人口统计学和压力测量变量可以独立预测胃食管反流病:AGES-D评分。

Diego Reyes-Placencia, Ana Muñoz, Roberto Candia, Paula Rey, Javier Chahuan, Ignacio Gran, José María Remes-Troche, Daniel Cisternas, Hugo Monrroy
{"title":"人口统计学和压力测量变量可以独立预测胃食管反流病:AGES-D评分。","authors":"Diego Reyes-Placencia, Ana Muñoz, Roberto Candia, Paula Rey, Javier Chahuan, Ignacio Gran, José María Remes-Troche, Daniel Cisternas, Hugo Monrroy","doi":"10.7704/kjhugr.2025.0030","DOIUrl":null,"url":null,"abstract":"<p><strong>Objective: </strong>Conclusive diagnosis of gastroesophageal reflux disease (GERD) can be challenging. When reflux monitoring is inconclusive, high-resolution esophageal manometry (HRM) may provide additional relevant information. We aimed to identify demographic and manometric parameters associated with GERD and to propose a diagnostic score.</p><p><strong>Methods: </strong>Adult patients with GERD symptoms who underwent reflux monitoring and HRM were considered for inclusion. The gold standard for GERD diagnosis was acid exposure time (AET); patients with AET>6% and AET<4% were included. Univariate and multivariate analyses were performed. A diagnostic score was developed using parameters independently associated with GERD. Generation and validation cohorts were randomly selected in a 2:1 ratio. Diagnostic accuracy was assessed using the area under the receiver operating characteristic curve (AUC ROC).</p><p><strong>Results: </strong>A total of 391 patients met the inclusion criteria; 167 had GERD (AET>6%) and 224 did not have GERD (AET<4%). In the multivariate analysis, age, male sex, and the distance between the lower esophageal sphincter and the crural diaphragm (LES-CD) were directly associated with GERD, while esophagogastric junction contractile integral (EGJ-CI) and distal contractile integral (DCI) were inversely associated with GERD (p values: 0.03, <0.01, <0.01, 0.01, and 0.01, respectively). The AUC ROC of a diagnostic score based on these parameters was 0.76 and 0.82 in the generation and validation cohorts, respectively.</p><p><strong>Conclusions: </strong>In this observational study, age, male sex, LES-CD distance, EGJ-CI, and DCI (AGES-D) were independently associated with GERD. A novel score incorporating these parameters could be useful in the assessment of inconclusive cases.</p>","PeriodicalId":520887,"journal":{"name":"The Korean journal of helicobacter and upper gastrointestinal research","volume":"25 3","pages":"276-283"},"PeriodicalIF":0.0000,"publicationDate":"2025-09-01","publicationTypes":"Journal Article","fieldsOfStudy":null,"isOpenAccess":false,"openAccessPdf":"https://www.ncbi.nlm.nih.gov/pmc/articles/PMC12425668/pdf/","citationCount":"0","resultStr":"{\"title\":\"Demographic and Manometric Variables Can Independently Predict Gastroesophageal Reflux Disease: The AGES-D Score.\",\"authors\":\"Diego Reyes-Placencia, Ana Muñoz, Roberto Candia, Paula Rey, Javier Chahuan, Ignacio Gran, José María Remes-Troche, Daniel Cisternas, Hugo Monrroy\",\"doi\":\"10.7704/kjhugr.2025.0030\",\"DOIUrl\":null,\"url\":null,\"abstract\":\"<p><strong>Objective: </strong>Conclusive diagnosis of gastroesophageal reflux disease (GERD) can be challenging. When reflux monitoring is inconclusive, high-resolution esophageal manometry (HRM) may provide additional relevant information. We aimed to identify demographic and manometric parameters associated with GERD and to propose a diagnostic score.</p><p><strong>Methods: </strong>Adult patients with GERD symptoms who underwent reflux monitoring and HRM were considered for inclusion. The gold standard for GERD diagnosis was acid exposure time (AET); patients with AET>6% and AET<4% were included. Univariate and multivariate analyses were performed. A diagnostic score was developed using parameters independently associated with GERD. Generation and validation cohorts were randomly selected in a 2:1 ratio. Diagnostic accuracy was assessed using the area under the receiver operating characteristic curve (AUC ROC).</p><p><strong>Results: </strong>A total of 391 patients met the inclusion criteria; 167 had GERD (AET>6%) and 224 did not have GERD (AET<4%). In the multivariate analysis, age, male sex, and the distance between the lower esophageal sphincter and the crural diaphragm (LES-CD) were directly associated with GERD, while esophagogastric junction contractile integral (EGJ-CI) and distal contractile integral (DCI) were inversely associated with GERD (p values: 0.03, <0.01, <0.01, 0.01, and 0.01, respectively). The AUC ROC of a diagnostic score based on these parameters was 0.76 and 0.82 in the generation and validation cohorts, respectively.</p><p><strong>Conclusions: </strong>In this observational study, age, male sex, LES-CD distance, EGJ-CI, and DCI (AGES-D) were independently associated with GERD. A novel score incorporating these parameters could be useful in the assessment of inconclusive cases.</p>\",\"PeriodicalId\":520887,\"journal\":{\"name\":\"The Korean journal of helicobacter and upper gastrointestinal research\",\"volume\":\"25 3\",\"pages\":\"276-283\"},\"PeriodicalIF\":0.0000,\"publicationDate\":\"2025-09-01\",\"publicationTypes\":\"Journal Article\",\"fieldsOfStudy\":null,\"isOpenAccess\":false,\"openAccessPdf\":\"https://www.ncbi.nlm.nih.gov/pmc/articles/PMC12425668/pdf/\",\"citationCount\":\"0\",\"resultStr\":null,\"platform\":\"Semanticscholar\",\"paperid\":null,\"PeriodicalName\":\"The Korean journal of helicobacter and upper gastrointestinal research\",\"FirstCategoryId\":\"1085\",\"ListUrlMain\":\"https://doi.org/10.7704/kjhugr.2025.0030\",\"RegionNum\":0,\"RegionCategory\":null,\"ArticlePicture\":[],\"TitleCN\":null,\"AbstractTextCN\":null,\"PMCID\":null,\"EPubDate\":\"\",\"PubModel\":\"\",\"JCR\":\"\",\"JCRName\":\"\",\"Score\":null,\"Total\":0}","platform":"Semanticscholar","paperid":null,"PeriodicalName":"The Korean journal of helicobacter and upper gastrointestinal research","FirstCategoryId":"1085","ListUrlMain":"https://doi.org/10.7704/kjhugr.2025.0030","RegionNum":0,"RegionCategory":null,"ArticlePicture":[],"TitleCN":null,"AbstractTextCN":null,"PMCID":null,"EPubDate":"","PubModel":"","JCR":"","JCRName":"","Score":null,"Total":0}
引用次数: 0

