类风湿性关节炎和胆结石疾病的风险:一项基于全国人群的研究

4区 医学
Annals of translational medicine Pub Date : 2025-08-31 Epub Date: 2025-08-26 DOI:10.21037/atm-25-12
Jiho Park, Yeonghee Eun, Kyungdo Han, Jin Hyung Jung, Seonyoung Kang, Seonghye Kim, Jong Jin Hyun, Hyungjin Kim, Dong Wook Shin
{"title":"类风湿性关节炎和胆结石疾病的风险:一项基于全国人群的研究","authors":"Jiho Park, Yeonghee Eun, Kyungdo Han, Jin Hyung Jung, Seonyoung Kang, Seonghye Kim, Jong Jin Hyun, Hyungjin Kim, Dong Wook Shin","doi":"10.21037/atm-25-12","DOIUrl":null,"url":null,"abstract":"<p><strong>Background: </strong>Rheumatoid arthritis (RA) is a chronic autoimmune disease associated with systemic inflammation and various comorbidities, including potential gallbladder disease. However, evidence linking RA to gallstones or cholecystectomy remains limited and inconsistent. This study assesses whether patients with RA are at higher risk of developing gallstones and undergoing cholecystectomy than individuals without RA.</p><p><strong>Methods: </strong>Using data from the Korean National Health Insurance Service, we identified 54,910 individuals diagnosed with RA between 2010 and 2017. After applying separate exclusion criteria for the analyses of developing gallstones and undergoing cholecystectomy, we matched those patients in a 1:3 ratio based on age and sex to derive a control population without RA. The study participants were followed from 1 year after their RA diagnosis or corresponding index date (lag period) to Dec. 31, 2020. Cox regression analyses were performed to estimate hazard ratios of developing gallstones and undergoing cholecystectomy compared with the matched controls.</p><p><strong>Results: </strong>We analyzed 46,523 patients with RA and 139,569 matched controls, with a follow-up period ranging from 3.5 to 7.3 years. During the follow-up, gallstone disease developed in 8.33% of patients with RA and 5.51% of the matched controls, corresponding to incidence rates of 15.69 and 10.09 per 1,000 person-years, respectively. The risk of incident gallstones was higher in the RA cohort than in the matched control group [adjusted hazard ratio (aHR) 1.58; 95% confidence interval (CI): 1.52-1.65, P<0.001]. During the same period, 1.24 % of patients with RA and 1.1% of the matched control group underwent cholecystectomy, for incidence rates of 2.27 and 2.0 per 1,000 person-years, respectively. Patients with RA appear to have a marginally elevated risk of undergoing cholecystectomy, compared with matched controls (aHR 1.15, 95% CI 1.05-1.27, P=0.04).</p><p><strong>Conclusions: </strong>The risk of gallstone disease is higher in individuals with RA than in matched controls.</p>","PeriodicalId":8216,"journal":{"name":"Annals of translational medicine","volume":"13 4","pages":"42"},"PeriodicalIF":0.0000,"publicationDate":"2025-08-31","publicationTypes":"Journal Article","fieldsOfStudy":null,"isOpenAccess":false,"openAccessPdf":"https://www.ncbi.nlm.nih.gov/pmc/articles/PMC12432628/pdf/","citationCount":"0","resultStr":"{\"title\":\"Rheumatoid arthritis and risk of gallstone disease: a nation-wide population-based study.\",\"authors\":\"Jiho Park, Yeonghee Eun, Kyungdo Han, Jin Hyung Jung, Seonyoung Kang, Seonghye Kim, Jong Jin Hyun, Hyungjin Kim, Dong Wook Shin\",\"doi\":\"10.21037/atm-25-12\",\"DOIUrl\":null,\"url\":null,\"abstract\":\"<p><strong>Background: </strong>Rheumatoid arthritis (RA) is a chronic autoimmune disease associated with systemic inflammation and various comorbidities, including potential gallbladder disease. However, evidence linking RA to gallstones or cholecystectomy remains limited and inconsistent. This study assesses whether patients with RA are at higher risk of developing gallstones and undergoing cholecystectomy than individuals without RA.</p><p><strong>Methods: </strong>Using data from the Korean National Health Insurance Service, we identified 54,910 individuals diagnosed with RA between 2010 and 2017. After applying separate exclusion criteria for the analyses of developing gallstones and undergoing cholecystectomy, we matched those patients in a 1:3 ratio based on age and sex to derive a control population without RA. The study participants were followed from 1 year after their RA diagnosis or corresponding index date (lag period) to Dec. 31, 2020. Cox regression analyses were performed to estimate hazard ratios of developing gallstones and undergoing cholecystectomy compared with the matched controls.</p><p><strong>Results: </strong>We analyzed 46,523 patients with RA and 139,569 matched controls, with a follow-up period ranging from 3.5 to 7.3 years. During the follow-up, gallstone disease developed in 8.33% of patients with RA and 5.51% of the matched controls, corresponding to incidence rates of 15.69 and 10.09 per 1,000 person-years, respectively. The risk of incident gallstones was higher in the RA cohort than in the matched control group [adjusted hazard ratio (aHR) 1.58; 95% confidence interval (CI): 1.52-1.65, P<0.001]. During the same period, 1.24 % of patients with RA and 1.1% of the matched control group underwent cholecystectomy, for incidence rates of 2.27 and 2.0 per 1,000 person-years, respectively. Patients with RA appear to have a marginally elevated risk of undergoing cholecystectomy, compared with matched controls (aHR 1.15, 95% CI 1.05-1.27, P=0.04).</p><p><strong>Conclusions: </strong>The risk of gallstone disease is higher in individuals with RA than in matched controls.</p>\",\"PeriodicalId\":8216,\"journal\":{\"name\":\"Annals of translational medicine\",\"volume\":\"13 4\",\"pages\":\"42\"},\"PeriodicalIF\":0.0000,\"publicationDate\":\"2025-08-31\",\"publicationTypes\":\"Journal Article\",\"fieldsOfStudy\":null,\"isOpenAccess\":false,\"openAccessPdf\":\"https://www.ncbi.nlm.nih.gov/pmc/articles/PMC12432628/pdf/\",\"citationCount\":\"0\",\"resultStr\":null,\"platform\":\"Semanticscholar\",\"paperid\":null,\"PeriodicalName\":\"Annals of translational medicine\",\"FirstCategoryId\":\"3\",\"ListUrlMain\":\"https://doi.org/10.21037/atm-25-12\",\"RegionNum\":4,\"RegionCategory\":\"医学\",\"ArticlePicture\":[],\"TitleCN\":null,\"AbstractTextCN\":null,\"PMCID\":null,\"EPubDate\":\"2025/8/26 0:00:00\",\"PubModel\":\"Epub\",\"JCR\":\"\",\"JCRName\":\"\",\"Score\":null,\"Total\":0}","platform":"Semanticscholar","paperid":null,"PeriodicalName":"Annals of translational medicine","FirstCategoryId":"3","ListUrlMain":"https://doi.org/10.21037/atm-25-12","RegionNum":4,"RegionCategory":"医学","ArticlePicture":[],"TitleCN":null,"AbstractTextCN":null,"PMCID":null,"EPubDate":"2025/8/26 0:00:00","PubModel":"Epub","JCR":"","JCRName":"","Score":null,"Total":0}
引用次数: 0

