实验室覆盖层压力方程:岩心样品覆盖层压力测量方法

M. Karimi , Abbas Helalizadeh , Behruz Mirzayi , M. Reza Adelzadeh
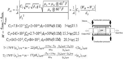
{"title":"实验室覆盖层压力方程:岩心样品覆盖层压力测量方法","authors":"M. Karimi ,&nbsp;Abbas Helalizadeh ,&nbsp;Behruz Mirzayi ,&nbsp;M. Reza Adelzadeh","doi":"10.1016/j.meaene.2025.100063","DOIUrl":null,"url":null,"abstract":"<div><div>This study proposes a laboratory-scale overpressure measurement equation to avoid the core damage caused by traditional trial-and-error methods, filling the gap in existing methods. To estimate the overburden pressure before any damage to the core sample, the lithology table was obtained via laboratory data and petrophysical and geological information obtained from the field for determining the grain and fracture situation in the core samples. Afterwards, the fluids were injected into the core samples placed inside the apparatus under overburden pressure 15.6 to 121 <span><math><mrow><mo>°C</mo></mrow></math></span> by setting overburden pressure on various values (50–179 bar). The core samples utilized were mostly the two main groups of reservoir rocks, sand and dolomite/lime, or a combination of both with variable porosities (5–25 %), which whole data was obtained from the presented lithology table.</div><div>The experimental data was integrated with field data to obtain empirical equations to determine the value of overburden pressure in the cores with various porosities, considering the fluid and rock characteristics. An increase in the saturation of fluids (especially in water-bearing types), the densities of rocks and fluids, percentage of fractures (mostly in carbonate type), and the viscosity of fluids were along with an increment in the total overburden pressure exerted on the sample. Subsequently, this increment caused a reduction in permeability and damage to the core samples. Conversely, the increase of initial pore pressure (mostly in sandstone type) was along with a decline in overburden pressure, resulting in a significant decrease in permeability and more damage to the mostly-fragile under-pressure cores. The equations introduced here incorporated the effects of these variables and represented the behavior of porous media to raise the speed and accuracy of predicting overburden pressure in the laboratory.</div></div>","PeriodicalId":100897,"journal":{"name":"Measurement: Energy","volume":"8 ","pages":"Article 100063"},"PeriodicalIF":0.0000,"publicationDate":"2025-09-04","publicationTypes":"Journal Article","fieldsOfStudy":null,"isOpenAccess":false,"openAccessPdf":"","citationCount":"0","resultStr":"{\"title\":\"Equations of overburden pressure at laboratory: an overburden pressure measurement method in core samples\",\"authors\":\"M. Karimi ,&nbsp;Abbas Helalizadeh ,&nbsp;Behruz Mirzayi ,&nbsp;M. Reza Adelzadeh\",\"doi\":\"10.1016/j.meaene.2025.100063\",\"DOIUrl\":null,\"url\":null,\"abstract\":\"<div><div>This study proposes a laboratory-scale overpressure measurement equation to avoid the core damage caused by traditional trial-and-error methods, filling the gap in existing methods. To estimate the overburden pressure before any damage to the core sample, the lithology table was obtained via laboratory data and petrophysical and geological information obtained from the field for determining the grain and fracture situation in the core samples. Afterwards, the fluids were injected into the core samples placed inside the apparatus under overburden pressure 15.6 to 121 <span><math><mrow><mo>°C</mo></mrow></math></span> by setting overburden pressure on various values (50–179 bar). The core samples utilized were mostly the two main groups of reservoir rocks, sand and dolomite/lime, or a combination of both with variable porosities (5–25 %), which whole data was obtained from the presented lithology table.</div><div>The experimental data was integrated with field data to obtain empirical equations to determine the value of overburden pressure in the cores with various porosities, considering the fluid and rock characteristics. An increase in the saturation of fluids (especially in water-bearing types), the densities of rocks and fluids, percentage of fractures (mostly in carbonate type), and the viscosity of fluids were along with an increment in the total overburden pressure exerted on the sample. Subsequently, this increment caused a reduction in permeability and damage to the core samples. Conversely, the increase of initial pore pressure (mostly in sandstone type) was along with a decline in overburden pressure, resulting in a significant decrease in permeability and more damage to the mostly-fragile under-pressure cores. The equations introduced here incorporated the effects of these variables and represented the behavior of porous media to raise the speed and accuracy of predicting overburden pressure in the laboratory.</div></div>\",\"PeriodicalId\":100897,\"journal\":{\"name\":\"Measurement: Energy\",\"volume\":\"8 \",\"pages\":\"Article 100063\"},\"PeriodicalIF\":0.0000,\"publicationDate\":\"2025-09-04\",\"publicationTypes\":\"Journal Article\",\"fieldsOfStudy\":null,\"isOpenAccess\":false,\"openAccessPdf\":\"\",\"citationCount\":\"0\",\"resultStr\":null,\"platform\":\"Semanticscholar\",\"paperid\":null,\"PeriodicalName\":\"Measurement: Energy\",\"FirstCategoryId\":\"1085\",\"ListUrlMain\":\"https://www.sciencedirect.com/science/article/pii/S2950345025000302\",\"RegionNum\":0,\"RegionCategory\":null,\"ArticlePicture\":[],\"TitleCN\":null,\"AbstractTextCN\":null,\"PMCID\":null,\"EPubDate\":\"\",\"PubModel\":\"\",\"JCR\":\"\",\"JCRName\":\"\",\"Score\":null,\"Total\":0}","platform":"Semanticscholar","paperid":null,"PeriodicalName":"Measurement: Energy","FirstCategoryId":"1085","ListUrlMain":"https://www.sciencedirect.com/science/article/pii/S2950345025000302","RegionNum":0,"RegionCategory":null,"ArticlePicture":[],"TitleCN":null,"AbstractTextCN":null,"PMCID":null,"EPubDate":"","PubModel":"","JCR":"","JCRName":"","Score":null,"Total":0}
引用次数: 0

