红辣椒科辣椒皂苷、桃甾醇和三萜酯β-谷甾醇3-肉豆蔻酸酯的抗炎镇痛活性及其与TRPV1离子通道转运体的相互作用

IF 3.4 Q2 BIOCHEMICAL RESEARCH METHODS
Biochemistry Research International Pub Date : 2025-09-04 eCollection Date: 2025-01-01 DOI:10.1155/bri/2621242
Emmanuel Kofi Kumatia, Nguyen Huu Tung, Alex Asase
{"title":"红辣椒科辣椒皂苷、桃甾醇和三萜酯β-谷甾醇3-肉豆蔻酸酯的抗炎镇痛活性及其与TRPV1离子通道转运体的相互作用","authors":"Emmanuel Kofi Kumatia, Nguyen Huu Tung, Alex Asase","doi":"10.1155/bri/2621242","DOIUrl":null,"url":null,"abstract":"<p><p><i>Capparis erythrocarpos</i> is a medicinal plant traditionally used as an antiarthritic, anti-inflammatory, and analgesic agent. However, no previous reports exist on the analgesic and acute anti-inflammatory activities of the individual chemical constituents from this plant. This study reports the isolation, characterization, and evaluation of analgesic and acute anti-inflammatory activities of chemical constituents from the root bark of <i>C. erythrocarpos</i>, including their modulatory effects on TRPV1 ion channel activity. The isolated compounds were characterized as daucosterol (DC) and <i>β</i>-sitosterol 3-myristate (SM) using NMR and LC/GC-MS. DC significantly (<i>p</i> < 0.05) inhibited both phases of carrageenan-induced edema in a reverse dose-dependent manner, demonstrating 58.38% anti-inflammatory activity at 2 mg/kg p.o., comparable to diclofenac sodium (DS) at 8 mg/kg p.o. (53.07%). SM inhibited only phase 2 of carrageenan-induced edema. Both compounds significantly inhibited cold-induced pain with superior analgesic activity compared to DS. Against inflammation-induced pain, DC showed the highest analgesic activity (47.37% at 2 mg/kg p.o.). Molecular docking studies revealed that DC and SM produced ΔG values of -10.60 and -9.80 kcal/mol, respectively, which are more negative than those of DS (-8.6 kcal/mol), suggesting that they might be superior TRPV1 ion channel inhibitors and that DS likely has additional mechanisms of action. These results demonstrate that DC and SM possess remarkable therapeutic properties, warranting further exploration for novel drug development.</p>","PeriodicalId":8826,"journal":{"name":"Biochemistry Research International","volume":"2025 ","pages":"2621242"},"PeriodicalIF":3.4000,"publicationDate":"2025-09-04","publicationTypes":"Journal Article","fieldsOfStudy":null,"isOpenAccess":false,"openAccessPdf":"https://www.ncbi.nlm.nih.gov/pmc/articles/PMC12425617/pdf/","citationCount":"0","resultStr":"{\"title\":\"Anti-Inflammatory and Analgesic Activities of the Saponin, Daucosterol, and the Triterpenoid Ester, <i>β</i>-Sitosterol 3-Myristate, From <i>Capparis erythrocarpos</i> (Isert) Capparaceae, and Their Interaction With the TRPV1 Ion Channel Transporter.\",\"authors\":\"Emmanuel Kofi Kumatia, Nguyen Huu Tung, Alex Asase\",\"doi\":\"10.1155/bri/2621242\",\"DOIUrl\":null,\"url\":null,\"abstract\":\"<p><p><i>Capparis erythrocarpos</i> is a medicinal plant traditionally used as an antiarthritic, anti-inflammatory, and analgesic agent. However, no previous reports exist on the analgesic and acute anti-inflammatory activities of the individual chemical constituents from this plant. This study reports the isolation, characterization, and evaluation of analgesic and acute anti-inflammatory activities of chemical constituents from the root bark of <i>C. erythrocarpos</i>, including their modulatory effects on TRPV1 ion channel activity. The isolated compounds were characterized as daucosterol (DC) and <i>β</i>-sitosterol 3-myristate (SM) using NMR and LC/GC-MS. DC significantly (<i>p</i> < 0.05) inhibited both phases of carrageenan-induced edema in a reverse dose-dependent manner, demonstrating 58.38% anti-inflammatory activity at 2 mg/kg p.o., comparable to diclofenac sodium (DS) at 8 mg/kg p.o. (53.07%). SM inhibited only phase 2 of carrageenan-induced edema. Both compounds significantly inhibited cold-induced pain with superior analgesic activity compared to DS. Against inflammation-induced pain, DC showed the highest analgesic activity (47.37% at 2 mg/kg p.o.). Molecular docking studies revealed that DC and SM produced ΔG values of -10.60 and -9.80 kcal/mol, respectively, which are more negative than those of DS (-8.6 kcal/mol), suggesting that they might be superior TRPV1 ion channel inhibitors and that DS likely has additional mechanisms of action. These results demonstrate that DC and SM possess remarkable therapeutic properties, warranting further exploration for novel drug development.</p>\",\"PeriodicalId\":8826,\"journal\":{\"name\":\"Biochemistry Research International\",\"volume\":\"2025 \",\"pages\":\"2621242\"},\"PeriodicalIF\":3.4000,\"publicationDate\":\"2025-09-04\",\"publicationTypes\":\"Journal Article\",\"fieldsOfStudy\":null,\"isOpenAccess\":false,\"openAccessPdf\":\"https://www.ncbi.nlm.nih.gov/pmc/articles/PMC12425617/pdf/\",\"citationCount\":\"0\",\"resultStr\":null,\"platform\":\"Semanticscholar\",\"paperid\":null,\"PeriodicalName\":\"Biochemistry Research International\",\"FirstCategoryId\":\"1085\",\"ListUrlMain\":\"https://doi.org/10.1155/bri/2621242\",\"RegionNum\":0,\"RegionCategory\":null,\"ArticlePicture\":[],\"TitleCN\":null,\"AbstractTextCN\":null,\"PMCID\":null,\"EPubDate\":\"2025/1/1 0:00:00\",\"PubModel\":\"eCollection\",\"JCR\":\"Q2\",\"JCRName\":\"BIOCHEMICAL RESEARCH METHODS\",\"Score\":null,\"Total\":0}","platform":"Semanticscholar","paperid":null,"PeriodicalName":"Biochemistry Research International","FirstCategoryId":"1085","ListUrlMain":"https://doi.org/10.1155/bri/2621242","RegionNum":0,"RegionCategory":null,"ArticlePicture":[],"TitleCN":null,"AbstractTextCN":null,"PMCID":null,"EPubDate":"2025/1/1 0:00:00","PubModel":"eCollection","JCR":"Q2","JCRName":"BIOCHEMICAL RESEARCH METHODS","Score":null,"Total":0}
引用次数: 0

