泌尿系感染性结石的高危因素:回顾性研究。

IF 1.7 3区 医学 Q4 ANDROLOGY
Translational andrology and urology Pub Date : 2025-08-30 Epub Date: 2025-08-26 DOI:10.21037/tau-2025-244
Cheng Tang, Chengmeng Liu, Weimin Jiang, Xing Zhou, Guang Yang, Yong Xu
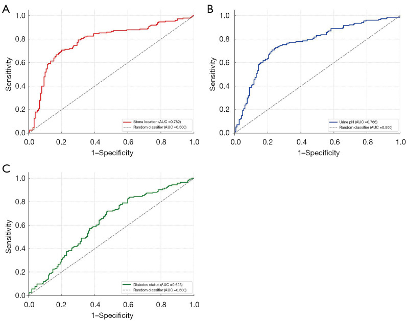
{"title":"泌尿系感染性结石的高危因素:回顾性研究。","authors":"Cheng Tang, Chengmeng Liu, Weimin Jiang, Xing Zhou, Guang Yang, Yong Xu","doi":"10.21037/tau-2025-244","DOIUrl":null,"url":null,"abstract":"<p><strong>Background: </strong>Urinary stones are a common condition with increasing prevalence worldwide. Predicting the type of urinary stones is essential for guiding treatment, yet complex imaging models are not always accessible. This study aims to identify simpler clinical predictors and explore the risk factors for infected urinary stones using statistical and receiver operating characteristic (ROC) analyses.</p><p><strong>Methods: </strong>A retrospective analysis was conducted on 1,067 patients with urinary stones who underwent surgical treatment between 2018 and 2023. Patients were classified into infected and non-infected stone groups based on stone composition. Logistic regression analysis adjusted for age, gender, body mass index (BMI), and serum electrolytes was performed to identify significant predictors, with sensitivity analyses using inverse probability weighting (IPW) to address cohort imbalance. The predictive performance of key factors was assessed using ROC curves.</p><p><strong>Results: </strong>Of the total cohort, 686 (64.3%) had infectious stones, and 381 (35.7%) had non-infectious stones. Infectious stones were more common in females, younger patients, and those with ureteral stones. Preoperative urine cultures revealed <i>Proteus mirabilis</i> (24.3%) and <i>Escherichia coli</i> (18.2%) as predominant pathogens. Multivariate analysis identified three independent predictors for infectious stones: alkaline urine pH [hazard ratio (HR) 2.54, 95% confidence interval (CI): 1.33-4.88, P<0.001], ureteral stone location (HR 5.60, 95% CI: 2.38-13.17, P<0.001), and absence of diabetes mellitus (HR 4.74, 95% CI: 1.50-15.03, P=0.01). Sensitivity analyses confirmed robustness (adjusted HRs: 2.49, 5.58 and 4.65, respectively). Among these, ureteral stone location had the best predictive performance [area under the curve (AUC) =0.782, sensitivity 84.0%, specificity 71.5%], followed by urine pH (AUC =0.766, sensitivity 79.3%, specificity 68.7%), while diabetes status showed weaker predictive ability (AUC =0.623).</p><p><strong>Conclusions: </strong>Alkaline urine pH and ureteral stone location are strong predictors of infected urinary stones, while diabetes status is less predictive. These findings highlight the importance of integrating simple clinical parameters to improve the preoperative assessment and management of patients with urinary stones, particularly in resource-limited settings.</p>","PeriodicalId":23270,"journal":{"name":"Translational andrology and urology","volume":"14 8","pages":"2171-2184"},"PeriodicalIF":1.7000,"publicationDate":"2025-08-30","publicationTypes":"Journal Article","fieldsOfStudy":null,"isOpenAccess":false,"openAccessPdf":"https://www.ncbi.nlm.nih.gov/pmc/articles/PMC12433121/pdf/","citationCount":"0","resultStr":"{\"title\":\"The high-risk factors of urinary infectious stones: a retrospective study.\",\"authors\":\"Cheng Tang, Chengmeng Liu, Weimin Jiang, Xing Zhou, Guang Yang, Yong Xu\",\"doi\":\"10.21037/tau-2025-244\",\"DOIUrl\":null,\"url\":null,\"abstract\":\"<p><strong>Background: </strong>Urinary stones are a common condition with increasing prevalence worldwide. Predicting the type of urinary stones is essential for guiding treatment, yet complex imaging models are not always accessible. This study aims to identify simpler clinical predictors and explore the risk factors for infected urinary stones using statistical and receiver operating characteristic (ROC) analyses.</p><p><strong>Methods: </strong>A retrospective analysis was conducted on 1,067 patients with urinary stones who underwent surgical treatment between 2018 and 2023. Patients were classified into infected and non-infected stone groups based on stone composition. Logistic regression analysis adjusted for age, gender, body mass index (BMI), and serum electrolytes was performed to identify significant predictors, with sensitivity analyses using inverse probability weighting (IPW) to address cohort imbalance. The predictive performance of key factors was assessed using ROC curves.</p><p><strong>Results: </strong>Of the total cohort, 686 (64.3%) had infectious stones, and 381 (35.7%) had non-infectious stones. Infectious stones were more common in females, younger patients, and those with ureteral stones. Preoperative urine cultures revealed <i>Proteus mirabilis</i> (24.3%) and <i>Escherichia coli</i> (18.2%) as predominant pathogens. Multivariate analysis identified three independent predictors for infectious stones: alkaline urine pH [hazard ratio (HR) 2.54, 95% confidence interval (CI): 1.33-4.88, P<0.001], ureteral stone location (HR 5.60, 95% CI: 2.38-13.17, P<0.001), and absence of diabetes mellitus (HR 4.74, 95% CI: 1.50-15.03, P=0.01). Sensitivity analyses confirmed robustness (adjusted HRs: 2.49, 5.58 and 4.65, respectively). Among these, ureteral stone location had the best predictive performance [area under the curve (AUC) =0.782, sensitivity 84.0%, specificity 71.5%], followed by urine pH (AUC =0.766, sensitivity 79.3%, specificity 68.7%), while diabetes status showed weaker predictive ability (AUC =0.623).</p><p><strong>Conclusions: </strong>Alkaline urine pH and ureteral stone location are strong predictors of infected urinary stones, while diabetes status is less predictive. These findings highlight the importance of integrating simple clinical parameters to improve the preoperative assessment and management of patients with urinary stones, particularly in resource-limited settings.</p>\",\"PeriodicalId\":23270,\"journal\":{\"name\":\"Translational andrology and urology\",\"volume\":\"14 8\",\"pages\":\"2171-2184\"},\"PeriodicalIF\":1.7000,\"publicationDate\":\"2025-08-30\",\"publicationTypes\":\"Journal Article\",\"fieldsOfStudy\":null,\"isOpenAccess\":false,\"openAccessPdf\":\"https://www.ncbi.nlm.nih.gov/pmc/articles/PMC12433121/pdf/\",\"citationCount\":\"0\",\"resultStr\":null,\"platform\":\"Semanticscholar\",\"paperid\":null,\"PeriodicalName\":\"Translational andrology and urology\",\"FirstCategoryId\":\"3\",\"ListUrlMain\":\"https://doi.org/10.21037/tau-2025-244\",\"RegionNum\":3,\"RegionCategory\":\"医学\",\"ArticlePicture\":[],\"TitleCN\":null,\"AbstractTextCN\":null,\"PMCID\":null,\"EPubDate\":\"2025/8/26 0:00:00\",\"PubModel\":\"Epub\",\"JCR\":\"Q4\",\"JCRName\":\"ANDROLOGY\",\"Score\":null,\"Total\":0}","platform":"Semanticscholar","paperid":null,"PeriodicalName":"Translational andrology and urology","FirstCategoryId":"3","ListUrlMain":"https://doi.org/10.21037/tau-2025-244","RegionNum":3,"RegionCategory":"医学","ArticlePicture":[],"TitleCN":null,"AbstractTextCN":null,"PMCID":null,"EPubDate":"2025/8/26 0:00:00","PubModel":"Epub","JCR":"Q4","JCRName":"ANDROLOGY","Score":null,"Total":0}
引用次数: 0

