人骨髓正常造血人群的免疫表型特征:性别和年龄的影响作为参考值建立的基础

IF 5.2 2区 生物学 Q2 CELL BIOLOGY
Cells Pub Date : 2025-09-06 DOI:10.3390/cells14171392
Flavia Arandas de Sousa, Rodolfo Patussi Correa, Laiz Cameirão Bento, Luiz Fabiano Presente Taniguchi, Nydia Strachman Bacal, Luciana Cavalheiro Marti
{"title":"人骨髓正常造血人群的免疫表型特征:性别和年龄的影响作为参考值建立的基础","authors":"Flavia Arandas de Sousa, Rodolfo Patussi Correa, Laiz Cameirão Bento, Luiz Fabiano Presente Taniguchi, Nydia Strachman Bacal, Luciana Cavalheiro Marti","doi":"10.3390/cells14171392","DOIUrl":null,"url":null,"abstract":"<p><p>The purpose of this study was to evaluate normal values of healthy human bone marrow (<i>n</i> = 56) and identify gender- and age-related variations using cell lineage markers and maturational curves. Using 10-color quantitative flow cytometry, various cell types were identified, including B cells, T cells, NK cells, granulocytes, monocytes, erythroblasts, plasma cells, basophils, mast cells, and dendritic cells. Results revealed significant age-related declines in the absolute counts of nucleated cells (<i>p</i> = 0.001), including CD34+ immature B cells (<i>p</i> = 0.006) and CD34- immature B cells (<i>p</i> = 0.004). Declines were also observed for T cells (<i>p</i> = 0.002), cytotoxic T cells (<i>p</i> < 0.001), double-negative T cells (<i>p</i> = 0.0001), NK cells (<i>p</i> = 0.007), CD16- NK cells (<i>p</i> < 0.001), metamyelocytes (<i>p</i> = 0.002), neutrophils (<i>p</i> = 0.001), basophils (<i>p</i> = 0.009), promonocytes (<i>p</i> = 0.001), mature monocytes (<i>p</i> = 0.007), and plasmacytoid dendritic cells (<i>p</i> = 0.001). Gender differences showed males had more intermediate monocytes (<i>p</i> = 0.009) compared to females. In summary, this study provides normal values for hematopoietic cells, highlighting age- and gender-related disparities critical for understanding hematopoietic dynamics.</p>","PeriodicalId":9743,"journal":{"name":"Cells","volume":"14 17","pages":""},"PeriodicalIF":5.2000,"publicationDate":"2025-09-06","publicationTypes":"Journal Article","fieldsOfStudy":null,"isOpenAccess":false,"openAccessPdf":"https://www.ncbi.nlm.nih.gov/pmc/articles/PMC12427959/pdf/","citationCount":"0","resultStr":"{\"title\":\"Immunophenotypic Profile of Normal Hematopoietic Populations in Human Bone Marrow: Influence of Gender and Aging as a Basis for Reference Value Establishment.\",\"authors\":\"Flavia Arandas de Sousa, Rodolfo Patussi Correa, Laiz Cameirão Bento, Luiz Fabiano Presente Taniguchi, Nydia Strachman Bacal, Luciana Cavalheiro Marti\",\"doi\":\"10.3390/cells14171392\",\"DOIUrl\":null,\"url\":null,\"abstract\":\"<p><p>The purpose of this study was to evaluate normal values of healthy human bone marrow (<i>n</i> = 56) and identify gender- and age-related variations using cell lineage markers and maturational curves. Using 10-color quantitative flow cytometry, various cell types were identified, including B cells, T cells, NK cells, granulocytes, monocytes, erythroblasts, plasma cells, basophils, mast cells, and dendritic cells. Results revealed significant age-related declines in the absolute counts of nucleated cells (<i>p</i> = 0.001), including CD34+ immature B cells (<i>p</i> = 0.006) and CD34- immature B cells (<i>p</i> = 0.004). Declines were also observed for T cells (<i>p</i> = 0.002), cytotoxic T cells (<i>p</i> < 0.001), double-negative T cells (<i>p</i> = 0.0001), NK cells (<i>p</i> = 0.007), CD16- NK cells (<i>p</i> < 0.001), metamyelocytes (<i>p</i> = 0.002), neutrophils (<i>p</i> = 0.001), basophils (<i>p</i> = 0.009), promonocytes (<i>p</i> = 0.001), mature monocytes (<i>p</i> = 0.007), and plasmacytoid dendritic cells (<i>p</i> = 0.001). Gender differences showed males had more intermediate monocytes (<i>p</i> = 0.009) compared to females. In summary, this study provides normal values for hematopoietic cells, highlighting age- and gender-related disparities critical for understanding hematopoietic dynamics.</p>\",\"PeriodicalId\":9743,\"journal\":{\"name\":\"Cells\",\"volume\":\"14 17\",\"pages\":\"\"},\"PeriodicalIF\":5.2000,\"publicationDate\":\"2025-09-06\",\"publicationTypes\":\"Journal Article\",\"fieldsOfStudy\":null,\"isOpenAccess\":false,\"openAccessPdf\":\"https://www.ncbi.nlm.nih.gov/pmc/articles/PMC12427959/pdf/\",\"citationCount\":\"0\",\"resultStr\":null,\"platform\":\"Semanticscholar\",\"paperid\":null,\"PeriodicalName\":\"Cells\",\"FirstCategoryId\":\"99\",\"ListUrlMain\":\"https://doi.org/10.3390/cells14171392\",\"RegionNum\":2,\"RegionCategory\":\"生物学\",\"ArticlePicture\":[],\"TitleCN\":null,\"AbstractTextCN\":null,\"PMCID\":null,\"EPubDate\":\"\",\"PubModel\":\"\",\"JCR\":\"Q2\",\"JCRName\":\"CELL BIOLOGY\",\"Score\":null,\"Total\":0}","platform":"Semanticscholar","paperid":null,"PeriodicalName":"Cells","FirstCategoryId":"99","ListUrlMain":"https://doi.org/10.3390/cells14171392","RegionNum":2,"RegionCategory":"生物学","ArticlePicture":[],"TitleCN":null,"AbstractTextCN":null,"PMCID":null,"EPubDate":"","PubModel":"","JCR":"Q2","JCRName":"CELL BIOLOGY","Score":null,"Total":0}
引用次数: 0

