卵巢肿瘤进展过程中VOPP1在紫杉醇反应和EMT过程中的调控作用。

IF 1 Q4 BIOCHEMISTRY & MOLECULAR BIOLOGY
Mohammad Hossein Khajavirad, Amirhosein Maharati, Negin Taghehchian, Fatemeh Taghavinia, Meysam Moghbeli
{"title":"卵巢肿瘤进展过程中VOPP1在紫杉醇反应和EMT过程中的调控作用。","authors":"Mohammad Hossein Khajavirad, Amirhosein Maharati, Negin Taghehchian, Fatemeh Taghavinia, Meysam Moghbeli","doi":"10.22099/mbrc.2025.52515.2107","DOIUrl":null,"url":null,"abstract":"<p><p>Ovarian cancer (OC) is one of the most common malignancies of the genitourinary system in women that has a high mortality rate worldwide. Drug resistance and tumor relapse are the main causes of high mortality rate in OC patients. Therefore, investigation of the molecular mechanisms involved in OC progression can be valuable to introduce effective therapeutic targets for these patients. Epithelial-mesenchymal transition (EMT) as a key regulator of tumor relapse and drug resistance can be regulated by different signaling pathways such as WNT and NOTCH. <i>VOPP1</i> is an activator of NF-κB pathway during tumor progression. Considering the importance of cross talks between different signaling pathways during tumor progression, we assessed the role of <i>VOPP1</i> in OC progression through the modulation of WNT and NOTCH pathways. The expression levels of components of WNT and NOTCH signaling pathways, as well as the EMT process, were evaluated in <i>VOPP1</i>-induced A2780 cells compared to control cells. Role of <i>VOPP1</i> in OC invasiveness was also assessed through migration and drug resistance assays. <i>VOPP1</i> inhibited EMT process and NOTCH and WNT pathways in A2780 cells. <i>VOPP1</i> also significantly reduced cell migration (<i>p</i>=0.04) and paclitaxel (PTX) resistance in A2780 cells (<i>p</i><0.0001). <i>VOPP1</i> reduced ovarian tumor cell migration and PTX resistance via regulation of NOTCH and WNT mediated EMT process. Therefore, it can be suggested as a novel therapeutic target in OC patients following further animal studies and clinical trials.</p>","PeriodicalId":19025,"journal":{"name":"Molecular Biology Research Communications","volume":"14 4","pages":"249-258"},"PeriodicalIF":1.0000,"publicationDate":"2025-01-01","publicationTypes":"Journal Article","fieldsOfStudy":null,"isOpenAccess":false,"openAccessPdf":"https://www.ncbi.nlm.nih.gov/pmc/articles/PMC12426957/pdf/","citationCount":"0","resultStr":"{\"title\":\"Role of <i>VOPP1</i> in regulation of Paclitaxel response and EMT process during ovarian tumor progression.\",\"authors\":\"Mohammad Hossein Khajavirad, Amirhosein Maharati, Negin Taghehchian, Fatemeh Taghavinia, Meysam Moghbeli\",\"doi\":\"10.22099/mbrc.2025.52515.2107\",\"DOIUrl\":null,\"url\":null,\"abstract\":\"<p><p>Ovarian cancer (OC) is one of the most common malignancies of the genitourinary system in women that has a high mortality rate worldwide. Drug resistance and tumor relapse are the main causes of high mortality rate in OC patients. Therefore, investigation of the molecular mechanisms involved in OC progression can be valuable to introduce effective therapeutic targets for these patients. Epithelial-mesenchymal transition (EMT) as a key regulator of tumor relapse and drug resistance can be regulated by different signaling pathways such as WNT and NOTCH. <i>VOPP1</i> is an activator of NF-κB pathway during tumor progression. Considering the importance of cross talks between different signaling pathways during tumor progression, we assessed the role of <i>VOPP1</i> in OC progression through the modulation of WNT and NOTCH pathways. The expression levels of components of WNT and NOTCH signaling pathways, as well as the EMT process, were evaluated in <i>VOPP1</i>-induced A2780 cells compared to control cells. Role of <i>VOPP1</i> in OC invasiveness was also assessed through migration and drug resistance assays. <i>VOPP1</i> inhibited EMT process and NOTCH and WNT pathways in A2780 cells. <i>VOPP1</i> also significantly reduced cell migration (<i>p</i>=0.04) and paclitaxel (PTX) resistance in A2780 cells (<i>p</i><0.0001). <i>VOPP1</i> reduced ovarian tumor cell migration and PTX resistance via regulation of NOTCH and WNT mediated EMT process. Therefore, it can be suggested as a novel therapeutic target in OC patients following further animal studies and clinical trials.</p>\",\"PeriodicalId\":19025,\"journal\":{\"name\":\"Molecular Biology Research Communications\",\"volume\":\"14 4\",\"pages\":\"249-258\"},\"PeriodicalIF\":1.0000,\"publicationDate\":\"2025-01-01\",\"publicationTypes\":\"Journal Article\",\"fieldsOfStudy\":null,\"isOpenAccess\":false,\"openAccessPdf\":\"https://www.ncbi.nlm.nih.gov/pmc/articles/PMC12426957/pdf/\",\"citationCount\":\"0\",\"resultStr\":null,\"platform\":\"Semanticscholar\",\"paperid\":null,\"PeriodicalName\":\"Molecular Biology Research Communications\",\"FirstCategoryId\":\"1085\",\"ListUrlMain\":\"https://doi.org/10.22099/mbrc.2025.52515.2107\",\"RegionNum\":0,\"RegionCategory\":null,\"ArticlePicture\":[],\"TitleCN\":null,\"AbstractTextCN\":null,\"PMCID\":null,\"EPubDate\":\"\",\"PubModel\":\"\",\"JCR\":\"Q4\",\"JCRName\":\"BIOCHEMISTRY & MOLECULAR BIOLOGY\",\"Score\":null,\"Total\":0}","platform":"Semanticscholar","paperid":null,"PeriodicalName":"Molecular Biology Research Communications","FirstCategoryId":"1085","ListUrlMain":"https://doi.org/10.22099/mbrc.2025.52515.2107","RegionNum":0,"RegionCategory":null,"ArticlePicture":[],"TitleCN":null,"AbstractTextCN":null,"PMCID":null,"EPubDate":"","PubModel":"","JCR":"Q4","JCRName":"BIOCHEMISTRY & MOLECULAR BIOLOGY","Score":null,"Total":0}
引用次数: 0