摘要

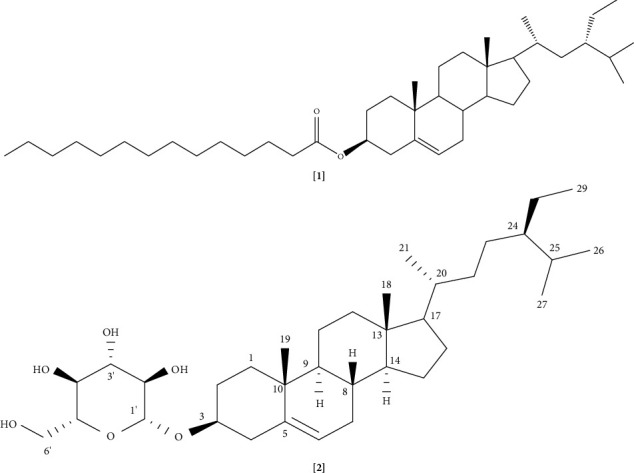
红卡普是一种药用植物,传统上用作抗关节炎、抗炎和镇痛剂。然而,关于这种植物的单个化学成分的镇痛和急性抗炎活性,以前没有报道。本研究报道了红卡柏根皮中化学成分的分离、表征和镇痛和急性抗炎活性的评价,包括它们对TRPV1离子通道活性的调节作用。通过核磁共振、LC/GC-MS等手段对分离得到的化合物进行了结构表征,分别为二甾醇(daucosterol, DC)和β-谷甾醇3-肉豆蔻酸酯(β-谷甾醇3-肉豆蔻酸酯)。DC显著(p < 0.05)抑制卡拉胶诱导的两期水肿,呈反向剂量依赖性,2 mg/kg p.o时抗炎活性为58.38%,与双氯芬酸钠(DS) 8 mg/kg p.o时的抗炎活性(53.07%)相当。SM仅抑制卡拉胶诱导的第2期水肿。与DS相比,这两种化合物都能显著抑制冷致疼痛,具有优越的镇痛活性。对炎症性疼痛,DC在2 mg/kg p.o时表现出最高的镇痛活性(47.37%)。分子对接研究显示,DC和SM产生的ΔG值分别为-10.60和-9.80 kcal/mol,比DS (-8.6 kcal/mol)的负性更强,表明它们可能是较好的TRPV1离子通道抑制剂,DS可能有其他作用机制。这些结果表明,DC和SM具有显著的治疗特性,值得进一步探索新的药物开发。
本文章由计算机程序翻译,如有差异,请以英文原文为准。

