\",\"authors\":\"Xiao-Fang Liu, Xiao-Chun Huang, Qian-Jun Ye, Li-Jing Yuan, Gui-Fang Gao, Jin-Yu Li, Dui-Ping Feng\",\"doi\":\"10.4240/wjgs.v17.i8.109884\",\"DOIUrl\":null,\"url\":null,\"abstract\":\"<p><strong>Background: </strong>The impact of transjugular intrahepatic portosystemic shunt (TIPS) on liver and spleen stiffness remains unclear, as does the association between preoperative liver and spleen stiffness and prognosis following TIPS.</p><p><strong>Aim: </strong>To investigate changes in liver and spleen stiffness after TIPS and examines the relationship between these parameters and the prognosis of post-TIPS patients.</p><p><strong>Methods: </strong>A total of 76 patients with liver cirrhosis and portal hypertension who underwent TIPS were included. Liver and spleen stiffness was assessed using the sound touch quantify (STQ) value, determined <i>via</i> point shear wave elastography in ultrasound imaging. Cox regression analysis was employed to evaluate the relationship between liver and spleen stiffness and cumulative survival in TIPS patients.</p><p><strong>Results: </strong>The liver STQ value demonstrated a marginally decreasing trend over time (<i>P</i> = 0.052), while the spleen STQ value showed a significantly decreasing trend (<i>P</i> = 0.025). Spleen STQ was positively correlated with portal pressure gradient (PPG) levels (r<sub>s</sub> = 0.327, <i>P</i> = 0.025). Cox regression analysis indicated that older age [hazard ratio (HR) = 1.063, 95%CI: 0.997-1.133, <i>P</i> = 0.060] and a higher liver STQ value (HR = 1.051, 95%CI: 1.009-1.095, <i>P</i> = 0.018) were associated with an increased mortality risk after TIPS. No significant correlation was found between liver or spleen stiffness and overt hepatic encephalopathy post-TIPS. The liver STQ value [area under the receiver operating characteristic curve (AUC) = 0.724 (95%CI: 0.563-0.884)] showed superior predictive performance compared to the Child-Pugh score [AUC = 0.699 (95%CI: 0.529-0.870)] and was comparable to the model for end-stage liver disease score [AUC = 0.746 (95%CI: 0.591-0.902)].</p><p><strong>Conclusion: </strong>Following TIPS, spleen stiffness exhibited a more pronounced change than liver stiffness and was positively associated with PPG. Preoperative liver stiffness serves as a prognostic indicator for survival in patients undergoing TIPS.</p>\",\"PeriodicalId\":23759,\"journal\":{\"name\":\"World Journal of Gastrointestinal Surgery\",\"volume\":\"17 8\",\"pages\":\"109884\"},\"PeriodicalIF\":1.7000,\"publicationDate\":\"2025-08-27\",\"publicationTypes\":\"Journal Article\",\"fieldsOfStudy\":null,\"isOpenAccess\":false,\"openAccessPdf\":\"https://www.ncbi.nlm.nih.gov/pmc/articles/PMC12427020/pdf/\",\"citationCount\":\"0\",\"resultStr\":null,\"platform\":\"Semanticscholar\",\"paperid\":null,\"PeriodicalName\":\"World Journal of Gastrointestinal Surgery\",\"FirstCategoryId\":\"3\",\"ListUrlMain\":\"https://doi.org/10.4240/wjgs.v17.i8.109884\",\"RegionNum\":4,\"RegionCategory\":\"医学\",\"ArticlePicture\":[],\"TitleCN\":null,\"AbstractTextCN\":null,\"PMCID\":null,\"EPubDate\":\"\",\"PubModel\":\"\",\"JCR\":\"Q3\",\"JCRName\":\"GASTROENTEROLOGY & HEPATOLOGY\",\"Score\":null,\"Total\":0}","platform":"Semanticscholar","paperid":null,"PeriodicalName":"World Journal of Gastrointestinal Surgery","FirstCategoryId":"3","ListUrlMain":"https://doi.org/10.4240/wjgs.v17.i8.109884","RegionNum":4,"RegionCategory":"医学","ArticlePicture":[],"TitleCN":null,"AbstractTextCN":null,"PMCID":null,"EPubDate":"","PubModel":"","JCR":"Q3","JCRName":"GASTROENTEROLOGY & HEPATOLOGY","Score":null,"Total":0}
引用次数: 0