摘要

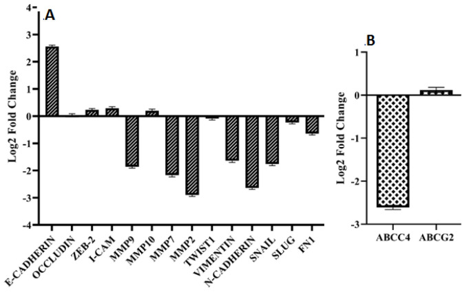
卵巢癌(OC)是女性泌尿生殖系统最常见的恶性肿瘤之一,在世界范围内具有很高的死亡率。耐药和肿瘤复发是卵巢癌患者死亡率高的主要原因。因此,研究参与OC进展的分子机制对于为这些患者引入有效的治疗靶点是有价值的。上皮间充质转化(Epithelial-mesenchymal transition, EMT)是肿瘤复发和耐药的关键调控因子,可通过WNT、NOTCH等不同信号通路进行调控。VOPP1是肿瘤进展过程中NF-κB通路的激活因子。考虑到肿瘤进展过程中不同信号通路之间的交叉对话的重要性,我们评估了VOPP1通过调节WNT和NOTCH通路在OC进展中的作用。与对照细胞相比,我们在vopp1诱导的A2780细胞中评估了WNT和NOTCH信号通路组分以及EMT过程的表达水平。通过迁移和耐药试验评估VOPP1在OC侵袭中的作用。VOPP1抑制A2780细胞的EMT过程以及NOTCH和WNT通路。vpp1还显著降低了A2780细胞的细胞迁移(p=0.04)和紫杉醇(PTX)耐药性(pVOPP1通过调节NOTCH和WNT介导的EMT过程降低卵巢肿瘤细胞迁移和PTX耐药性)。因此,在进一步的动物研究和临床试验中,它可以作为一种新的治疗靶点。
本文章由计算机程序翻译,如有差异,请以英文原文为准。

