保元汤、桃红四物汤联合西药对老年冠心病患者血脂水平的影响。

IF 1.5 4区 医学 Q4 BIOCHEMISTRY & MOLECULAR BIOLOGY
Bingrui Wu, Shenggao Zhang, Ruihong Zhou
{"title":"保元汤、桃红四物汤联合西药对老年冠心病患者血脂水平的影响。","authors":"Bingrui Wu, Shenggao Zhang, Ruihong Zhou","doi":"10.5937/jomb0-52017","DOIUrl":null,"url":null,"abstract":"<p><strong>Background: </strong>To explore how Baoyuan and Taohong Siwu decoctions combined with Western medicine affect triglycerides (TG), total cholesterol (TC), low-density lipoprotein cholesterol (LDL-C), and high-density lipoprotein cholesterol (HDL-C) in elderly patients with coronary heart disease.</p><p><strong>Methods: </strong>Ninety elderly patients with coronary heart disease who were hospitalized from January 2021 to December 2022 were selected and divided into two groups based on different treatment methods, with 45 patients in each group. The control group was treated with Western medicine alone, while the research group was treated with the combination of Baoyuan and Taohong Siwu decoctions based on the control group. The improvement of traditional Chinese medicine symptom scores, various blood lipid levels, and serum indicators of cardiac function were compared between two groups before treatment, 1 month, 2 months, and 3 months of treatment.</p><p><strong>Results: </strong>Before treatment, the two groups had identical Traditional Chinese Medicine symptom scores, various blood lipid levels, and various serum indicators of cardiac function (P> 0.05). After treating 1 month, 2 months, and 3 months, the chest pain, tightness, fatigue, and sweating scores in the research group were lower (P< 0.05). The TG, TC, LDL-C, and HDL-C levels in the research group were lower (P< 0.05). The levels of plasma N-terminal brain natriuretic peptide (NT-proBNP) and monocyte chemoattractant protein-1 (MCP-1) in the research group were lower (P <0.05).</p><p><strong>Conclusions: </strong>Combining Baoyuan and Taohong Siwu decoctions and Western medicine treatment can help improve the symptoms and signs of coronary heart disease in the elderly. It can reduce the levels of various indicators such as LDL-C, TG, TC, and HDL-C in the body and promote the improvement of cardiac function.</p>","PeriodicalId":16175,"journal":{"name":"Journal of Medical Biochemistry","volume":"44 5","pages":"985-993"},"PeriodicalIF":1.5000,"publicationDate":"2025-08-21","publicationTypes":"Journal Article","fieldsOfStudy":null,"isOpenAccess":false,"openAccessPdf":"https://www.ncbi.nlm.nih.gov/pmc/articles/PMC12433299/pdf/","citationCount":"0","resultStr":"{\"title\":\"Influence of Baoyuan decoction and Taohong Siwu decoction combined with Western medicine on serum lipid levels in elderly patients with coronary heart disease.\",\"authors\":\"Bingrui Wu, Shenggao Zhang, Ruihong Zhou\",\"doi\":\"10.5937/jomb0-52017\",\"DOIUrl\":null,\"url\":null,\"abstract\":\"<p><strong>Background: </strong>To explore how Baoyuan and Taohong Siwu decoctions combined with Western medicine affect triglycerides (TG), total cholesterol (TC), low-density lipoprotein cholesterol (LDL-C), and high-density lipoprotein cholesterol (HDL-C) in elderly patients with coronary heart disease.</p><p><strong>Methods: </strong>Ninety elderly patients with coronary heart disease who were hospitalized from January 2021 to December 2022 were selected and divided into two groups based on different treatment methods, with 45 patients in each group. The control group was treated with Western medicine alone, while the research group was treated with the combination of Baoyuan and Taohong Siwu decoctions based on the control group. The improvement of traditional Chinese medicine symptom scores, various blood lipid levels, and serum indicators of cardiac function were compared between two groups before treatment, 1 month, 2 months, and 3 months of treatment.</p><p><strong>Results: </strong>Before treatment, the two groups had identical Traditional Chinese Medicine symptom scores, various blood lipid levels, and various serum indicators of cardiac function (P> 0.05). After treating 1 month, 2 months, and 3 months, the chest pain, tightness, fatigue, and sweating scores in the research group were lower (P< 0.05). The TG, TC, LDL-C, and HDL-C levels in the research group were lower (P< 0.05). The levels of plasma N-terminal brain natriuretic peptide (NT-proBNP) and monocyte chemoattractant protein-1 (MCP-1) in the research group were lower (P <0.05).</p><p><strong>Conclusions: </strong>Combining Baoyuan and Taohong Siwu decoctions and Western medicine treatment can help improve the symptoms and signs of coronary heart disease in the elderly. It can reduce the levels of various indicators such as LDL-C, TG, TC, and HDL-C in the body and promote the improvement of cardiac function.</p>\",\"PeriodicalId\":16175,\"journal\":{\"name\":\"Journal of Medical Biochemistry\",\"volume\":\"44 5\",\"pages\":\"985-993\"},\"PeriodicalIF\":1.5000,\"publicationDate\":\"2025-08-21\",\"publicationTypes\":\"Journal Article\",\"fieldsOfStudy\":null,\"isOpenAccess\":false,\"openAccessPdf\":\"https://www.ncbi.nlm.nih.gov/pmc/articles/PMC12433299/pdf/\",\"citationCount\":\"0\",\"resultStr\":null,\"platform\":\"Semanticscholar\",\"paperid\":null,\"PeriodicalName\":\"Journal of Medical Biochemistry\",\"FirstCategoryId\":\"3\",\"ListUrlMain\":\"https://doi.org/10.5937/jomb0-52017\",\"RegionNum\":4,\"RegionCategory\":\"医学\",\"ArticlePicture\":[],\"TitleCN\":null,\"AbstractTextCN\":null,\"PMCID\":null,\"EPubDate\":\"\",\"PubModel\":\"\",\"JCR\":\"Q4\",\"JCRName\":\"BIOCHEMISTRY & MOLECULAR BIOLOGY\",\"Score\":null,\"Total\":0}","platform":"Semanticscholar","paperid":null,"PeriodicalName":"Journal of Medical Biochemistry","FirstCategoryId":"3","ListUrlMain":"https://doi.org/10.5937/jomb0-52017","RegionNum":4,"RegionCategory":"医学","ArticlePicture":[],"TitleCN":null,"AbstractTextCN":null,"PMCID":null,"EPubDate":"","PubModel":"","JCR":"Q4","JCRName":"BIOCHEMISTRY & MOLECULAR BIOLOGY","Score":null,"Total":0}
引用次数: 0