Anti-Inflammatory and Analgesic Activities of the Saponin, Daucosterol, and the Triterpenoid Ester, <i>β</i>-Sitosterol 3-Myristate, From <i>Capparis erythrocarpos</i> (Isert) Capparaceae, and Their Interaction With the TRPV1 Ion Channel Transporter.

Anti-Inflammatory and Analgesic Activities of the Saponin, Daucosterol, and the Triterpenoid Ester, <i>β</i>-Sitosterol 3-Myristate, From <i>Capparis erythrocarpos</i> (Isert) Capparaceae, and Their Interaction With the TRPV1 Ion Channel Transporter.

Anti-Inflammatory and Analgesic Activities of the Saponin, Daucosterol, and the Triterpenoid Ester, <i>β</i>-Sitosterol 3-Myristate, From <i>Capparis erythrocarpos</i> (Isert) Capparaceae, and Their Interaction With the TRPV1 Ion Channel Transporter.

Anti-Inflammatory and Analgesic Activities of the Saponin, Daucosterol, and the Triterpenoid Ester, β-Sitosterol 3-Myristate, From Capparis erythrocarpos (Isert) Capparaceae, and Their Interaction With the TRPV1 Ion Channel Transporter.

Capparis erythrocarpos is a medicinal plant traditionally used as an antiarthritic, anti-inflammatory, and analgesic agent. However, no previous reports exist on the analgesic and acute anti-inflammatory activities of the individual chemical constituents from this plant. This study reports the isolation, characterization, and evaluation of analgesic and acute anti-inflammatory activities of chemical constituents from the root bark of C. erythrocarpos, including their modulatory effects on TRPV1 ion channel activity. The isolated compounds were characterized as daucosterol (DC) and β-sitosterol 3-myristate (SM) using NMR and LC/GC-MS. DC significantly (p < 0.05) inhibited both phases of carrageenan-induced edema in a reverse dose-dependent manner, demonstrating 58.38% anti-inflammatory activity at 2 mg/kg p.o., comparable to diclofenac sodium (DS) at 8 mg/kg p.o. (53.07%). SM inhibited only phase 2 of carrageenan-induced edema. Both compounds significantly inhibited cold-induced pain with superior analgesic activity compared to DS. Against inflammation-induced pain, DC showed the highest analgesic activity (47.37% at 2 mg/kg p.o.). Molecular docking studies revealed that DC and SM produced ΔG values of -10.60 and -9.80 kcal/mol, respectively, which are more negative than those of DS (-8.6 kcal/mol), suggesting that they might be superior TRPV1 ion channel inhibitors and that DS likely has additional mechanisms of action. These results demonstrate that DC and SM possess remarkable therapeutic properties, warranting further exploration for novel drug development.

求助全文
通过发布文献求助,成功后即可免费获取论文全文。 去求助
来源期刊
Biochemistry Research International
Biochemistry Research International BIOCHEMICAL RESEARCH METHODS-
CiteScore
6.30
自引率
0.00%
发文量
27
审稿时长
14 weeks
×
引用
GB/T 7714-2015
复制
MLA
复制
APA
复制
导出至
BibTeX EndNote RefMan NoteFirst NoteExpress
×
提示
您的信息不完整,为了账户安全,请先补充。
现在去补充
×
提示
您因"违规操作"
具体请查看互助需知
我知道了
×
提示
确定
请完成安全验证×
copy
已复制链接
快去分享给好友吧!
我知道了
右上角分享
点击右上角分享
0
联系我们:info@booksci.cn Book学术提供免费学术资源搜索服务,方便国内外学者检索中英文文献。致力于提供最便捷和优质的服务体验。 Copyright © 2023 布克学术 All rights reserved.
京ICP备2023020795号-1
ghs 京公网安备 11010802042870号
Book学术文献互助
Book学术文献互助群
群 号:604180095
Book学术官方微信