摘要

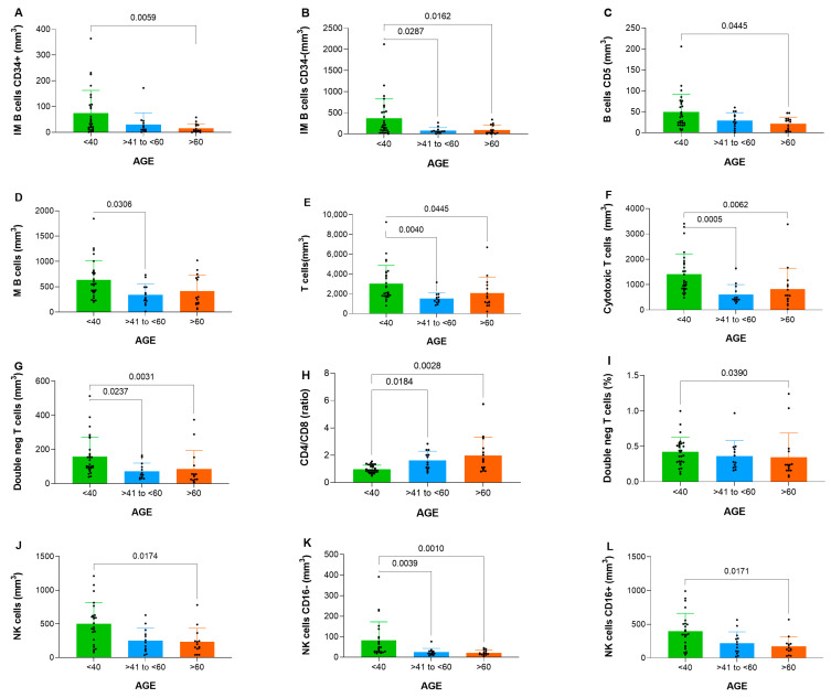
本研究的目的是评估健康人骨髓的正常值(n = 56),并利用细胞谱系标记和成熟曲线确定性别和年龄相关的变异。使用10色定量流式细胞术,鉴定了各种细胞类型,包括B细胞、T细胞、NK细胞、粒细胞、单核细胞、红母细胞、浆细胞、嗜碱性细胞、肥大细胞和树突状细胞。结果显示,有核细胞的绝对计数明显与年龄相关(p = 0.001),包括CD34+未成熟B细胞(p = 0.006)和CD34-未成熟B细胞(p = 0.004)。T细胞(p = 0.002)、细胞毒性T细胞(p < 0.001)、双阴性T细胞(p = 0.0001)、NK细胞(p = 0.007)、CD16- NK细胞(p < 0.001)、化髓细胞(p = 0.002)、中性粒细胞(p = 0.001)、嗜碱性粒细胞(p = 0.009)、单核细胞原细胞(p = 0.001)、成熟单核细胞(p = 0.007)和浆细胞样树突状细胞(p = 0.001)也出现下降。性别差异显示男性比女性有更多的中间单核细胞(p = 0.009)。总之,这项研究提供了造血细胞的正常值,强调了年龄和性别相关的差异,这对理解造血动力学至关重要。
本文章由计算机程序翻译,如有差异,请以英文原文为准。