摘要

背景:尿路结石是一种常见病,在世界范围内的发病率越来越高。预测尿路结石的类型对指导治疗至关重要,但复杂的成像模型并不总是可行的。本研究旨在通过统计学和受试者工作特征(ROC)分析,确定更简单的临床预测因素,并探讨感染尿路结石的危险因素。方法:回顾性分析2018年至2023年接受手术治疗的1067例尿路结石患者。根据结石组成将患者分为感染组和未感染组。对年龄、性别、体重指数(BMI)和血清电解质进行调整后的Logistic回归分析,以确定显著的预测因素,并使用逆概率加权(IPW)进行敏感性分析,以解决队列失衡问题。采用ROC曲线评估关键因素的预测效果。结果:在整个队列中,686例(64.3%)患有感染性结石,381例(35.7%)患有非感染性结石。感染性结石多见于女性、年轻患者和输尿管结石患者。术前尿培养显示,主要病原菌为奇异变形杆菌(24.3%)和大肠杆菌(18.2%)。多因素分析确定了感染性尿结石的三个独立预测因素:碱性尿pH[危险比(HR) 2.54, 95%可信区间(CI): 1.33-4.88, p]结论:碱性尿pH和输尿管结石位置是感染性尿结石的强预测因素,而糖尿病状态的预测能力较差。这些发现强调了整合简单的临床参数以改善尿路结石患者术前评估和管理的重要性,特别是在资源有限的情况下。
本文章由计算机程序翻译,如有差异,请以英文原文为准。

The high-risk factors of urinary infectious stones: a retrospective study.

