应用套索logistic回归建立125I近距离放疗头颈部肿瘤临床疗效预测模型。

IF 2.6 4区 医学 Q3 ONCOLOGY
Cancer Management and Research Pub Date : 2025-09-06 eCollection Date: 2025-01-01 DOI:10.2147/CMAR.S524335
Yun Liu, Lai Xu, Yakun Fang, Chao Yan
{"title":"应用套索logistic回归建立125I近距离放疗头颈部肿瘤临床疗效预测模型。","authors":"Yun Liu, Lai Xu, Yakun Fang, Chao Yan","doi":"10.2147/CMAR.S524335","DOIUrl":null,"url":null,"abstract":"<p><strong>Background: </strong>In view of the differences in the clinical efficacy of <sup>125</sup>I radioactive particle brachytherapy for head and neck tumors, this study aims to systematically analyze the key factors affecting its efficacy, and build a reliable prediction model to provide a scientific basis for clinical precise evaluation and personalized treatment plan formulation.</p><p><strong>Methods: </strong>Retrospective analysis of 174 patients (2020-2024) divided into training (n=122) and validation (n=52) sets. Efficacy was assessed using RECIST criteria. Lasso Logistic regression identified independent factors, and a nomogram model was constructed and evaluated.</p><p><strong>Results: </strong>The study confirmed that patients' age, tumor stage, tumor diameter, particle implantation dose and serum tumor marker level were independent factors affecting the clinical efficacy (<i>P</i><0.05). The nomogram prediction model has excellent performance, and the c-index values in the training set and the validation set are 0.867 and 0.725, respectively, showing good discrimination ability; The results of calibration curve showed that the predicted value was in good agreement with the actual value, and the average absolute errors of the two groups were 0.114 and 0.133, respectively; In Hosmer lemeshow test, the training set <i>χ<sup>2</sup></i> =7.422 (<i>P</i>=0.491), the validation set <i>χ<sup>2</sup></i> =12.086 (<i>P</i>=0.147), suggesting that the model fitting effect is ideal; The area under the ROC curve in the training set and the validation set was 0.860 (95% CI:0.767-0.953) and 0.750 (95% CI:0.501-0.999), respectively, which showed high sensitivity and specificity.</p><p><strong>Conclusion: </strong>The model effectively predicts <sup>125</sup>I brachytherapy outcomes, aiding clinical evaluation and supporting precision treatment for head and neck tumors.</p>","PeriodicalId":9479,"journal":{"name":"Cancer Management and Research","volume":"17 ","pages":"1911-1923"},"PeriodicalIF":2.6000,"publicationDate":"2025-09-06","publicationTypes":"Journal Article","fieldsOfStudy":null,"isOpenAccess":false,"openAccessPdf":"https://www.ncbi.nlm.nih.gov/pmc/articles/PMC12423257/pdf/","citationCount":"0","resultStr":"{\"title\":\"Predictive Modeling of Clinical Efficacy for <sup>125</sup>I Brachytherapy in Head and Neck Tumors Using Lasso-Logistic Regression.\",\"authors\":\"Yun Liu, Lai Xu, Yakun Fang, Chao Yan\",\"doi\":\"10.2147/CMAR.S524335\",\"DOIUrl\":null,\"url\":null,\"abstract\":\"<p><strong>Background: </strong>In view of the differences in the clinical efficacy of <sup>125</sup>I radioactive particle brachytherapy for head and neck tumors, this study aims to systematically analyze the key factors affecting its efficacy, and build a reliable prediction model to provide a scientific basis for clinical precise evaluation and personalized treatment plan formulation.</p><p><strong>Methods: </strong>Retrospective analysis of 174 patients (2020-2024) divided into training (n=122) and validation (n=52) sets. Efficacy was assessed using RECIST criteria. Lasso Logistic regression identified independent factors, and a nomogram model was constructed and evaluated.</p><p><strong>Results: </strong>The study confirmed that patients' age, tumor stage, tumor diameter, particle implantation dose and serum tumor marker level were independent factors affecting the clinical efficacy (<i>P</i><0.05). The nomogram prediction model has excellent performance, and the c-index values in the training set and the validation set are 0.867 and 0.725, respectively, showing good discrimination ability; The results of calibration curve showed that the predicted value was in good agreement with the actual value, and the average absolute errors of the two groups were 0.114 and 0.133, respectively; In Hosmer lemeshow test, the training set <i>χ<sup>2</sup></i> =7.422 (<i>P</i>=0.491), the validation set <i>χ<sup>2</sup></i> =12.086 (<i>P</i>=0.147), suggesting that the model fitting effect is ideal; The area under the ROC curve in the training set and the validation set was 0.860 (95% CI:0.767-0.953) and 0.750 (95% CI:0.501-0.999), respectively, which showed high sensitivity and specificity.</p><p><strong>Conclusion: </strong>The model effectively predicts <sup>125</sup>I brachytherapy outcomes, aiding clinical evaluation and supporting precision treatment for head and neck tumors.</p>\",\"PeriodicalId\":9479,\"journal\":{\"name\":\"Cancer Management and Research\",\"volume\":\"17 \",\"pages\":\"1911-1923\"},\"PeriodicalIF\":2.6000,\"publicationDate\":\"2025-09-06\",\"publicationTypes\":\"Journal Article\",\"fieldsOfStudy\":null,\"isOpenAccess\":false,\"openAccessPdf\":\"https://www.ncbi.nlm.nih.gov/pmc/articles/PMC12423257/pdf/\",\"citationCount\":\"0\",\"resultStr\":null,\"platform\":\"Semanticscholar\",\"paperid\":null,\"PeriodicalName\":\"Cancer Management and Research\",\"FirstCategoryId\":\"3\",\"ListUrlMain\":\"https://doi.org/10.2147/CMAR.S524335\",\"RegionNum\":4,\"RegionCategory\":\"医学\",\"ArticlePicture\":[],\"TitleCN\":null,\"AbstractTextCN\":null,\"PMCID\":null,\"EPubDate\":\"2025/1/1 0:00:00\",\"PubModel\":\"eCollection\",\"JCR\":\"Q3\",\"JCRName\":\"ONCOLOGY\",\"Score\":null,\"Total\":0}","platform":"Semanticscholar","paperid":null,"PeriodicalName":"Cancer Management and Research","FirstCategoryId":"3","ListUrlMain":"https://doi.org/10.2147/CMAR.S524335","RegionNum":4,"RegionCategory":"医学","ArticlePicture":[],"TitleCN":null,"AbstractTextCN":null,"PMCID":null,"EPubDate":"2025/1/1 0:00:00","PubModel":"eCollection","JCR":"Q3","JCRName":"ONCOLOGY","Score":null,"Total":0}
引用次数: 0