Immunophenotypic Profile of Normal Hematopoietic Populations in Human Bone Marrow: Influence of Gender and Aging as a Basis for Reference Value Establishment.

Immunophenotypic Profile of Normal Hematopoietic Populations in Human Bone Marrow: Influence of Gender and Aging as a Basis for Reference Value Establishment.

Immunophenotypic Profile of Normal Hematopoietic Populations in Human Bone Marrow: Influence of Gender and Aging as a Basis for Reference Value Establishment.

Immunophenotypic Profile of Normal Hematopoietic Populations in Human Bone Marrow: Influence of Gender and Aging as a Basis for Reference Value Establishment.

The purpose of this study was to evaluate normal values of healthy human bone marrow (n = 56) and identify gender- and age-related variations using cell lineage markers and maturational curves. Using 10-color quantitative flow cytometry, various cell types were identified, including B cells, T cells, NK cells, granulocytes, monocytes, erythroblasts, plasma cells, basophils, mast cells, and dendritic cells. Results revealed significant age-related declines in the absolute counts of nucleated cells (p = 0.001), including CD34+ immature B cells (p = 0.006) and CD34- immature B cells (p = 0.004). Declines were also observed for T cells (p = 0.002), cytotoxic T cells (p < 0.001), double-negative T cells (p = 0.0001), NK cells (p = 0.007), CD16- NK cells (p < 0.001), metamyelocytes (p = 0.002), neutrophils (p = 0.001), basophils (p = 0.009), promonocytes (p = 0.001), mature monocytes (p = 0.007), and plasmacytoid dendritic cells (p = 0.001). Gender differences showed males had more intermediate monocytes (p = 0.009) compared to females. In summary, this study provides normal values for hematopoietic cells, highlighting age- and gender-related disparities critical for understanding hematopoietic dynamics.

求助全文
通过发布文献求助,成功后即可免费获取论文全文。 去求助
来源期刊
Cells
Cells Biochemistry, Genetics and Molecular Biology-Biochemistry, Genetics and Molecular Biology (all)
CiteScore
9.90
自引率
5.00%
发文量
3472
审稿时长
16 days
期刊介绍: Cells (ISSN 2073-4409) is an international, peer-reviewed open access journal which provides an advanced forum for studies related to cell biology, molecular biology and biophysics. It publishes reviews, research articles, communications and technical notes. Our aim is to encourage scientists to publish their experimental and theoretical results in as much detail as possible. There is no restriction on the length of the papers. Full experimental and/or methodical details must be provided.
×
引用
GB/T 7714-2015
复制
MLA
复制
APA
复制
导出至
BibTeX EndNote RefMan NoteFirst NoteExpress
×
提示
您的信息不完整,为了账户安全,请先补充。
现在去补充
×
提示
您因"违规操作"
具体请查看互助需知
我知道了
×
提示
确定
请完成安全验证×
copy
已复制链接
快去分享给好友吧!
我知道了
右上角分享
点击右上角分享
0
联系我们:info@booksci.cn Book学术提供免费学术资源搜索服务,方便国内外学者检索中英文文献。致力于提供最便捷和优质的服务体验。 Copyright © 2023 布克学术 All rights reserved.
京ICP备2023020795号-1
ghs 京公网安备 11010802042870号
Book学术文献互助
Book学术文献互助群
群 号:604180095
Book学术官方微信