The high-risk factors of urinary infectious stones: a retrospective study.

The high-risk factors of urinary infectious stones: a retrospective study.

Background: Urinary stones are a common condition with increasing prevalence worldwide. Predicting the type of urinary stones is essential for guiding treatment, yet complex imaging models are not always accessible. This study aims to identify simpler clinical predictors and explore the risk factors for infected urinary stones using statistical and receiver operating characteristic (ROC) analyses.

Methods: A retrospective analysis was conducted on 1,067 patients with urinary stones who underwent surgical treatment between 2018 and 2023. Patients were classified into infected and non-infected stone groups based on stone composition. Logistic regression analysis adjusted for age, gender, body mass index (BMI), and serum electrolytes was performed to identify significant predictors, with sensitivity analyses using inverse probability weighting (IPW) to address cohort imbalance. The predictive performance of key factors was assessed using ROC curves.

Results: Of the total cohort, 686 (64.3%) had infectious stones, and 381 (35.7%) had non-infectious stones. Infectious stones were more common in females, younger patients, and those with ureteral stones. Preoperative urine cultures revealed Proteus mirabilis (24.3%) and Escherichia coli (18.2%) as predominant pathogens. Multivariate analysis identified three independent predictors for infectious stones: alkaline urine pH [hazard ratio (HR) 2.54, 95% confidence interval (CI): 1.33-4.88, P<0.001], ureteral stone location (HR 5.60, 95% CI: 2.38-13.17, P<0.001), and absence of diabetes mellitus (HR 4.74, 95% CI: 1.50-15.03, P=0.01). Sensitivity analyses confirmed robustness (adjusted HRs: 2.49, 5.58 and 4.65, respectively). Among these, ureteral stone location had the best predictive performance [area under the curve (AUC) =0.782, sensitivity 84.0%, specificity 71.5%], followed by urine pH (AUC =0.766, sensitivity 79.3%, specificity 68.7%), while diabetes status showed weaker predictive ability (AUC =0.623).

Conclusions: Alkaline urine pH and ureteral stone location are strong predictors of infected urinary stones, while diabetes status is less predictive. These findings highlight the importance of integrating simple clinical parameters to improve the preoperative assessment and management of patients with urinary stones, particularly in resource-limited settings.

求助全文
通过发布文献求助,成功后即可免费获取论文全文。 去求助
来源期刊
CiteScore
4.10
自引率
5.00%
发文量
80
期刊介绍: ranslational Andrology and Urology (Print ISSN 2223-4683; Online ISSN 2223-4691; Transl Androl Urol; TAU) is an open access, peer-reviewed, bi-monthly journal (quarterly published from Mar.2012 - Dec. 2014). The main focus of the journal is to describe new findings in the field of translational research of Andrology and Urology, provides current and practical information on basic research and clinical investigations of Andrology and Urology. Specific areas of interest include, but not limited to, molecular study, pathology, biology and technical advances related to andrology and urology. Topics cover range from evaluation, prevention, diagnosis, therapy, prognosis, rehabilitation and future challenges to urology and andrology. Contributions pertinent to urology and andrology are also included from related fields such as public health, basic sciences, education, sociology, and nursing.
×
引用
GB/T 7714-2015
复制
MLA
复制
APA
复制
导出至
BibTeX EndNote RefMan NoteFirst NoteExpress
×
提示
您的信息不完整,为了账户安全,请先补充。
现在去补充
×
提示
您因"违规操作"
具体请查看互助需知
我知道了
×
提示
确定
请完成安全验证×
copy
已复制链接
快去分享给好友吧!
我知道了
右上角分享
点击右上角分享
0
联系我们:info@booksci.cn Book学术提供免费学术资源搜索服务,方便国内外学者检索中英文文献。致力于提供最便捷和优质的服务体验。 Copyright © 2023 布克学术 All rights reserved.
京ICP备2023020795号-1
ghs 京公网安备 11010802042870号
Book学术文献互助
Book学术文献互助群
群 号:604180095
Book学术官方微信