外科阻塞性黄疸患者肌肉减少症的患病率及其对临床结果的影响。

IF 1.7 4区 医学 Q3 GASTROENTEROLOGY & HEPATOLOGY
Run-Nan Zhang, Jian-Yong Cui, Zhong-Hua Zhao, Ya-Tong Li, Zhi-Wei Liu, Ji-Yue Zhang, Qiang Wei, Yan-Min Lu, Qiang-Pu Chen
{"title":"外科阻塞性黄疸患者肌肉减少症的患病率及其对临床结果的影响。","authors":"Run-Nan Zhang, Jian-Yong Cui, Zhong-Hua Zhao, Ya-Tong Li, Zhi-Wei Liu, Ji-Yue Zhang, Qiang Wei, Yan-Min Lu, Qiang-Pu Chen","doi":"10.4240/wjgs.v17.i8.107209","DOIUrl":null,"url":null,"abstract":"<p><strong>Background: </strong>Sarcopenia is a clinical syndrome presented with progressive and generalized skeletal muscle loss and function dysfunction. Usually, it is considered an age-related process influenced by genetic, lifestyle factors, and diseases. Obstructive jaundice is one of the most common pathophysiological changes in patients needing hepatobiliary or pancreatic operations that can adversely affect the tissue and organ function throughout the human body. However, the effects of obstructive jaundice on the occurrence of sarcopenia remain unclear.</p><p><strong>Aim: </strong>To investigate the incidence of sarcopenia in patients with surgical obstructive jaundice and the association of sarcopenia with postoperative outcome.</p><p><strong>Methods: </strong>This cross-sectional study was conducted from December 2019 to January 2024. Data retrieved included patient demographics, disease entities, sarcopenia-related parameters (including grip strength, 6-m walking time, and limb skeletal muscle mass index), postoperative complications, and length of hospital stay. Sarcopenia was confirmed using Asian Working Group standards. Logistic regression was used to analyze the relationship between total bilirubin level and sarcopenia. The factors influencing sarcopenia in patients with surgical obstructive jaundice and association of sarcopenia with postoperative complications were also investigated.</p><p><strong>Results: </strong>Overall, 1708 patients met the inclusion criteria, with a mean age of 60.09 ± 13.52 years (sex: 52.28% male). There were 383 patients (22.42%) with obstructive jaundice and 1325 (77.58%) without jaundice. Sarcopenia, low walking speed, low grip strength, and low limb skeletal muscle index were more prevalent in patients with obstructive jaundice than nonobstructive jaundice. The odds ratio (OR) for sarcopenia in patients with obstructive jaundice was 1.689 [95% confidence interval (CI): 1.295-2.203, <i>P</i> < 0.001], indicating that jaundice is a significant risk factor for sarcopenia. The occurrence of sarcopenia was higher in patients with severe obstructive jaundice than mild obstructive jaundice (39.3% <i>vs</i> 22.8%, <i>P</i> < 0.05). Obstructive jaundice was positively correlated with reduced walking speed (OR = 1.627, 95%CI: 1.185-2.234, <i>P</i> = 0.003) and decreased grip strength (OR = 1.669, 95%CI: 1.212-2.300, <i>P</i> = 0.002). Age (OR = 1.077, 95%CI: 1.040-1.114, <i>P</i> < 0.001) and body mass index (OR = 0.703, 95%CI: 0.630-0.784, <i>P</i> < 0.001) were independent risk factors of sarcopenia in patients with obstructive jaundice. Patients with obstructive jaundice and sarcopenia had a higher rate of postoperative complications (46.3% <i>vs</i> 33.1%, <i>P</i> = 0.032), longer postoperative hospital stays (11.33 ± 6.75 days <i>vs</i> 9.19 ± 7.32 days, <i>P</i> = 0.016), and longer total hospital stays (17.10 ± 7.69 days <i>vs</i> 15.98 ± 8.55 days, <i>P</i> = 0.032) than those without sarcopenia.</p><p><strong>Conclusion: </strong>Sarcopenia is more prevalent in patients with obstructive jaundice and is positively correlated with the degree of jaundice. Sarcopenia prolongs hospital stays and is associate with postoperative complications.</p>","PeriodicalId":23759,"journal":{"name":"World Journal of Gastrointestinal Surgery","volume":"17 8","pages":"107209"},"PeriodicalIF":1.7000,"publicationDate":"2025-08-27","publicationTypes":"Journal Article","fieldsOfStudy":null,"isOpenAccess":false,"openAccessPdf":"https://www.ncbi.nlm.nih.gov/pmc/articles/PMC12427056/pdf/","citationCount":"0","resultStr":"{\"title\":\"Prevalence of sarcopenia in patients with surgical obstructive jaundice and its impact on clinical outcomes.