坚持健康习惯对癌症幸存者生活质量的影响:乌拉圭的一项研究。

IF 1.3 Q4 ONCOLOGY
ecancermedicalscience Pub Date : 2025-07-11 eCollection Date: 2025-01-01 DOI:10.3332/ecancer.2025.1944
Natalia Camejo, Cecilia Castillo, Nicolas Ayala, Joaquin Manzanares, Gianina Muñoz, Lujan Cabrera, Dahiana Amarillo, María Guerrina, Guadalupe Herrera, Carolina Dörner, Gabriel Krygier
{"title":"坚持健康习惯对癌症幸存者生活质量的影响:乌拉圭的一项研究。","authors":"Natalia Camejo, Cecilia Castillo, Nicolas Ayala, Joaquin Manzanares, Gianina Muñoz, Lujan Cabrera, Dahiana Amarillo, María Guerrina, Guadalupe Herrera, Carolina Dörner, Gabriel Krygier","doi":"10.3332/ecancer.2025.1944","DOIUrl":null,"url":null,"abstract":"<p><strong>Introduction: </strong>Healthy habits such as regular physical activity, a balanced diet and tobacco abstinence are associated with better health-related quality of life (HRQoL) in cancer survivors. However, there is limited evidence on this relationship in Latin American countries, where socioeconomic and cultural factors may influence adherence to healthy behaviours.</p><p><strong>Objectives: </strong>To evaluate the relationship between adherence to healthy lifestyle recommendations and HRQoL in cancer survivors in Uruguay.</p><p><strong>Materials and methods: </strong>A cross-sectional study was conducted with 241 early-stage cancer survivors treated at two hospitals in Uruguay. Adherence to healthy habits was assessed using a questionnaire based on the American Cancer Society recommendations. HRQoL was measured using the RAND-36 questionnaire. Categorical variables were analysed using the chi-square test, while continuous variables were analysed using Student's t-test or the Mann-Whitney test. The correlation between SF-36 dimensions and healthy habits was assessed using Spearman's coefficient.</p><p><strong>Results: </strong>The median age was 66.7 years and 55.2% were women. The most common cancers were breast (31.1%), colorectal (28.2%) and prostate (26.6%). A total of 62.7% of participants adhered to three or more healthy habits. Adherent patients showed significantly higher HRQoL scores, particularly in physical function (62.68 versus 45.67, <i>p</i> < 0.001), energy/fatigue (64.83 versus 45.89, <i>p</i> < 0.001) and emotional well-being (69.43 versus 53.02, <i>p</i> < 0.001). Adherence to multiple healthy habits was significantly correlated with improvements in physical and mental domains, with energy/fatigue showing the strongest correlation (rs = 0.66, <i>p</i> < 0.001).</p><p><strong>Conclusion: </strong>Adherence to healthy habits has a cumulative positive impact on the HRQoL of cancer survivors. This study highlights the need to design comprehensive interventions to promote healthy behaviours in this population, contributing to the global evidence on cancer care and underscoring its importance in developing countries.</p>","PeriodicalId":11460,"journal":{"name":"ecancermedicalscience","volume":"19 ","pages":"1944"},"PeriodicalIF":1.3000,"publicationDate":"2025-07-11","publicationTypes":"Journal Article","fieldsOfStudy":null,"isOpenAccess":false,"openAccessPdf":"https://www.ncbi.nlm.nih.gov/pmc/articles/PMC12426495/pdf/","citationCount":"0","resultStr":"{\"title\":\"Impact of adherence to healthy habits on the quality of life of cancer survivors: a study from Uruguay.