摘要

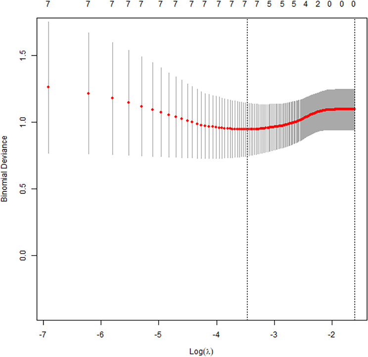
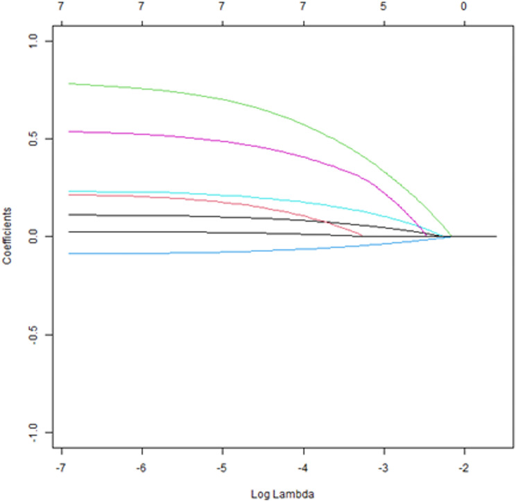
背景:针对125I放射性粒子近距离放射治疗头颈部肿瘤临床疗效的差异,本研究旨在系统分析影响其疗效的关键因素,建立可靠的预测模型,为临床精准评估和个性化治疗方案的制定提供科学依据。方法:回顾性分析2020-2024年174例患者,分为训练组(n=122)和验证组(n=52)。采用RECIST标准评估疗效。Lasso Logistic回归识别了独立因素,构建了模态图模型并进行了评价。结果:研究证实患者年龄、肿瘤分期、肿瘤直径、颗粒植入剂量、血清肿瘤标志物水平是影响临床疗效的独立因素(Pχ2 =7.422 (P=0.491),验证集χ2 =12.086 (P=0.147),提示模型拟合效果理想;训练集和验证集的ROC曲线下面积分别为0.860 (95% CI:0.767-0.953)和0.750 (95% CI:0.501-0.999),具有较高的敏感性和特异性。结论:该模型能有效预测125I近距离放疗效果,有助于临床评价,支持头颈部肿瘤的精准治疗。
本文章由计算机程序翻译,如有差异,请以英文原文为准。

Predictive Modeling of Clinical Efficacy for <sup>125</sup>I Brachytherapy in Head and Neck Tumors Using Lasso-Logistic Regression.