\",\"authors\":\"Run-Nan Zhang, Jian-Yong Cui, Zhong-Hua Zhao, Ya-Tong Li, Zhi-Wei Liu, Ji-Yue Zhang, Qiang Wei, Yan-Min Lu, Qiang-Pu Chen\",\"doi\":\"10.4240/wjgs.v17.i8.107209\",\"DOIUrl\":null,\"url\":null,\"abstract\":\"<p><strong>Background: </strong>Sarcopenia is a clinical syndrome presented with progressive and generalized skeletal muscle loss and function dysfunction. Usually, it is considered an age-related process influenced by genetic, lifestyle factors, and diseases. Obstructive jaundice is one of the most common pathophysiological changes in patients needing hepatobiliary or pancreatic operations that can adversely affect the tissue and organ function throughout the human body. However, the effects of obstructive jaundice on the occurrence of sarcopenia remain unclear.</p><p><strong>Aim: </strong>To investigate the incidence of sarcopenia in patients with surgical obstructive jaundice and the association of sarcopenia with postoperative outcome.</p><p><strong>Methods: </strong>This cross-sectional study was conducted from December 2019 to January 2024. Data retrieved included patient demographics, disease entities, sarcopenia-related parameters (including grip strength, 6-m walking time, and limb skeletal muscle mass index), postoperative complications, and length of hospital stay. Sarcopenia was confirmed using Asian Working Group standards. Logistic regression was used to analyze the relationship between total bilirubin level and sarcopenia. The factors influencing sarcopenia in patients with surgical obstructive jaundice and association of sarcopenia with postoperative complications were also investigated.</p><p><strong>Results: </strong>Overall, 1708 patients met the inclusion criteria, with a mean age of 60.09 ± 13.52 years (sex: 52.28% male). There were 383 patients (22.42%) with obstructive jaundice and 1325 (77.58%) without jaundice. Sarcopenia, low walking speed, low grip strength, and low limb skeletal muscle index were more prevalent in patients with obstructive jaundice than nonobstructive jaundice. The odds ratio (OR) for sarcopenia in patients with obstructive jaundice was 1.689 [95% confidence interval (CI): 1.295-2.203, <i>P</i> < 0.001], indicating that jaundice is a significant risk factor for sarcopenia. The occurrence of sarcopenia was higher in patients with severe obstructive jaundice than mild obstructive jaundice (39.3% <i>vs</i> 22.8%, <i>P</i> < 0.05). Obstructive jaundice was positively correlated with reduced walking speed (OR = 1.627, 95%CI: 1.185-2.234, <i>P</i> = 0.003) and decreased grip strength (OR = 1.669, 95%CI: 1.212-2.300, <i>P</i> = 0.002). Age (OR = 1.077, 95%CI: 1.040-1.114, <i>P</i> < 0.001) and body mass index (OR = 0.703, 95%CI: 0.630-0.784, <i>P</i> < 0.001) were independent risk factors of sarcopenia in patients with obstructive jaundice. Patients with obstructive jaundice and sarcopenia had a higher rate of postoperative complications (46.3% <i>vs</i> 33.1%, <i>P</i> = 0.032), longer postoperative hospital stays (11.33 ± 6.75 days <i>vs</i> 9.19 ± 7.32 days, <i>P</i> = 0.016), and longer total hospital stays (17.10 ± 7.69 days <i>vs</i> 15.98 ± 8.55 days, <i>P</i> = 0.032) than those without sarcopenia.</p><p><strong>Conclusion: </strong>Sarcopenia is more prevalent in patients with obstructive jaundice and is positively correlated with the degree of jaundice. Sarcopenia prolongs hospital stays and is associate with postoperative complications.</p>\",\"PeriodicalId\":23759,\"journal\":{\"name\":\"World Journal of Gastrointestinal Surgery\",\"volume\":\"17 8\",\"pages\":\"107209\"},\"PeriodicalIF\":1.7000,\"publicationDate\":\"2025-08-27\",\"publicationTypes\":\"Journal Article\",\"fieldsOfStudy\":null,\"isOpenAccess\":false,\"openAccessPdf\":\"https://www.ncbi.nlm.nih.gov/pmc/articles/PMC12427056/pdf/\",\"citationCount\":\"0\",\"resultStr\":null,\"platform\":\"Semanticscholar\",\"paperid\":null,\"PeriodicalName\":\"World Journal of Gastrointestinal Surgery\",\"FirstCategoryId\":\"3\",\"ListUrlMain\":\"https://doi.org/10.4240/wjgs.v17.i8.107209\",\"RegionNum\":4,\"RegionCategory\":\"医学\",\"ArticlePicture\":[],\"TitleCN\":null,\"AbstractTextCN\":null,\"PMCID\":null,\"EPubDate\":\"\",\"PubModel\":\"\",\"JCR\":\"Q3\",\"JCRName\":\"GASTROENTEROLOGY & HEPATOLOGY\",\"Score\":null,\"Total\":0}","platform":"Semanticscholar","paperid":null,"PeriodicalName":"World Journal of Gastrointestinal Surgery","FirstCategoryId":"3","ListUrlMain":"https://doi.org/10.4240/wjgs.v17.i8.107209","RegionNum":4,"RegionCategory":"医学","ArticlePicture":[],"TitleCN":null,"AbstractTextCN":null,"PMCID":null,"EPubDate":"","PubModel":"","JCR":"Q3","JCRName":"GASTROENTEROLOGY & HEPATOLOGY","Score":null,"Total":0}
引用次数: 0