摘要

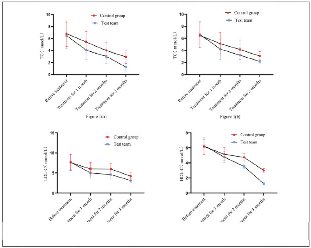
背景:探讨保元、桃红四物煎剂联合西药对老年冠心病患者甘油三酯(TG)、总胆固醇(TC)、低密度脂蛋白胆固醇(LDL-C)、高密度脂蛋白胆固醇(HDL-C)的影响。方法:选择2021年1月~ 2022年12月住院的老年冠心病患者90例,根据治疗方法不同分为两组,每组45例。对照组患者单用西药治疗,研究组患者在对照组的基础上加用宝元、桃红四物煎剂治疗。比较两组患者治疗前、治疗1个月、治疗2个月、治疗3个月中医症状评分、各项血脂水平及心功能血清指标的改善情况。结果:治疗前,两组患者中医症状评分、血脂水平及心功能各项血清指标相同(P < 0.05)。治疗1个月、2个月、3个月后,研究组胸痛、胸闷、疲劳、出汗评分均低于对照组(P< 0.05)。研究组TG、TC、LDL-C、HDL-C水平均低于对照组(P< 0.05)。研究组患者血浆n端脑利钠肽(NT-proBNP)、单核细胞趋化蛋白-1 (MCP-1)水平较对照组低(P)。结论:保元桃红四物煎剂配合西药治疗可改善老年冠心病的症状和体征。可降低体内LDL-C、TG、TC、HDL-C等各项指标水平,促进心功能改善。
本文章由计算机程序翻译,如有差异,请以英文原文为准。

Influence of Baoyuan decoction and Taohong Siwu decoction combined with Western medicine on serum lipid levels in elderly patients with coronary heart disease.

