内镜下结肠息肉术后短期复发的危险因素及临床预测模型

IF 1.7 4区 医学 Q3 GASTROENTEROLOGY & HEPATOLOGY
Meng Zhang, Rui Yin, Jie Ying, Guan-Qi Liu, Ping Wang, Jian-Xin Ge
{"title":"内镜下结肠息肉术后短期复发的危险因素及临床预测模型","authors":"Meng Zhang, Rui Yin, Jie Ying, Guan-Qi Liu, Ping Wang, Jian-Xin Ge","doi":"10.4240/wjgs.v17.i8.109057","DOIUrl":null,"url":null,"abstract":"<p><strong>Background: </strong>Colorectal polyps (CPs) are important precursor lesions of colorectal cancer, and endoscopic surgery remains the primary treatment option. However, the short-term recurrence rate post-surgery is high, and the risk factors for recurrence remain unknown.</p><p><strong>Aim: </strong>To comprehensively explore risk factors for short-term recurrence of CPs after endoscopic surgery and develop a nomogram prediction model.</p><p><strong>Methods: </strong>Overall, 362 patients who underwent endoscopic polypectomy between January 2022 and January 2024 at Nanjing Jiangbei Hospital were included. We screened basic demographic data, clinical and polyp characteristics, surgery-related information, and independent risk factors for CPs recurrence using univariate and multivariate logistic regression analyses. The multivariate analysis results were used to construct a nomogram prediction model, internally validated using Bootstrapping, with performance evaluated using area under the curve (AUC), calibration curve, and decision curve analysis.</p><p><strong>Results: </strong>CP re-occurred in 166 (45.86%) of the 362 patients within 1 year post-surgery. Multivariate logistic regression analysis showed that age (OR = 1.04, <i>P</i> = 0.002), alcohol consumption (OR = 2.07, <i>P</i> = 0.012), <i>Helicobacter pylori</i> infection (OR = 2.34, <i>P</i> < 0.001), polyp number > 2 (OR = 1.98, <i>P</i> = 0.005), sessile polyps (OR = 2.10, <i>P</i> = 0.006), and adenomatous pathological type (OR = 3.02, <i>P</i> < 0.001) were independent risk factors for post-surgery recurrence. The nomogram prediction model showed good discriminatory (AUC = 0.73) and calibrating power, and decision curve analysis showed that the model had good clinical benefit at risk probabilities > 20%.</p><p><strong>Conclusion: </strong>We identified multiple independent risk factors for short-term recurrence after endoscopic surgery. The nomogram prediction model showed a certain degree of differentiation, calibration, and potential clinical applicability.</p>","PeriodicalId":23759,"journal":{"name":"World Journal of Gastrointestinal Surgery","volume":"17 8","pages":"109057"},"PeriodicalIF":1.7000,"publicationDate":"2025-08-27","publicationTypes":"Journal Article","fieldsOfStudy":null,"isOpenAccess":false,"openAccessPdf":"https://www.ncbi.nlm.nih.gov/pmc/articles/PMC12427009/pdf/","citationCount":"0","resultStr":"{\"title\":\"Risk factors and clinical prediction models for short-term recurrence after endoscopic surgery in patients with colorectal polyps.\",\"authors\":\"Meng Zhang, Rui Yin, Jie Ying, Guan-Qi Liu, Ping Wang, Jian-Xin Ge\",\"doi\":\"10.4240/wjgs.v17.i8.109057\",\"DOIUrl\":null,\"url\":null,\"abstract\":\"<p><strong>Background: </strong>Colorectal polyps (CPs) are important precursor lesions of colorectal cancer, and endoscopic surgery remains the primary treatment option. However, the short-term recurrence rate post-surgery is high, and the risk factors for recurrence remain unknown.</p><p><strong>Aim: </strong>To comprehensively explore risk factors for short-term recurrence of CPs after endoscopic surgery and develop a nomogram prediction model.</p><p><strong>Methods: </strong>Overall, 362 patients who underwent endoscopic polypectomy between January 2022 and January 2024 at Nanjing Jiangbei Hospital were included. We screened basic demographic data, clinical and polyp characteristics, surgery-related information, and independent risk factors for CPs recurrence using univariate and multivariate logistic regression analyses. The multivariate analysis results were used to construct a nomogram prediction model, internally validated using Bootstrapping, with performance evaluated using area under the curve (AUC), calibration curve, and decision curve analysis.</p><p><strong>Results: </strong>CP re-occurred in 166 (45.86%) of the 362 patients within 1 year post-surgery. Multivariate logistic regression analysis showed that age (OR = 1.04, <i>P</i> = 0.002), alcohol consumption (OR = 2.07, <i>P</i> = 0.012), <i>Helicobacter pylori</i> infection (OR = 2.34, <i>P</i> < 0.001), polyp number > 2 (OR = 1.98, <i>P</i> = 0.005), sessile polyps (OR = 2.10, <i>P</i> = 0.006), and adenomatous pathological type (OR = 3.02, <i>P</i> < 0.001) were independent risk factors for post-surgery recurrence. The nomogram prediction model showed good discriminatory (AUC = 0.73) and calibrating power, and decision curve analysis showed that the model had good clinical benefit at risk probabilities > 20%.</p><p><strong>Conclusion: </strong>We identified multiple independent risk factors for short-term recurrence after endoscopic surgery. The nomogram prediction model showed a certain degree of differentiation, calibration, and potential clinical applicability.</p>\",\"PeriodicalId\":23759,\"journal\":{\"name\":\"World Journal of Gastrointestinal Surgery\",\"volume\":\"17 8\",\"pages\":\"109057\"},\"PeriodicalIF\":1.7000,\"publicationDate\":\"2025-08-27\",\"publicationTypes\":\"Journal Article\",\"fieldsOfStudy\":null,\"isOpenAccess\":false,\"openAccessPdf\":\"https://www.ncbi.nlm.nih.gov/pmc/articles/PMC12427009/pdf/\",\"citationCount\":\"0\",\"resultStr\":null,\"platform\":\"Semanticscholar\",\"paperid\":null,\"PeriodicalName\":\"World Journal of Gastrointestinal Surgery\",\"FirstCategoryId\":\"3\",\"ListUrlMain\":\"https://doi.org/10.4240/wjgs.v17.i8.109057\",\"RegionNum\":4,\"RegionCategory\":\"医学\",\"ArticlePicture\":[],\"TitleCN\":null,\"AbstractTextCN\":null,\"PMCID\":null,\"EPubDate\":\"\",\"PubModel\":\"\",\"JCR\":\"Q3\",\"JCRName\":\"GASTROENTEROLOGY & HEPATOLOGY\",\"Score\":null,\"Total\":0}","platform":"Semanticscholar","paperid":null,"PeriodicalName":"World Journal of Gastrointestinal Surgery","FirstCategoryId":"3","ListUrlMain":"https://doi.org/10.4240/wjgs.v17.i8.109057","RegionNum":4,"RegionCategory":"医学","ArticlePicture":[],"TitleCN":null,"AbstractTextCN":null,"PMCID":null,"EPubDate":"","PubModel":"","JCR":"Q3","JCRName":"GASTROENTEROLOGY & HEPATOLOGY","Score":null,"Total":0}
引用次数: 0