\",\"authors\":\"Natalia Camejo, Cecilia Castillo, Nicolas Ayala, Joaquin Manzanares, Gianina Muñoz, Lujan Cabrera, Dahiana Amarillo, María Guerrina, Guadalupe Herrera, Carolina Dörner, Gabriel Krygier\",\"doi\":\"10.3332/ecancer.2025.1944\",\"DOIUrl\":null,\"url\":null,\"abstract\":\"<p><strong>Introduction: </strong>Healthy habits such as regular physical activity, a balanced diet and tobacco abstinence are associated with better health-related quality of life (HRQoL) in cancer survivors. However, there is limited evidence on this relationship in Latin American countries, where socioeconomic and cultural factors may influence adherence to healthy behaviours.</p><p><strong>Objectives: </strong>To evaluate the relationship between adherence to healthy lifestyle recommendations and HRQoL in cancer survivors in Uruguay.</p><p><strong>Materials and methods: </strong>A cross-sectional study was conducted with 241 early-stage cancer survivors treated at two hospitals in Uruguay. Adherence to healthy habits was assessed using a questionnaire based on the American Cancer Society recommendations. HRQoL was measured using the RAND-36 questionnaire. Categorical variables were analysed using the chi-square test, while continuous variables were analysed using Student's t-test or the Mann-Whitney test. The correlation between SF-36 dimensions and healthy habits was assessed using Spearman's coefficient.</p><p><strong>Results: </strong>The median age was 66.7 years and 55.2% were women. The most common cancers were breast (31.1%), colorectal (28.2%) and prostate (26.6%). A total of 62.7% of participants adhered to three or more healthy habits. Adherent patients showed significantly higher HRQoL scores, particularly in physical function (62.68 versus 45.67, <i>p</i> < 0.001), energy/fatigue (64.83 versus 45.89, <i>p</i> < 0.001) and emotional well-being (69.43 versus 53.02, <i>p</i> < 0.001). Adherence to multiple healthy habits was significantly correlated with improvements in physical and mental domains, with energy/fatigue showing the strongest correlation (rs = 0.66, <i>p</i> < 0.001).</p><p><strong>Conclusion: </strong>Adherence to healthy habits has a cumulative positive impact on the HRQoL of cancer survivors. This study highlights the need to design comprehensive interventions to promote healthy behaviours in this population, contributing to the global evidence on cancer care and underscoring its importance in developing countries.</p>\",\"PeriodicalId\":11460,\"journal\":{\"name\":\"ecancermedicalscience\",\"volume\":\"19 \",\"pages\":\"1944\"},\"PeriodicalIF\":1.3000,\"publicationDate\":\"2025-07-11\",\"publicationTypes\":\"Journal Article\",\"fieldsOfStudy\":null,\"isOpenAccess\":false,\"openAccessPdf\":\"https://www.ncbi.nlm.nih.gov/pmc/articles/PMC12426495/pdf/\",\"citationCount\":\"0\",\"resultStr\":null,\"platform\":\"Semanticscholar\",\"paperid\":null,\"PeriodicalName\":\"ecancermedicalscience\",\"FirstCategoryId\":\"1085\",\"ListUrlMain\":\"https://doi.org/10.3332/ecancer.2025.1944\",\"RegionNum\":0,\"RegionCategory\":null,\"ArticlePicture\":[],\"TitleCN\":null,\"AbstractTextCN\":null,\"PMCID\":null,\"EPubDate\":\"2025/1/1 0:00:00\",\"PubModel\":\"eCollection\",\"JCR\":\"Q4\",\"JCRName\":\"ONCOLOGY\",\"Score\":null,\"Total\":0}","platform":"Semanticscholar","paperid":null,"PeriodicalName":"ecancermedicalscience","FirstCategoryId":"1085","ListUrlMain":"https://doi.org/10.3332/ecancer.2025.1944","RegionNum":0,"RegionCategory":null,"ArticlePicture":[],"TitleCN":null,"AbstractTextCN":null,"PMCID":null,"EPubDate":"2025/1/1 0:00:00","PubModel":"eCollection","JCR":"Q4","JCRName":"ONCOLOGY","Score":null,"Total":0}
引用次数: 0

