改用日用一次性硅胶水凝胶隐形眼镜后的主观评分和客观评价。

Clinical ophthalmology (Auckland, N.Z.) Pub Date : 2025-09-06 eCollection Date: 2025-01-01 DOI:10.2147/OPTH.S538886
Ya-Yu Chen, Ren-Yu Yang, Han-Yin Sun
{"title":"改用日用一次性硅胶水凝胶隐形眼镜后的主观评分和客观评价。","authors":"Ya-Yu Chen, Ren-Yu Yang, Han-Yin Sun","doi":"10.2147/OPTH.S538886","DOIUrl":null,"url":null,"abstract":"<p><strong>Purpose: </strong>To evaluate both subjective grading and objective assessments associated with switching from habitual silicone hydrogel daily disposable contact lenses to verofilcon A lenses (study lenses) among young Asian individuals, and to investigate the relationship between these subjective and objective measures.</p><p><strong>Patients and methods: </strong>58 participants wore study lenses for 8-10 hours daily for a week. Subjective assessments, including comfort, visual quality, and eye dryness, were conducted using a numerical rating scale (0-100) on the first and seventh day. Noninvasive tear breakup time (NITBUT), bulbar conjunctival redness (BR), tear meniscus height (TMH), and meibography were measured with the Keratograph M5 at baseline, the first and the seventh day.</p><p><strong>Results: </strong>After the seventh day, subjective ratings showed increased comfort and decreased visual quality and dryness. Comfort and visual quality scores on the first and seventh days were above 85 points, with no significant differences. The average NITBUT significantly improved 15 minutes and 8 hours post-lens application compared to baseline measures (<i>P</i> = 0.019). Tear meniscus height was highest at baseline, with a marginal decrease observed following both 15 minutes and 8 hours of study lenses wear (<i>P</i> < 0.001). The most pronounced bulbar conjunctival redness was noted at baseline, decreasing significantly after switching to study lenses (<i>P</i> = 0.002). Notably, NITBUT was found to be significantly positively correlated with comfort (<i>P</i> < 0.05).</p><p><strong>Conclusion: </strong>The switch to daily disposable study lenses resulted in maintained comfort and improved tear film stability in the young Asian population. A significant positive correlation was observed between NITBUT and subjective measures of comfort.</p>","PeriodicalId":93945,"journal":{"name":"Clinical ophthalmology (Auckland, N.Z.)","volume":"19 ","pages":"3273-3281"},"PeriodicalIF":0.0000,"publicationDate":"2025-09-06","publicationTypes":"Journal Article","fieldsOfStudy":null,"isOpenAccess":false,"openAccessPdf":"https://www.ncbi.nlm.nih.gov/pmc/articles/PMC12422125/pdf/","citationCount":"0","resultStr":"{\"title\":\"Subjective Grading and Objective Assessment After Switching to a Daily Disposable Silicone Hydrogel Contact Lens.\",\"authors\":\"Ya-Yu Chen, Ren-Yu Yang, Han-Yin Sun\",\"doi\":\"10.2147/OPTH.S538886\",\"DOIUrl\":null,\"url\":null,\"abstract\":\"<p><strong>Purpose: </strong>To evaluate both subjective grading and objective assessments associated with switching from habitual silicone hydrogel daily disposable contact lenses to verofilcon A lenses (study lenses) among young Asian individuals, and to investigate the relationship between these subjective and objective measures.</p><p><strong>Patients and methods: </strong>58 participants wore study lenses for 8-10 hours daily for a week. Subjective assessments, including comfort, visual quality, and eye dryness, were conducted using a numerical rating scale (0-100) on the first and seventh day. Noninvasive tear breakup time (NITBUT), bulbar conjunctival redness (BR), tear meniscus height (TMH), and meibography were measured with the Keratograph M5 at baseline, the first and the seventh day.</p><p><strong>Results: </strong>After the seventh day, subjective ratings showed increased comfort and decreased visual quality and dryness. Comfort and visual quality scores on the first and seventh days were above 85 points, with no significant differences. The average NITBUT significantly improved 15 minutes and 8 hours post-lens application compared to baseline measures (<i>P</i> = 0.019). Tear meniscus height was highest at baseline, with a marginal decrease observed following both 15 minutes and 8 hours of study lenses wear (<i>P</i> < 0.001). The most pronounced bulbar conjunctival redness was noted at baseline, decreasing significantly after switching to study lenses (<i>P</i> = 0.002). Notably, NITBUT was found to be significantly positively correlated with comfort (<i>P</i> < 0.05).</p><p><strong>Conclusion: </strong>The switch to daily disposable study lenses resulted in maintained comfort and improved tear film stability in the young Asian population. A significant positive correlation was observed between NITBUT and subjective measures of comfort.</p>\",\"PeriodicalId\":93945,\"journal\":{\"name\":\"Clinical ophthalmology (Auckland, N.Z.)\",\"volume\":\"19 \",\"pages\":\"3273-3281\"},\"PeriodicalIF\":0.0000,\"publicationDate\":\"2025-09-06\",\"publicationTypes\":\"Journal Article\",\"fieldsOfStudy\":null,\"isOpenAccess\":false,\"openAccessPdf\":\"https://www.ncbi.nlm.nih.gov/pmc/articles/PMC12422125/pdf/\",\"citationCount\":\"0\",\"resultStr\":null,\"platform\":\"Semanticscholar\",\"paperid\":null,\"PeriodicalName\":\"Clinical ophthalmology (Auckland, N.Z.)\",\"FirstCategoryId\":\"1085\",\"ListUrlMain\":\"https://doi.org/10.2147/OPTH.S538886\",\"RegionNum\":0,\"RegionCategory\":null,\"ArticlePicture\":[],\"TitleCN\":null,\"AbstractTextCN\":null,\"PMCID\":null,\"EPubDate\":\"2025/1/1 0:00:00\",\"PubModel\":\"eCollection\",\"JCR\":\"\",\"JCRName\":\"\",\"Score\":null,\"Total\":0}","platform":"Semanticscholar","paperid":null,"PeriodicalName":"Clinical ophthalmology (Auckland, N.Z.)","FirstCategoryId":"1085","ListUrlMain":"https://doi.org/10.2147/OPTH.S538886","RegionNum":0,"RegionCategory":null,"ArticlePicture":[],"TitleCN":null,"AbstractTextCN":null,"PMCID":null,"EPubDate":"2025/1/1 0:00:00","PubModel":"eCollection","JCR":"","JCRName":"","Score":null,"Total":0}
引用次数: 0

