继发性甲状旁腺功能亢进患者术后血清钙、磷、iPTH、CRP、IL-6和TNF-p水平的变化。

IF 1.5 4区 医学 Q4 BIOCHEMISTRY & MOLECULAR BIOLOGY
Wenjing Feng, Runtao Xu, Jinghui Mu, Li Jie, Mingjing Cheng
{"title":"继发性甲状旁腺功能亢进患者术后血清钙、磷、iPTH、CRP、IL-6和TNF-p水平的变化。","authors":"Wenjing Feng, Runtao Xu, Jinghui Mu, Li Jie, Mingjing Cheng","doi":"10.5937/jomb0-55372","DOIUrl":null,"url":null,"abstract":"<p><strong>Background: </strong>This study investigates the impact of food structure intervention based on the fast-track surgery (FTS) concept on the postoperative nutritional status, immune response, and recovery outcomes of patients with secondary hyperparathyroidism (SHPT). Specifically, it explores changes in serum calcium and phosphorus levels, immune-reactive parathyroid hormone (iPTH), inflammatory markers (CRf) IL-6, TNF-P), and rehabilitation outcomes following surgical intervention.</p><p><strong>Methods: </strong>Fifty SHPT patients who underwent surgery at the Third Hospital of Hebei Medical University were randomly divided into two groups: a control group (CG) receiving conventional nursing care and an observation group (OG) receiving food structure intervention based on the FTS concept. Preand postoperative comparisons were made for nutritional indicators (hemoglobin, albumin), biochemical markers (calcium, phosphorus, calcium-phosphorus product, iPTH), inflammatory markers (CRF) IL-6, TNF-P), pain levels (Visual Analog Scale), muscle strength (MRC scale), and postoperative complications.</p><p><strong>Results: </strong>The OG showed significantly improved nutritional status, with higher hemoglobin and albumin levels compared to the CG. Additionally, blood calcium levels and calcium-phosphorus product were significantly elevated, while blood phosphorus and iPTH levels were reduced in the OG. Inflammatory markers (CRf) IL-6, TNF-P) were significantly lower in the OG. Pain scores (VAS) were lower, muscle strength (MRC) was higher, and the incidence of complications was significantly reduced in the OG compared to the CG.</p><p><strong>Conclusions: </strong>Food structure intervention based on the FTS concept enhances nutritional status, improves mineral metabolism, reduces postoperative inflammation, and accelerates recovery in SHPT patients. This study supports the implementation of FTS principles in perioperative care to improve outcomes and reduce complications for SHPT patients, offering valuable insights for optimising clinical management and nursing practices in this patient population.</p>","PeriodicalId":16175,"journal":{"name":"Journal of Medical Biochemistry","volume":"44 5","pages":"1083-1092"},"PeriodicalIF":1.5000,"publicationDate":"2025-08-21","publicationTypes":"Journal Article","fieldsOfStudy":null,"isOpenAccess":false,"openAccessPdf":"https://www.ncbi.nlm.nih.gov/pmc/articles/PMC12433303/pdf/","citationCount":"0","resultStr":"{\"title\":\"Postoperative serum changes in calcium, phosphorus, iPTH, CRP, IL-6, and TNF-p levels in patients with secondary hyperparathyroidism.\",\"authors\":\"Wenjing Feng, Runtao Xu, Jinghui Mu, Li Jie, Mingjing Cheng\",\"doi\":\"10.5937/jomb0-55372\",\"DOIUrl\":null,\"url\":null,\"abstract\":\"<p><strong>Background: </strong>This study investigates the impact of food structure intervention based on the fast-track surgery (FTS) concept on the postoperative nutritional status, immune response, and recovery outcomes of patients with secondary hyperparathyroidism (SHPT). Specifically, it explores changes in serum calcium and phosphorus levels, immune-reactive parathyroid hormone (iPTH), inflammatory markers (CRf) IL-6, TNF-P), and rehabilitation outcomes following surgical intervention.</p><p><strong>Methods: </strong>Fifty SHPT patients who underwent surgery at the Third Hospital of Hebei Medical University were randomly divided into two groups: a control group (CG) receiving conventional nursing care and an observation group (OG) receiving food structure intervention based on the FTS concept. Preand postoperative comparisons were made for nutritional indicators (hemoglobin, albumin), biochemical markers (calcium, phosphorus, calcium-phosphorus product, iPTH), inflammatory markers (CRF) IL-6, TNF-P), pain levels (Visual Analog Scale), muscle strength (MRC scale), and postoperative complications.</p><p><strong>Results: </strong>The OG showed significantly improved nutritional status, with higher hemoglobin and albumin levels compared to the CG. Additionally, blood calcium levels and calcium-phosphorus product were significantly elevated, while blood phosphorus and iPTH levels were reduced in the OG. Inflammatory markers (CRf) IL-6, TNF-P) were significantly lower in the OG. Pain scores (VAS) were lower, muscle strength (MRC) was higher, and the incidence of complications was significantly reduced in the OG compared to the CG.</p><p><strong>Conclusions: </strong>Food structure intervention based on the FTS concept enhances nutritional status, improves mineral metabolism, reduces postoperative inflammation, and accelerates recovery in SHPT patients. This study supports the implementation of FTS principles in perioperative care to improve outcomes and reduce complications for SHPT patients, offering valuable insights for optimising clinical management and nursing practices in this patient population.</p>\",\"PeriodicalId\":16175,\"journal\":{\"name\":\"Journal of Medical Biochemistry\",\"volume\":\"44 5\",\"pages\":\"1083-1092\"},\"PeriodicalIF\":1.5000,\"publicationDate\":\"2025-08-21\",\"publicationTypes\":\"Journal Article\",\"fieldsOfStudy\":null,\"isOpenAccess\":false,\"openAccessPdf\":\"https://www.ncbi.nlm.nih.gov/pmc/articles/PMC12433303/pdf/\",\"citationCount\":\"0\",\"resultStr\":null,\"platform\":\"Semanticscholar\",\"paperid\":null,\"PeriodicalName\":\"Journal of Medical Biochemistry\",\"FirstCategoryId\":\"3\",\"ListUrlMain\":\"https://doi.org/10.5937/jomb0-55372\",\"RegionNum\":4,\"RegionCategory\":\"医学\",\"ArticlePicture\":[],\"TitleCN\":null,\"AbstractTextCN\":null,\"PMCID\":null,\"EPubDate\":\"\",\"PubModel\":\"\",\"JCR\":\"Q4\",\"JCRName\":\"BIOCHEMISTRY & MOLECULAR BIOLOGY\",\"Score\":null,\"Total\":0}","platform":"Semanticscholar","paperid":null,"PeriodicalName":"Journal of Medical Biochemistry","FirstCategoryId":"3","ListUrlMain":"https://doi.org/10.5937/jomb0-55372","RegionNum":4,"RegionCategory":"医学","ArticlePicture":[],"TitleCN":null,"AbstractTextCN":null,"PMCID":null,"EPubDate":"","PubModel":"","JCR":"Q4","JCRName":"BIOCHEMISTRY & MOLECULAR BIOLOGY","Score":null,"Total":0}
引用次数: 0