摘要

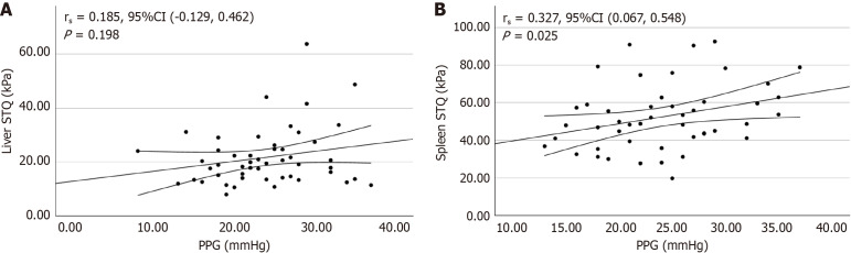
背景:经颈静脉肝内门体分流术(TIPS)对肝脏和脾脏硬度的影响尚不清楚,术前肝脏和脾脏硬度与TIPS术后预后之间的关系也不清楚。目的:探讨TIPS术后肝脾硬度的变化及其与预后的关系。方法:选取76例行TIPS治疗的肝硬化门静脉高压症患者。通过超声成像中的点剪切波弹性成像,使用声触定量(STQ)值评估肝脏和脾脏的刚度。采用Cox回归分析评估TIPS患者肝脾僵硬度与累积生存期的关系。结果:随着时间的推移,肝脏STQ值呈轻微下降趋势(P = 0.052),脾脏STQ值呈显著下降趋势(P = 0.025)。脾STQ与门静脉压力梯度(PPG)水平呈正相关(rs = 0.327, P = 0.025)。Cox回归分析显示,年龄越大[危险比(HR) = 1.063, 95%CI: 0.997-1.133, P = 0.060]和肝脏STQ值越高(HR = 1.051, 95%CI: 1.009-1.095, P = 0.018)与TIPS术后死亡风险增加相关。tips术后肝或脾僵硬与明显肝性脑病之间无显著相关性。与Child-Pugh评分[AUC = 0.699 (95%CI: 0.529-0.870)]相比,肝脏STQ值[受试者工作特征曲线下面积(AUC) = 0.724 (95%CI: 0.563-0.884)]具有更好的预测效果,与终末期肝病评分模型[AUC = 0.746 (95%CI: 0.591-0.902)]相当。结论:TIPS治疗后,脾脏硬度比肝脏硬度变化更明显,且与PPG呈正相关。术前肝硬度可作为TIPS患者生存的预后指标。
本文章由计算机程序翻译,如有差异,请以英文原文为准。

Changes in liver and spleen stiffness after transjugular intrahepatic portosystemic shunt and their relationship with prognosis.

Changes in liver and spleen stiffness after transjugular intrahepatic portosystemic shunt and their relationship with prognosis.

Changes in liver and spleen stiffness after transjugular intrahepatic portosystemic shunt and their relationship with prognosis.

Changes in liver and spleen stiffness after transjugular intrahepatic portosystemic shunt and their relationship with prognosis.

Background: The impact of transjugular intrahepatic portosystemic shunt (TIPS) on liver and spleen stiffness remains unclear, as does the association between preoperative liver and spleen stiffness and prognosis following TIPS.

Aim: To investigate changes in liver and spleen stiffness after TIPS and examines the relationship between these parameters and the prognosis of post-TIPS patients.

Methods: A total of 76 patients with liver cirrhosis and portal hypertension who underwent TIPS were included. Liver and spleen stiffness was assessed using the sound touch quantify (STQ) value, determined via point shear wave elastography in ultrasound imaging. Cox regression analysis was employed to evaluate the relationship between liver and spleen stiffness and cumulative survival in TIPS patients.

Results: The liver STQ value demonstrated a marginally decreasing trend over time (P = 0.052), while the spleen STQ value showed a significantly decreasing trend (P = 0.025). Spleen STQ was positively correlated with portal pressure gradient (PPG) levels (rs = 0.327, P = 0.025). Cox regression analysis indicated that older age [hazard ratio (HR) = 1.063, 95%CI: 0.997-1.133, P = 0.060] and a higher liver STQ value (HR = 1.051, 95%CI: 1.009-1.095, P = 0.018) were associated with an increased mortality risk after TIPS. No significant correlation was found between liver or spleen stiffness and overt hepatic encephalopathy post-TIPS. The liver STQ value [area under the receiver operating characteristic curve (AUC) = 0.724 (95%CI: 0.563-0.884)] showed superior predictive performance compared to the Child-Pugh score [AUC = 0.699 (95%CI: 0.529-0.870)] and was comparable to the model for end-stage liver disease score [AUC = 0.746 (95%CI: 0.591-0.902)].

Conclusion: Following TIPS, spleen stiffness exhibited a more pronounced change than liver stiffness and was positively associated with PPG. Preoperative liver stiffness serves as a prognostic indicator for survival in patients undergoing TIPS.

求助全文
通过发布文献求助,成功后即可免费获取论文全文。 去求助
来源期刊
自引率
5.00%
发文量
111
×
引用
GB/T 7714-2015
复制
MLA
复制
APA
复制
导出至
BibTeX EndNote RefMan NoteFirst NoteExpress
×
提示
您的信息不完整,为了账户安全,请先补充。
现在去补充
×
提示
您因"违规操作"
具体请查看互助需知
我知道了
×
提示
确定
请完成安全验证×
copy
已复制链接
快去分享给好友吧!
我知道了
右上角分享
点击右上角分享
0
联系我们:info@booksci.cn Book学术提供免费学术资源搜索服务,方便国内外学者检索中英文文献。致力于提供最便捷和优质的服务体验。 Copyright © 2023 布克学术 All rights reserved.
京ICP备2023020795号-1
ghs 京公网安备 11010802042870号
Book学术文献互助
Book学术文献互助群
群 号:604180095
Book学术官方微信