摘要

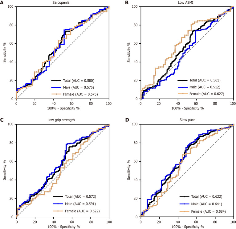
背景:骨骼肌减少症是一种临床综合征,表现为进行性和全身性骨骼肌丧失和功能障碍。通常,它被认为是一个受遗传、生活方式因素和疾病影响的与年龄有关的过程。梗阻性黄疸是肝胆胰手术患者最常见的病理生理变化之一,可对整个人体的组织和器官功能产生不利影响。然而,梗阻性黄疸对肌少症发生的影响尚不清楚。目的:探讨梗阻性黄疸术后肌少症的发生率及与术后预后的关系。方法:横断面研究于2019年12月至2024年1月进行。检索的数据包括患者人口统计、疾病实体、肌肉减少症相关参数(包括握力、6米步行时间和肢体骨骼肌质量指数)、术后并发症和住院时间。骨骼肌减少症采用亚洲工作组标准确诊。采用Logistic回归分析总胆红素水平与肌肉减少症的关系。我们还探讨了影响外科阻塞性黄疸患者肌肉减少的因素以及肌肉减少与术后并发症的关系。结果:1708例患者符合纳入标准,平均年龄60.09±13.52岁(性别:男性52.28%)。梗阻性黄疸383例(22.42%),非梗阻性黄疸1325例(77.58%)。梗阻性黄疸患者比非梗阻性黄疸患者更容易出现肌肉减少、行走速度慢、握力低和下肢骨骼肌指数低。梗阻性黄疸患者肌少症的优势比(OR)为1.689[95%可信区间(CI): 1.295 ~ 2.203, P < 0.001],提示黄疸是肌少症的重要危险因素。重度梗阻性黄疸患者肌少症发生率高于轻度梗阻性黄疸患者(39.3% vs 22.8%, P < 0.05)。梗阻性黄疸与步行速度降低(OR = 1.627, 95%CI: 1.185 ~ 2.234, P = 0.003)和握力下降(OR = 1.669, 95%CI: 1.212 ~ 2.300, P = 0.002)呈正相关。年龄(OR = 1.077, 95%CI: 1.040 ~ 1.114, P < 0.001)和体重指数(OR = 0.703, 95%CI: 0.63 ~ 0.784, P < 0.001)是梗阻性黄疸患者肌肉减少的独立危险因素。梗阻性黄疸合并肌少症患者术后并发症发生率(46.3% vs 33.1%, P = 0.032)、住院时间(11.33±6.75 d vs 9.19±7.32 d, P = 0.016)、总住院时间(17.10±7.69 d vs 15.98±8.55 d, P = 0.032)均高于无肌少症患者。结论:骨骼肌减少症在梗阻性黄疸患者中更为常见,且与黄疸程度呈正相关。肌肉减少症延长住院时间,并与术后并发症有关。
本文章由计算机程序翻译,如有差异,请以英文原文为准。

Prevalence of sarcopenia in patients with surgical obstructive jaundice and its impact on clinical outcomes.