摘要

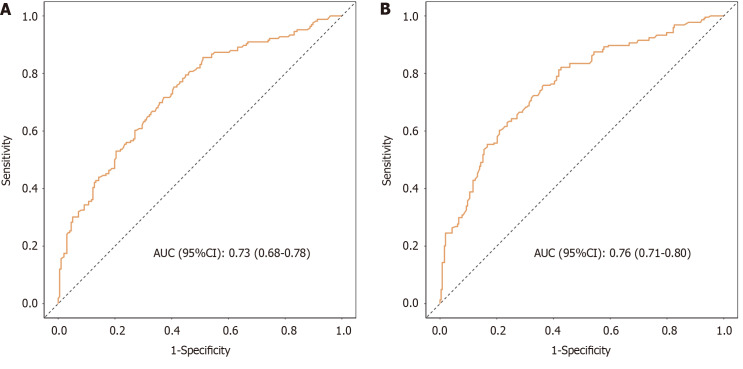
背景:结直肠息肉(CPs)是结直肠癌的重要前驱病变,内镜手术仍然是主要的治疗选择。但术后短期复发率高,复发的危险因素尚不清楚。目的:综合探讨内镜下cp术后短期复发的危险因素,建立预测模型。方法:共纳入2022年1月至2024年1月在南京江北医院行内镜息肉切除术的362例患者。我们使用单变量和多变量logistic回归分析筛选了基本的人口统计学数据、临床和息肉特征、手术相关信息以及CPs复发的独立危险因素。多变量分析结果用于构建nomogram预测模型,使用Bootstrapping进行内部验证,并使用曲线下面积(AUC)、校准曲线和决策曲线分析对其性能进行评估。结果:362例患者术后1年内CP复发166例(45.86%)。多因素logistic回归分析显示,年龄(OR = 1.04, P = 0.002)、饮酒(OR = 2.07, P = 0.012)、幽门螺杆菌感染(OR = 2.34, P < 0.001)、息肉数目>2 (OR = 1.98, P = 0.005)、无根性息肉(OR = 2.10, P = 0.006)、腺瘤病理类型(OR = 3.02, P < 0.001)是术后复发的独立危险因素。nomogram预测模型具有良好的判别性(AUC = 0.73)和校准能力,决策曲线分析表明该模型在风险概率为bb0 ~ 20%时具有良好的临床效益。结论:我们确定了内镜手术后短期复发的多个独立危险因素。nomogram预测模型具有一定的辨别性、定标性和潜在的临床适用性。
本文章由计算机程序翻译,如有差异,请以英文原文为准。