Role of <i>VOPP1</i> in regulation of Paclitaxel response and EMT process during ovarian tumor progression.

Role of <i>VOPP1</i> in regulation of Paclitaxel response and EMT process during ovarian tumor progression.

Role of <i>VOPP1</i> in regulation of Paclitaxel response and EMT process during ovarian tumor progression.

Role of VOPP1 in regulation of Paclitaxel response and EMT process during ovarian tumor progression.

Ovarian cancer (OC) is one of the most common malignancies of the genitourinary system in women that has a high mortality rate worldwide. Drug resistance and tumor relapse are the main causes of high mortality rate in OC patients. Therefore, investigation of the molecular mechanisms involved in OC progression can be valuable to introduce effective therapeutic targets for these patients. Epithelial-mesenchymal transition (EMT) as a key regulator of tumor relapse and drug resistance can be regulated by different signaling pathways such as WNT and NOTCH. VOPP1 is an activator of NF-κB pathway during tumor progression. Considering the importance of cross talks between different signaling pathways during tumor progression, we assessed the role of VOPP1 in OC progression through the modulation of WNT and NOTCH pathways. The expression levels of components of WNT and NOTCH signaling pathways, as well as the EMT process, were evaluated in VOPP1-induced A2780 cells compared to control cells. Role of VOPP1 in OC invasiveness was also assessed through migration and drug resistance assays. VOPP1 inhibited EMT process and NOTCH and WNT pathways in A2780 cells. VOPP1 also significantly reduced cell migration (p=0.04) and paclitaxel (PTX) resistance in A2780 cells (p<0.0001). VOPP1 reduced ovarian tumor cell migration and PTX resistance via regulation of NOTCH and WNT mediated EMT process. Therefore, it can be suggested as a novel therapeutic target in OC patients following further animal studies and clinical trials.

求助全文
通过发布文献求助,成功后即可免费获取论文全文。 去求助
来源期刊
Molecular Biology Research Communications
Molecular Biology Research Communications BIOCHEMISTRY & MOLECULAR BIOLOGY-
CiteScore
3.00
自引率
0.00%
发文量
12
期刊介绍: “Molecular Biology Research Communications” (MBRC) is an international journal of Molecular Biology. It is published quarterly by Shiraz University (Iran). The MBRC is a fully peer-reviewed journal. The journal welcomes submission of Original articles, Short communications, Invited review articles, and Letters to the Editor which meets the general criteria of significance and scientific excellence in all fields of “Molecular Biology”.
×
引用
GB/T 7714-2015
复制
MLA
复制
APA
复制
导出至
BibTeX EndNote RefMan NoteFirst NoteExpress
×
提示
您的信息不完整,为了账户安全,请先补充。
现在去补充
×
提示
您因"违规操作"
具体请查看互助需知
我知道了
×
提示
确定
请完成安全验证×
copy
已复制链接
快去分享给好友吧!
我知道了
右上角分享
点击右上角分享
0
联系我们:info@booksci.cn Book学术提供免费学术资源搜索服务,方便国内外学者检索中英文文献。致力于提供最便捷和优质的服务体验。 Copyright © 2023 布克学术 All rights reserved.
京ICP备2023020795号-1
ghs 京公网安备 11010802042870号
Book学术文献互助
Book学术文献互助群
群 号:604180095
Book学术官方微信