Predictive Modeling of Clinical Efficacy for <sup>125</sup>I Brachytherapy in Head and Neck Tumors Using Lasso-Logistic Regression.

Predictive Modeling of Clinical Efficacy for <sup>125</sup>I Brachytherapy in Head and Neck Tumors Using Lasso-Logistic Regression.

Predictive Modeling of Clinical Efficacy for 125I Brachytherapy in Head and Neck Tumors Using Lasso-Logistic Regression.

Background: In view of the differences in the clinical efficacy of 125I radioactive particle brachytherapy for head and neck tumors, this study aims to systematically analyze the key factors affecting its efficacy, and build a reliable prediction model to provide a scientific basis for clinical precise evaluation and personalized treatment plan formulation.

Methods: Retrospective analysis of 174 patients (2020-2024) divided into training (n=122) and validation (n=52) sets. Efficacy was assessed using RECIST criteria. Lasso Logistic regression identified independent factors, and a nomogram model was constructed and evaluated.

Results: The study confirmed that patients' age, tumor stage, tumor diameter, particle implantation dose and serum tumor marker level were independent factors affecting the clinical efficacy (P<0.05). The nomogram prediction model has excellent performance, and the c-index values in the training set and the validation set are 0.867 and 0.725, respectively, showing good discrimination ability; The results of calibration curve showed that the predicted value was in good agreement with the actual value, and the average absolute errors of the two groups were 0.114 and 0.133, respectively; In Hosmer lemeshow test, the training set χ2 =7.422 (P=0.491), the validation set χ2 =12.086 (P=0.147), suggesting that the model fitting effect is ideal; The area under the ROC curve in the training set and the validation set was 0.860 (95% CI:0.767-0.953) and 0.750 (95% CI:0.501-0.999), respectively, which showed high sensitivity and specificity.

Conclusion: The model effectively predicts 125I brachytherapy outcomes, aiding clinical evaluation and supporting precision treatment for head and neck tumors.

求助全文
通过发布文献求助,成功后即可免费获取论文全文。 去求助
来源期刊
Cancer Management and Research
Cancer Management and Research Medicine-Oncology
CiteScore
7.40
自引率
0.00%
发文量
448
审稿时长
16 weeks
期刊介绍: Cancer Management and Research is an international, peer reviewed, open access journal focusing on cancer research and the optimal use of preventative and integrated treatment interventions to achieve improved outcomes, enhanced survival, and quality of life for cancer patients. Specific topics covered in the journal include: ◦Epidemiology, detection and screening ◦Cellular research and biomarkers ◦Identification of biotargets and agents with novel mechanisms of action ◦Optimal clinical use of existing anticancer agents, including combination therapies ◦Radiation and surgery ◦Palliative care ◦Patient adherence, quality of life, satisfaction The journal welcomes submitted papers covering original research, basic science, clinical & epidemiological studies, reviews & evaluations, guidelines, expert opinion and commentary, and case series that shed novel insights on a disease or disease subtype.
×
引用
GB/T 7714-2015
复制
MLA
复制
APA
复制
导出至
BibTeX EndNote RefMan NoteFirst NoteExpress
×
提示
您的信息不完整,为了账户安全,请先补充。
现在去补充
×
提示
您因"违规操作"
具体请查看互助需知
我知道了
×
提示
确定
请完成安全验证×
copy
已复制链接
快去分享给好友吧!
我知道了
右上角分享
点击右上角分享
0
联系我们:info@booksci.cn Book学术提供免费学术资源搜索服务,方便国内外学者检索中英文文献。致力于提供最便捷和优质的服务体验。 Copyright © 2023 布克学术 All rights reserved.
京ICP备2023020795号-1
ghs 京公网安备 11010802042870号
Book学术文献互助
Book学术文献互助群
群 号:604180095
Book学术官方微信