摘要

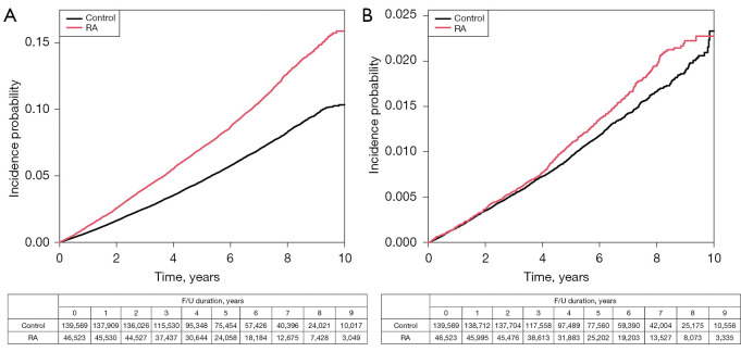
背景:类风湿性关节炎(RA)是一种慢性自身免疫性疾病,与全身炎症和各种合并症相关,包括潜在的胆囊疾病。然而,将类风湿性关节炎与胆结石或胆囊切除术联系起来的证据仍然有限且不一致。本研究评估RA患者是否比无RA患者有更高的发生胆结石和接受胆囊切除术的风险。方法:使用韩国国民健康保险服务中心的数据,我们确定了2010年至2017年间诊断为RA的54,910人。在应用单独的排除标准对发生胆结石和接受胆囊切除术的患者进行分析后,我们根据年龄和性别将这些患者按1:3的比例进行匹配,以获得无RA的对照人群。研究参与者从RA诊断后1年或相应的指标日期(滞后期)到2020年12月31日进行随访。采用Cox回归分析来估计与匹配对照组相比发生胆结石和行胆囊切除术的风险比。结果:我们分析了46523例RA患者和139569例匹配对照,随访时间从3.5年到7.3年不等。在随访期间,8.33%的RA患者和5.51%的匹配对照组发生了胆结石疾病,对应的发病率分别为15.69和10.09 / 1000人-年。RA组发生胆结石的风险高于匹配对照组[校正风险比(aHR) 1.58;95%可信区间(CI): 1.52-1.65,结论:类风湿性关节炎患者发生胆结石疾病的风险高于对照组。
本文章由计算机程序翻译,如有差异,请以英文原文为准。

Rheumatoid arthritis and risk of gallstone disease: a nation-wide population-based study.