摘要

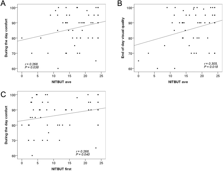
目的:评估亚洲年轻人从习惯性硅胶水凝胶每日一次性隐形眼镜转向维菲康A型隐形眼镜(研究用隐形眼镜)的主观评分和客观评估,并调查这些主观和客观指标之间的关系。患者和方法:58名参与者连续一周每天佩戴研究镜片8-10小时。主观评估,包括舒适度、视觉质量和眼睛干燥度,在第一天和第七天使用数字评分量表(0-100)进行。在基线、第1天和第7天用M5角膜摄影仪测量无创撕裂时间(NITBUT)、球结膜红度(BR)、撕裂半月板高度(TMH)和meibography。结果:第七天之后,主观评分显示舒适度增加,视觉质量和干燥度下降。第1天和第7天的舒适度和视觉质量得分均在85分以上,没有显著差异。与基线测量相比,平均NITBUT在使用晶状体后15分钟和8小时显着改善(P = 0.019)。撕裂半月板高度在基线时最高,在研究镜片佩戴15分钟和8小时后观察到边缘下降(P < 0.001)。在基线时观察到最明显的球结膜发红,在切换到研究镜片后显著减少(P = 0.002)。值得注意的是,NITBUT被发现与舒适度显著正相关(P)。结论:在亚洲年轻人中,改用日常使用的一次性隐形眼镜保持了舒适度,改善了泪膜的稳定性。NITBUT与主观舒适度之间存在显著的正相关。
本文章由计算机程序翻译,如有差异,请以英文原文为准。

Subjective Grading and Objective Assessment After Switching to a Daily Disposable Silicone Hydrogel Contact Lens.

Subjective Grading and Objective Assessment After Switching to a Daily Disposable Silicone Hydrogel Contact Lens.

Subjective Grading and Objective Assessment After Switching to a Daily Disposable Silicone Hydrogel Contact Lens.

Purpose: To evaluate both subjective grading and objective assessments associated with switching from habitual silicone hydrogel daily disposable contact lenses to verofilcon A lenses (study lenses) among young Asian individuals, and to investigate the relationship between these subjective and objective measures.

Patients and methods: 58 participants wore study lenses for 8-10 hours daily for a week. Subjective assessments, including comfort, visual quality, and eye dryness, were conducted using a numerical rating scale (0-100) on the first and seventh day. Noninvasive tear breakup time (NITBUT), bulbar conjunctival redness (BR), tear meniscus height (TMH), and meibography were measured with the Keratograph M5 at baseline, the first and the seventh day.

Results: After the seventh day, subjective ratings showed increased comfort and decreased visual quality and dryness. Comfort and visual quality scores on the first and seventh days were above 85 points, with no significant differences. The average NITBUT significantly improved 15 minutes and 8 hours post-lens application compared to baseline measures (P = 0.019). Tear meniscus height was highest at baseline, with a marginal decrease observed following both 15 minutes and 8 hours of study lenses wear (P < 0.001). The most pronounced bulbar conjunctival redness was noted at baseline, decreasing significantly after switching to study lenses (P = 0.002). Notably, NITBUT was found to be significantly positively correlated with comfort (P < 0.05).

Conclusion: The switch to daily disposable study lenses resulted in maintained comfort and improved tear film stability in the young Asian population. A significant positive correlation was observed between NITBUT and subjective measures of comfort.

求助全文
通过发布文献求助,成功后即可免费获取论文全文。 去求助
来源期刊
CiteScore
4.10
自引率
0.00%
发文量
0
×
引用
GB/T 7714-2015
复制
MLA
复制
APA
复制
导出至
BibTeX EndNote RefMan NoteFirst NoteExpress
×
提示
您的信息不完整,为了账户安全,请先补充。
现在去补充
×
提示
您因"违规操作"
具体请查看互助需知
我知道了
×
提示
确定
请完成安全验证×
copy
已复制链接
快去分享给好友吧!
我知道了
右上角分享
点击右上角分享
0
联系我们:info@booksci.cn Book学术提供免费学术资源搜索服务,方便国内外学者检索中英文文献。致力于提供最便捷和优质的服务体验。 Copyright © 2023 布克学术 All rights reserved.
京ICP备2023020795号-1
ghs 京公网安备 11010802042870号
Book学术文献互助
Book学术文献互助群
群 号:604180095
Book学术官方微信