Prevalence of sarcopenia in patients with surgical obstructive jaundice and its impact on clinical outcomes.

Background: Sarcopenia is a clinical syndrome presented with progressive and generalized skeletal muscle loss and function dysfunction. Usually, it is considered an age-related process influenced by genetic, lifestyle factors, and diseases. Obstructive jaundice is one of the most common pathophysiological changes in patients needing hepatobiliary or pancreatic operations that can adversely affect the tissue and organ function throughout the human body. However, the effects of obstructive jaundice on the occurrence of sarcopenia remain unclear.

Aim: To investigate the incidence of sarcopenia in patients with surgical obstructive jaundice and the association of sarcopenia with postoperative outcome.

Methods: This cross-sectional study was conducted from December 2019 to January 2024. Data retrieved included patient demographics, disease entities, sarcopenia-related parameters (including grip strength, 6-m walking time, and limb skeletal muscle mass index), postoperative complications, and length of hospital stay. Sarcopenia was confirmed using Asian Working Group standards. Logistic regression was used to analyze the relationship between total bilirubin level and sarcopenia. The factors influencing sarcopenia in patients with surgical obstructive jaundice and association of sarcopenia with postoperative complications were also investigated.

Results: Overall, 1708 patients met the inclusion criteria, with a mean age of 60.09 ± 13.52 years (sex: 52.28% male). There were 383 patients (22.42%) with obstructive jaundice and 1325 (77.58%) without jaundice. Sarcopenia, low walking speed, low grip strength, and low limb skeletal muscle index were more prevalent in patients with obstructive jaundice than nonobstructive jaundice. The odds ratio (OR) for sarcopenia in patients with obstructive jaundice was 1.689 [95% confidence interval (CI): 1.295-2.203, P < 0.001], indicating that jaundice is a significant risk factor for sarcopenia. The occurrence of sarcopenia was higher in patients with severe obstructive jaundice than mild obstructive jaundice (39.3% vs 22.8%, P < 0.05). Obstructive jaundice was positively correlated with reduced walking speed (OR = 1.627, 95%CI: 1.185-2.234, P = 0.003) and decreased grip strength (OR = 1.669, 95%CI: 1.212-2.300, P = 0.002). Age (OR = 1.077, 95%CI: 1.040-1.114, P < 0.001) and body mass index (OR = 0.703, 95%CI: 0.630-0.784, P < 0.001) were independent risk factors of sarcopenia in patients with obstructive jaundice. Patients with obstructive jaundice and sarcopenia had a higher rate of postoperative complications (46.3% vs 33.1%, P = 0.032), longer postoperative hospital stays (11.33 ± 6.75 days vs 9.19 ± 7.32 days, P = 0.016), and longer total hospital stays (17.10 ± 7.69 days vs 15.98 ± 8.55 days, P = 0.032) than those without sarcopenia.

Conclusion: Sarcopenia is more prevalent in patients with obstructive jaundice and is positively correlated with the degree of jaundice. Sarcopenia prolongs hospital stays and is associate with postoperative complications.

求助全文
通过发布文献求助,成功后即可免费获取论文全文。 去求助
来源期刊
自引率
5.00%
发文量
111
×
引用
GB/T 7714-2015
复制
MLA
复制
APA
复制
导出至
BibTeX EndNote RefMan NoteFirst NoteExpress
×
提示
您的信息不完整,为了账户安全,请先补充。
现在去补充
×
提示
您因"违规操作"
具体请查看互助需知
我知道了
×
提示
确定
请完成安全验证×
copy
已复制链接
快去分享给好友吧!
我知道了
右上角分享
点击右上角分享
0
联系我们:info@booksci.cn Book学术提供免费学术资源搜索服务,方便国内外学者检索中英文文献。致力于提供最便捷和优质的服务体验。 Copyright © 2023 布克学术 All rights reserved.
京ICP备2023020795号-1
ghs 京公网安备 11010802042870号
Book学术文献互助
Book学术文献互助群
群 号:604180095
Book学术官方微信
小红书