Risk factors and clinical prediction models for short-term recurrence after endoscopic surgery in patients with colorectal polyps.

Risk factors and clinical prediction models for short-term recurrence after endoscopic surgery in patients with colorectal polyps.

Risk factors and clinical prediction models for short-term recurrence after endoscopic surgery in patients with colorectal polyps.

Risk factors and clinical prediction models for short-term recurrence after endoscopic surgery in patients with colorectal polyps.

Background: Colorectal polyps (CPs) are important precursor lesions of colorectal cancer, and endoscopic surgery remains the primary treatment option. However, the short-term recurrence rate post-surgery is high, and the risk factors for recurrence remain unknown.

Aim: To comprehensively explore risk factors for short-term recurrence of CPs after endoscopic surgery and develop a nomogram prediction model.

Methods: Overall, 362 patients who underwent endoscopic polypectomy between January 2022 and January 2024 at Nanjing Jiangbei Hospital were included. We screened basic demographic data, clinical and polyp characteristics, surgery-related information, and independent risk factors for CPs recurrence using univariate and multivariate logistic regression analyses. The multivariate analysis results were used to construct a nomogram prediction model, internally validated using Bootstrapping, with performance evaluated using area under the curve (AUC), calibration curve, and decision curve analysis.

Results: CP re-occurred in 166 (45.86%) of the 362 patients within 1 year post-surgery. Multivariate logistic regression analysis showed that age (OR = 1.04, P = 0.002), alcohol consumption (OR = 2.07, P = 0.012), Helicobacter pylori infection (OR = 2.34, P < 0.001), polyp number > 2 (OR = 1.98, P = 0.005), sessile polyps (OR = 2.10, P = 0.006), and adenomatous pathological type (OR = 3.02, P < 0.001) were independent risk factors for post-surgery recurrence. The nomogram prediction model showed good discriminatory (AUC = 0.73) and calibrating power, and decision curve analysis showed that the model had good clinical benefit at risk probabilities > 20%.

Conclusion: We identified multiple independent risk factors for short-term recurrence after endoscopic surgery. The nomogram prediction model showed a certain degree of differentiation, calibration, and potential clinical applicability.

求助全文
通过发布文献求助,成功后即可免费获取论文全文。 去求助
来源期刊
自引率
5.00%
发文量
111
×
引用
GB/T 7714-2015
复制
MLA
复制
APA
复制
导出至
BibTeX EndNote RefMan NoteFirst NoteExpress
×
提示
您的信息不完整,为了账户安全,请先补充。
现在去补充
×
提示
您因"违规操作"
具体请查看互助需知
我知道了
×
提示
确定
请完成安全验证×
copy
已复制链接
快去分享给好友吧!
我知道了
右上角分享
点击右上角分享
0
联系我们:info@booksci.cn Book学术提供免费学术资源搜索服务,方便国内外学者检索中英文文献。致力于提供最便捷和优质的服务体验。 Copyright © 2023 布克学术 All rights reserved.
京ICP备2023020795号-1
ghs 京公网安备 11010802042870号
Book学术文献互助
Book学术文献互助群
群 号:604180095
Book学术官方微信