摘要

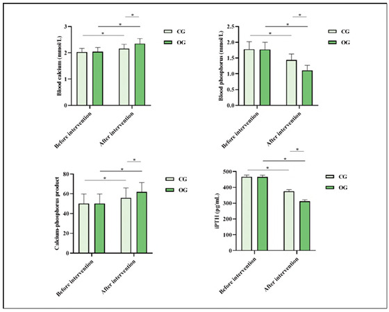
背景:本研究探讨基于快速通道手术(FTS)概念的食物结构干预对继发性甲状旁腺功能亢进(SHPT)患者术后营养状况、免疫反应和恢复结果的影响。具体来说,它探讨了手术干预后血清钙和磷水平、免疫反应性甲状旁腺激素(iPTH)、炎症标志物(CRf) IL-6、TNF-P)和康复结果的变化。方法:将50例在河北医科大学第三医院行手术治疗的SHPT患者随机分为两组:对照组(CG)给予常规护理,观察组(OG)给予基于FTS概念的食物结构干预。术前和术后比较营养指标(血红蛋白、白蛋白)、生化指标(钙、磷、钙-磷产物、iPTH)、炎症指标(CRF)、IL-6、TNF-P)、疼痛水平(视觉模拟量表)、肌肉力量(MRC量表)和术后并发症。结果:OG组营养状况明显改善,血红蛋白和白蛋白水平高于CG组。此外,血钙和钙磷产物显著升高,血磷和iPTH水平降低。炎症标志物(CRf)、IL-6、TNF-P在OG组显著降低。与CG组相比,OG组疼痛评分(VAS)较低,肌肉力量(MRC)较高,并发症发生率明显降低。结论:基于FTS概念的食物结构干预可改善SHPT患者的营养状况,改善矿物质代谢,减少术后炎症,加速恢复。本研究支持FTS原则在SHPT患者围手术期护理中的实施,以改善预后并减少并发症,为优化该患者群体的临床管理和护理实践提供有价值的见解。
本文章由计算机程序翻译,如有差异,请以英文原文为准。

Postoperative serum changes in calcium, phosphorus, iPTH, CRP, IL-6, and TNF-p levels in patients with secondary hyperparathyroidism.