摘要

本研究提出了一种实验室规模的超压测量方程,避免了传统试错方法对岩心造成的损伤,填补了现有方法的空白。为了估算岩心样品损伤前的覆盖层压力,通过实验室数据和现场获得的岩石物理地质信息,得到岩性表,确定岩心样品中的颗粒和裂缝情况。然后,通过设置不同的覆盖层压力值(50-179 bar),将流体注入放置在仪器内的岩心样品中,覆盖层压力为15.6至121℃。利用的岩心样品主要是储层岩石的两大类,砂岩和白云岩/灰岩,或两者的组合,孔隙度(5 - 25%)变化,全部数据来自所提供的岩性表。将实验数据与现场数据相结合,得到考虑流体和岩石特征的不同孔隙度岩心覆盖层压力值的经验方程。流体饱和度(特别是含水类型)、岩石和流体密度、裂缝百分比(主要是碳酸盐类型)和流体粘度随着施加在样品上的总覆盖层压力的增加而增加。随后,这种增加导致渗透率降低和岩心样品损坏。相反,初始孔隙压力的增加(主要是砂岩型)伴随着上覆岩压力的下降,导致渗透率显著下降,对大多脆弱的欠压岩心的破坏更大。本文引入的方程考虑了这些变量的影响,并代表了多孔介质的行为,以提高实验室预测覆盖层压力的速度和准确性。
本文章由计算机程序翻译,如有差异,请以英文原文为准。

Equations of overburden pressure at laboratory: an overburden pressure measurement method in core samples

Equations of overburden pressure at laboratory: an overburden pressure measurement method in core samples
This study proposes a laboratory-scale overpressure measurement equation to avoid the core damage caused by traditional trial-and-error methods, filling the gap in existing methods. To estimate the overburden pressure before any damage to the core sample, the lithology table was obtained via laboratory data and petrophysical and geological information obtained from the field for determining the grain and fracture situation in the core samples. Afterwards, the fluids were injected into the core samples placed inside the apparatus under overburden pressure 15.6 to 121 °C by setting overburden pressure on various values (50–179 bar). The core samples utilized were mostly the two main groups of reservoir rocks, sand and dolomite/lime, or a combination of both with variable porosities (5–25 %), which whole data was obtained from the presented lithology table.
The experimental data was integrated with field data to obtain empirical equations to determine the value of overburden pressure in the cores with various porosities, considering the fluid and rock characteristics. An increase in the saturation of fluids (especially in water-bearing types), the densities of rocks and fluids, percentage of fractures (mostly in carbonate type), and the viscosity of fluids were along with an increment in the total overburden pressure exerted on the sample. Subsequently, this increment caused a reduction in permeability and damage to the core samples. Conversely, the increase of initial pore pressure (mostly in sandstone type) was along with a decline in overburden pressure, resulting in a significant decrease in permeability and more damage to the mostly-fragile under-pressure cores. The equations introduced here incorporated the effects of these variables and represented the behavior of porous media to raise the speed and accuracy of predicting overburden pressure in the laboratory.
求助全文
通过发布文献求助,成功后即可免费获取论文全文。 去求助
来源期刊
自引率
0.00%
发文量
0
×
引用
GB/T 7714-2015
复制
MLA
复制
APA
复制
导出至
BibTeX EndNote RefMan NoteFirst NoteExpress
×
提示
您的信息不完整,为了账户安全,请先补充。
现在去补充
×
提示
您因"违规操作"
具体请查看互助需知
我知道了
×
提示
确定
请完成安全验证×
copy
已复制链接
快去分享给好友吧!
我知道了
右上角分享
点击右上角分享
0
联系我们:info@booksci.cn Book学术提供免费学术资源搜索服务,方便国内外学者检索中英文文献。致力于提供最便捷和优质的服务体验。 Copyright © 2023 布克学术 All rights reserved.
京ICP备2023020795号-1
ghs 京公网安备 11010802042870号
Book学术文献互助
Book学术文献互助群
群 号:604180095
Book学术官方微信