摘要

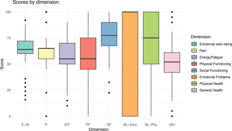
健康习惯,如规律的身体活动、均衡的饮食和戒烟与癌症幸存者更好的健康相关生活质量(HRQoL)相关。然而,在拉丁美洲国家,关于这种关系的证据有限,在这些国家,社会经济和文化因素可能影响对健康行为的坚持。目的:评估乌拉圭癌症幸存者坚持健康生活方式建议与HRQoL之间的关系。材料和方法:对在乌拉圭两家医院接受治疗的241名早期癌症幸存者进行了横断面研究。根据美国癌症协会的建议,使用问卷对健康习惯的坚持程度进行了评估。HRQoL采用RAND-36问卷测量。分类变量分析采用卡方检验,连续变量分析采用学生t检验或Mann-Whitney检验。SF-36维度与健康习惯的相关性采用Spearman系数进行评估。结果:中位年龄为66.7岁,女性占55.2%。最常见的癌症是乳腺癌(31.1%)、结直肠癌(28.2%)和前列腺癌(26.6%)。总共有62.7%的参与者坚持三个或更多的健康习惯。随访患者HRQoL评分明显高于对照组,特别是在身体功能(62.68比45.67,p < 0.001)、精力/疲劳(64.83比45.89,p < 0.001)和情绪健康(69.43比53.02,p < 0.001)方面。坚持多种健康习惯与身体和精神领域的改善显著相关,其中能量/疲劳表现出最强的相关性(rs = 0.66, p < 0.001)。结论:坚持健康的生活习惯对癌症幸存者的HRQoL有累积的积极影响。这项研究强调需要设计全面的干预措施,以促进这一人群的健康行为,为癌症护理的全球证据做出贡献,并强调其在发展中国家的重要性。
本文章由计算机程序翻译,如有差异,请以英文原文为准。

Impact of adherence to healthy habits on the quality of life of cancer survivors: a study from Uruguay.

Impact of adherence to healthy habits on the quality of life of cancer survivors: a study from Uruguay.

Introduction: Healthy habits such as regular physical activity, a balanced diet and tobacco abstinence are associated with better health-related quality of life (HRQoL) in cancer survivors. However, there is limited evidence on this relationship in Latin American countries, where socioeconomic and cultural factors may influence adherence to healthy behaviours.

Objectives: To evaluate the relationship between adherence to healthy lifestyle recommendations and HRQoL in cancer survivors in Uruguay.

Materials and methods: A cross-sectional study was conducted with 241 early-stage cancer survivors treated at two hospitals in Uruguay. Adherence to healthy habits was assessed using a questionnaire based on the American Cancer Society recommendations. HRQoL was measured using the RAND-36 questionnaire. Categorical variables were analysed using the chi-square test, while continuous variables were analysed using Student's t-test or the Mann-Whitney test. The correlation between SF-36 dimensions and healthy habits was assessed using Spearman's coefficient.

Results: The median age was 66.7 years and 55.2% were women. The most common cancers were breast (31.1%), colorectal (28.2%) and prostate (26.6%). A total of 62.7% of participants adhered to three or more healthy habits. Adherent patients showed significantly higher HRQoL scores, particularly in physical function (62.68 versus 45.67, p < 0.001), energy/fatigue (64.83 versus 45.89, p < 0.001) and emotional well-being (69.43 versus 53.02, p < 0.001). Adherence to multiple healthy habits was significantly correlated with improvements in physical and mental domains, with energy/fatigue showing the strongest correlation (rs = 0.66, p < 0.001).

Conclusion: Adherence to healthy habits has a cumulative positive impact on the HRQoL of cancer survivors. This study highlights the need to design comprehensive interventions to promote healthy behaviours in this population, contributing to the global evidence on cancer care and underscoring its importance in developing countries.

求助全文
通过发布文献求助,成功后即可免费获取论文全文。 去求助
来源期刊
CiteScore
3.80
自引率
5.60%
发文量
138
审稿时长
27 weeks
×
引用
GB/T 7714-2015
复制
MLA
复制
APA
复制
导出至
BibTeX EndNote RefMan NoteFirst NoteExpress
×
提示
您的信息不完整,为了账户安全,请先补充。
现在去补充
×
提示
您因"违规操作"
具体请查看互助需知
我知道了
×
提示
确定
请完成安全验证×
copy
已复制链接
快去分享给好友吧!
我知道了
右上角分享
点击右上角分享
0
联系我们:info@booksci.cn Book学术提供免费学术资源搜索服务,方便国内外学者检索中英文文献。致力于提供最便捷和优质的服务体验。 Copyright © 2023 布克学术 All rights reserved.
京ICP备2023020795号-1
ghs 京公网安备 11010802042870号
Book学术文献互助
Book学术文献互助群
群 号:604180095
Book学术官方微信