Postoperative serum changes in calcium, phosphorus, iPTH, CRP, IL-6, and TNF-p levels in patients with secondary hyperparathyroidism.

Postoperative serum changes in calcium, phosphorus, iPTH, CRP, IL-6, and TNF-p levels in patients with secondary hyperparathyroidism.

Postoperative serum changes in calcium, phosphorus, iPTH, CRP, IL-6, and TNF-p levels in patients with secondary hyperparathyroidism.

Background: This study investigates the impact of food structure intervention based on the fast-track surgery (FTS) concept on the postoperative nutritional status, immune response, and recovery outcomes of patients with secondary hyperparathyroidism (SHPT). Specifically, it explores changes in serum calcium and phosphorus levels, immune-reactive parathyroid hormone (iPTH), inflammatory markers (CRf) IL-6, TNF-P), and rehabilitation outcomes following surgical intervention.

Methods: Fifty SHPT patients who underwent surgery at the Third Hospital of Hebei Medical University were randomly divided into two groups: a control group (CG) receiving conventional nursing care and an observation group (OG) receiving food structure intervention based on the FTS concept. Preand postoperative comparisons were made for nutritional indicators (hemoglobin, albumin), biochemical markers (calcium, phosphorus, calcium-phosphorus product, iPTH), inflammatory markers (CRF) IL-6, TNF-P), pain levels (Visual Analog Scale), muscle strength (MRC scale), and postoperative complications.

Results: The OG showed significantly improved nutritional status, with higher hemoglobin and albumin levels compared to the CG. Additionally, blood calcium levels and calcium-phosphorus product were significantly elevated, while blood phosphorus and iPTH levels were reduced in the OG. Inflammatory markers (CRf) IL-6, TNF-P) were significantly lower in the OG. Pain scores (VAS) were lower, muscle strength (MRC) was higher, and the incidence of complications was significantly reduced in the OG compared to the CG.

Conclusions: Food structure intervention based on the FTS concept enhances nutritional status, improves mineral metabolism, reduces postoperative inflammation, and accelerates recovery in SHPT patients. This study supports the implementation of FTS principles in perioperative care to improve outcomes and reduce complications for SHPT patients, offering valuable insights for optimising clinical management and nursing practices in this patient population.

求助全文
通过发布文献求助,成功后即可免费获取论文全文。 去求助
来源期刊
Journal of Medical Biochemistry
Journal of Medical Biochemistry BIOCHEMISTRY & MOLECULAR BIOLOGY-
CiteScore
3.00
自引率
12.00%
发文量
60
审稿时长
>12 weeks
期刊介绍: The JOURNAL OF MEDICAL BIOCHEMISTRY (J MED BIOCHEM) is the official journal of the Society of Medical Biochemists of Serbia with international peer-review. Papers are independently reviewed by at least two reviewers selected by the Editors as Blind Peer Reviews. The Journal of Medical Biochemistry is published quarterly. The Journal publishes original scientific and specialized articles on all aspects of clinical and medical biochemistry, molecular medicine, clinical hematology and coagulation, clinical immunology and autoimmunity, clinical microbiology, virology, clinical genomics and molecular biology, genetic epidemiology, drug measurement, evaluation of diagnostic markers, new reagents and laboratory equipment, reference materials and methods, reference values, laboratory organization, automation, quality control, clinical metrology, all related scientific disciplines where chemistry, biochemistry, molecular biology and immunochemistry deal with the study of normal and pathologic processes in human beings.
×
引用
GB/T 7714-2015
复制
MLA
复制
APA
复制
导出至
BibTeX EndNote RefMan NoteFirst NoteExpress
×
提示
您的信息不完整,为了账户安全,请先补充。
现在去补充
×
提示
您因"违规操作"
具体请查看互助需知
我知道了
×
提示
确定
请完成安全验证×
copy
已复制链接
快去分享给好友吧!
我知道了
右上角分享
点击右上角分享
0
联系我们:info@booksci.cn Book学术提供免费学术资源搜索服务,方便国内外学者检索中英文文献。致力于提供最便捷和优质的服务体验。 Copyright © 2023 布克学术 All rights reserved.
京ICP备2023020795号-1
ghs 京公网安备 11010802042870号
Book学术文献互助
Book学术文献互助群
群 号:604180095
Book学术官方微信