Influence of Baoyuan decoction and Taohong Siwu decoction combined with Western medicine on serum lipid levels in elderly patients with coronary heart disease.

Influence of Baoyuan decoction and Taohong Siwu decoction combined with Western medicine on serum lipid levels in elderly patients with coronary heart disease.

Background: To explore how Baoyuan and Taohong Siwu decoctions combined with Western medicine affect triglycerides (TG), total cholesterol (TC), low-density lipoprotein cholesterol (LDL-C), and high-density lipoprotein cholesterol (HDL-C) in elderly patients with coronary heart disease.

Methods: Ninety elderly patients with coronary heart disease who were hospitalized from January 2021 to December 2022 were selected and divided into two groups based on different treatment methods, with 45 patients in each group. The control group was treated with Western medicine alone, while the research group was treated with the combination of Baoyuan and Taohong Siwu decoctions based on the control group. The improvement of traditional Chinese medicine symptom scores, various blood lipid levels, and serum indicators of cardiac function were compared between two groups before treatment, 1 month, 2 months, and 3 months of treatment.

Results: Before treatment, the two groups had identical Traditional Chinese Medicine symptom scores, various blood lipid levels, and various serum indicators of cardiac function (P> 0.05). After treating 1 month, 2 months, and 3 months, the chest pain, tightness, fatigue, and sweating scores in the research group were lower (P< 0.05). The TG, TC, LDL-C, and HDL-C levels in the research group were lower (P< 0.05). The levels of plasma N-terminal brain natriuretic peptide (NT-proBNP) and monocyte chemoattractant protein-1 (MCP-1) in the research group were lower (P <0.05).

Conclusions: Combining Baoyuan and Taohong Siwu decoctions and Western medicine treatment can help improve the symptoms and signs of coronary heart disease in the elderly. It can reduce the levels of various indicators such as LDL-C, TG, TC, and HDL-C in the body and promote the improvement of cardiac function.

求助全文
通过发布文献求助,成功后即可免费获取论文全文。 去求助
来源期刊
Journal of Medical Biochemistry
Journal of Medical Biochemistry BIOCHEMISTRY & MOLECULAR BIOLOGY-
CiteScore
3.00
自引率
12.00%
发文量
60
审稿时长
>12 weeks
期刊介绍: The JOURNAL OF MEDICAL BIOCHEMISTRY (J MED BIOCHEM) is the official journal of the Society of Medical Biochemists of Serbia with international peer-review. Papers are independently reviewed by at least two reviewers selected by the Editors as Blind Peer Reviews. The Journal of Medical Biochemistry is published quarterly. The Journal publishes original scientific and specialized articles on all aspects of clinical and medical biochemistry, molecular medicine, clinical hematology and coagulation, clinical immunology and autoimmunity, clinical microbiology, virology, clinical genomics and molecular biology, genetic epidemiology, drug measurement, evaluation of diagnostic markers, new reagents and laboratory equipment, reference materials and methods, reference values, laboratory organization, automation, quality control, clinical metrology, all related scientific disciplines where chemistry, biochemistry, molecular biology and immunochemistry deal with the study of normal and pathologic processes in human beings.
×
引用
GB/T 7714-2015
复制
MLA
复制
APA
复制
导出至
BibTeX EndNote RefMan NoteFirst NoteExpress
×
提示
您的信息不完整,为了账户安全,请先补充。
现在去补充
×
提示
您因"违规操作"
具体请查看互助需知
我知道了
×
提示
确定
请完成安全验证×
copy
已复制链接
快去分享给好友吧!
我知道了
右上角分享
点击右上角分享
0
联系我们:info@booksci.cn Book学术提供免费学术资源搜索服务,方便国内外学者检索中英文文献。致力于提供最便捷和优质的服务体验。 Copyright © 2023 布克学术 All rights reserved.
京ICP备2023020795号-1
ghs 京公网安备 11010802042870号
Book学术文献互助
Book学术文献互助群
群 号:604180095
Book学术官方微信