Rheumatoid arthritis and risk of gallstone disease: a nation-wide population-based study.

Rheumatoid arthritis and risk of gallstone disease: a nation-wide population-based study.

Background: Rheumatoid arthritis (RA) is a chronic autoimmune disease associated with systemic inflammation and various comorbidities, including potential gallbladder disease. However, evidence linking RA to gallstones or cholecystectomy remains limited and inconsistent. This study assesses whether patients with RA are at higher risk of developing gallstones and undergoing cholecystectomy than individuals without RA.

Methods: Using data from the Korean National Health Insurance Service, we identified 54,910 individuals diagnosed with RA between 2010 and 2017. After applying separate exclusion criteria for the analyses of developing gallstones and undergoing cholecystectomy, we matched those patients in a 1:3 ratio based on age and sex to derive a control population without RA. The study participants were followed from 1 year after their RA diagnosis or corresponding index date (lag period) to Dec. 31, 2020. Cox regression analyses were performed to estimate hazard ratios of developing gallstones and undergoing cholecystectomy compared with the matched controls.

Results: We analyzed 46,523 patients with RA and 139,569 matched controls, with a follow-up period ranging from 3.5 to 7.3 years. During the follow-up, gallstone disease developed in 8.33% of patients with RA and 5.51% of the matched controls, corresponding to incidence rates of 15.69 and 10.09 per 1,000 person-years, respectively. The risk of incident gallstones was higher in the RA cohort than in the matched control group [adjusted hazard ratio (aHR) 1.58; 95% confidence interval (CI): 1.52-1.65, P<0.001]. During the same period, 1.24 % of patients with RA and 1.1% of the matched control group underwent cholecystectomy, for incidence rates of 2.27 and 2.0 per 1,000 person-years, respectively. Patients with RA appear to have a marginally elevated risk of undergoing cholecystectomy, compared with matched controls (aHR 1.15, 95% CI 1.05-1.27, P=0.04).

Conclusions: The risk of gallstone disease is higher in individuals with RA than in matched controls.

求助全文
通过发布文献求助,成功后即可免费获取论文全文。 去求助
来源期刊
自引率
0.00%
发文量
769
期刊介绍: The Annals of Translational Medicine (Ann Transl Med; ATM; Print ISSN 2305-5839; Online ISSN 2305-5847) is an international, peer-reviewed Open Access journal featuring original and observational investigations in the broad fields of laboratory, clinical, and public health research, aiming to provide practical up-to-date information in significant research from all subspecialties of medicine and to broaden the readers’ vision and horizon from bench to bed and bed to bench. It is published quarterly (April 2013- Dec. 2013), monthly (Jan. 2014 - Feb. 2015), biweekly (March 2015-) and openly distributed worldwide. Annals of Translational Medicine is indexed in PubMed in Sept 2014 and in SCIE in 2018. Specific areas of interest include, but not limited to, multimodality therapy, epidemiology, biomarkers, imaging, biology, pathology, and technical advances related to medicine. Submissions describing preclinical research with potential for application to human disease, and studies describing research obtained from preliminary human experimentation with potential to further the understanding of biological mechanism underlying disease are encouraged. Also warmly welcome are studies describing public health research pertinent to clinic, disease diagnosis and prevention, or healthcare policy.
 With a focus on interdisciplinary academic cooperation, ATM aims to expedite the translation of scientific discovery into new or improved standards of management and health outcomes practice.
×
引用
GB/T 7714-2015
复制
MLA
复制
APA
复制
导出至
BibTeX EndNote RefMan NoteFirst NoteExpress
×
提示
您的信息不完整,为了账户安全,请先补充。
现在去补充
×
提示
您因"违规操作"
具体请查看互助需知
我知道了
×
提示
确定
请完成安全验证×
copy
已复制链接
快去分享给好友吧!
我知道了
右上角分享
点击右上角分享
0
联系我们:info@booksci.cn Book学术提供免费学术资源搜索服务,方便国内外学者检索中英文文献。致力于提供最便捷和优质的服务体验。 Copyright © 2023 布克学术 All rights reserved.
京ICP备2023020795号-1
ghs 京公网安备 11010802042870号
Book学术文献互助
Book学术文献互助群
群 号:604180095
Book学术官方微信