摘要

目的:胃食管反流病(GERD)的结论性诊断具有挑战性。当反流监测不确定时,高分辨率食管测压仪(HRM)可以提供额外的相关信息。我们的目的是确定与GERD相关的人口统计学和血压参数,并提出诊断评分。方法:考虑纳入有GERD症状并接受反流监测和HRM的成年患者。诊断胃食管反流的金标准是酸暴露时间(AET);结果:共有391例患者符合纳入标准;结论:在这项观察性研究中,年龄、男性、LES-CD距离、EGJ-CI和DCI (AGES-D)与GERD独立相关。结合这些参数的新评分在评估不确定病例时可能有用。
本文章由计算机程序翻译,如有差异,请以英文原文为准。

Demographic and Manometric Variables Can Independently Predict Gastroesophageal Reflux Disease: The AGES-D Score.

Demographic and Manometric Variables Can Independently Predict Gastroesophageal Reflux Disease: The AGES-D Score.

Demographic and Manometric Variables Can Independently Predict Gastroesophageal Reflux Disease: The AGES-D Score.

Objective: Conclusive diagnosis of gastroesophageal reflux disease (GERD) can be challenging. When reflux monitoring is inconclusive, high-resolution esophageal manometry (HRM) may provide additional relevant information. We aimed to identify demographic and manometric parameters associated with GERD and to propose a diagnostic score.

Methods: Adult patients with GERD symptoms who underwent reflux monitoring and HRM were considered for inclusion. The gold standard for GERD diagnosis was acid exposure time (AET); patients with AET>6% and AET<4% were included. Univariate and multivariate analyses were performed. A diagnostic score was developed using parameters independently associated with GERD. Generation and validation cohorts were randomly selected in a 2:1 ratio. Diagnostic accuracy was assessed using the area under the receiver operating characteristic curve (AUC ROC).

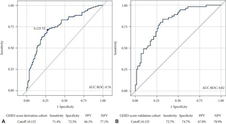
Results: A total of 391 patients met the inclusion criteria; 167 had GERD (AET>6%) and 224 did not have GERD (AET<4%). In the multivariate analysis, age, male sex, and the distance between the lower esophageal sphincter and the crural diaphragm (LES-CD) were directly associated with GERD, while esophagogastric junction contractile integral (EGJ-CI) and distal contractile integral (DCI) were inversely associated with GERD (p values: 0.03, <0.01, <0.01, 0.01, and 0.01, respectively). The AUC ROC of a diagnostic score based on these parameters was 0.76 and 0.82 in the generation and validation cohorts, respectively.

Conclusions: In this observational study, age, male sex, LES-CD distance, EGJ-CI, and DCI (AGES-D) were independently associated with GERD. A novel score incorporating these parameters could be useful in the assessment of inconclusive cases.

求助全文
通过发布文献求助,成功后即可免费获取论文全文。 去求助
来源期刊
自引率
0.00%
发文量
0
×
引用
GB/T 7714-2015
复制
MLA
复制
APA
复制
导出至
BibTeX EndNote RefMan NoteFirst NoteExpress
×
提示
您的信息不完整,为了账户安全,请先补充。
现在去补充
×
提示
您因"违规操作"
具体请查看互助需知
我知道了
×
提示
确定
请完成安全验证×
copy
已复制链接
快去分享给好友吧!
我知道了
右上角分享
点击右上角分享
0
联系我们:info@booksci.cn Book学术提供免费学术资源搜索服务,方便国内外学者检索中英文文献。致力于提供最便捷和优质的服务体验。 Copyright © 2023 布克学术 All rights reserved.
京ICP备2023020795号-1
ghs 京公网安备 11010802042870号
Book学术文献互助
Book学术文献互助群
群 号:604180095
Book学术官方微信