阿尔茨海默病的血液生物标志物:肾和血脑屏障功能的可靠变化和影响。

IF 4.4 Q1 CLINICAL NEUROLOGY
Anders Behrens, Peter Anderberg, Johan Sanmartin Berglund, Malena Cianchetta-Sivoriceruti, Ana Luiza Dallora
{"title":"阿尔茨海默病的血液生物标志物:肾和血脑屏障功能的可靠变化和影响。","authors":"Anders Behrens, Peter Anderberg, Johan Sanmartin Berglund, Malena Cianchetta-Sivoriceruti, Ana Luiza Dallora","doi":"10.1002/dad2.70181","DOIUrl":null,"url":null,"abstract":"<p><strong>Introduction: </strong>Blood-based biomarkers for Alzheimer's disease (AD) have the potential to improve diagnostic accessibility, but their clinical interpretation requires understanding of variability and biological influences.</p><p><strong>Methods: </strong>We repeatedly sampled blood from 57 adults referred for lumbar puncture as part of a cognitive evaluation at a memory clinic. We measured serum phosphorylated- tau-181 (s-p-tau181) and plasma amyloid beta (Aβ)42/40 ratio (p-Aβ42/Aβ40) and evaluated the impact of renal and blood-brain barrier (BBB) function.</p><p><strong>Results: </strong>Test-retest analysis revealed large variability of s-p-tau181 and small for p-Aβ42/Aβ40. Markers of renal function and BBB integrity significantly influenced s-p-tau181 levels, whereas p-Aβ42/Aβ40 was not affected.</p><p><strong>Discussion: </strong>This study emphasizes the need for caution when interpreting longitudinal changes in s-p-tau181. Inter-individual variability is to a large degree due to susceptibility to biological influences where a novel association with integrity of BBB function were identified. These results have implications for the clinical application of blood-based biomarkers in AD diagnostics and monitoring.</p><p><strong>Highlights: </strong>Blood phosphorylated- tau-181 (p-tau181) shows high test-retest variability in memory clinic patients.Blood amyloid beta (Aβ)42/Aβ40 ratio is stable but has poor diagnostic accuracy.Renal function and blood-brain barrier (BBB) integrity affect blood p-tau181 levels.Caution is needed when interpreting longitudinal changes in blood p-tau181.Renal and BBB disorders should be considered when assessing blood p-tau181.</p>","PeriodicalId":53226,"journal":{"name":"Alzheimer''s and Dementia: Diagnosis, Assessment and Disease Monitoring","volume":"17 3","pages":"e70181"},"PeriodicalIF":4.4000,"publicationDate":"2025-09-08","publicationTypes":"Journal Article","fieldsOfStudy":null,"isOpenAccess":false,"openAccessPdf":"https://www.ncbi.nlm.nih.gov/pmc/articles/PMC12417335/pdf/","citationCount":"0","resultStr":"{\"title\":\"Blood biomarkers for Alzheimer's disease: Reliable change and impacts of renal and blood-brain barrier function.\",\"authors\":\"Anders Behrens, Peter Anderberg, Johan Sanmartin Berglund, Malena Cianchetta-Sivoriceruti, Ana Luiza Dallora\",\"doi\":\"10.1002/dad2.70181\",\"DOIUrl\":null,\"url\":null,\"abstract\":\"<p><strong>Introduction: </strong>Blood-based biomarkers for Alzheimer's disease (AD) have the potential to improve diagnostic accessibility, but their clinical interpretation requires understanding of variability and biological influences.</p><p><strong>Methods: </strong>We repeatedly sampled blood from 57 adults referred for lumbar puncture as part of a cognitive evaluation at a memory clinic. We measured serum phosphorylated- tau-181 (s-p-tau181) and plasma amyloid beta (Aβ)42/40 ratio (p-Aβ42/Aβ40) and evaluated the impact of renal and blood-brain barrier (BBB) function.</p><p><strong>Results: </strong>Test-retest analysis revealed large variability of s-p-tau181 and small for p-Aβ42/Aβ40. Markers of renal function and BBB integrity significantly influenced s-p-tau181 levels, whereas p-Aβ42/Aβ40 was not affected.</p><p><strong>Discussion: </strong>This study emphasizes the need for caution when interpreting longitudinal changes in s-p-tau181. Inter-individual variability is to a large degree due to susceptibility to biological influences where a novel association with integrity of BBB function were identified. These results have implications for the clinical application of blood-based biomarkers in AD diagnostics and monitoring.</p><p><strong>Highlights: </strong>Blood phosphorylated- tau-181 (p-tau181) shows high test-retest variability in memory clinic patients.Blood amyloid beta (Aβ)42/Aβ40 ratio is stable but has poor diagnostic accuracy.Renal function and blood-brain barrier (BBB) integrity affect blood p-tau181 levels.Caution is needed when interpreting longitudinal changes in blood p-tau181.Renal and BBB disorders should be considered when assessing blood p-tau181.</p>\",\"PeriodicalId\":53226,\"journal\":{\"name\":\"Alzheimer''s and Dementia: Diagnosis, Assessment and Disease Monitoring\",\"volume\":\"17 3\",\"pages\":\"e70181\"},\"PeriodicalIF\":4.4000,\"publicationDate\":\"2025-09-08\",\"publicationTypes\":\"Journal Article\",\"fieldsOfStudy\":null,\"isOpenAccess\":false,\"openAccessPdf\":\"https://www.ncbi.nlm.nih.gov/pmc/articles/PMC12417335/pdf/\",\"citationCount\":\"0\",\"resultStr\":null,\"platform\":\"Semanticscholar\",\"paperid\":null,\"PeriodicalName\":\"Alzheimer''s and Dementia: Diagnosis, Assessment and Disease Monitoring\",\"FirstCategoryId\":\"1085\",\"ListUrlMain\":\"https://doi.org/10.1002/dad2.70181\",\"RegionNum\":0,\"RegionCategory\":null,\"ArticlePicture\":[],\"TitleCN\":null,\"AbstractTextCN\":null,\"PMCID\":null,\"EPubDate\":\"2025/7/1 0:00:00\",\"PubModel\":\"eCollection\",\"JCR\":\"Q1\",\"JCRName\":\"CLINICAL NEUROLOGY\",\"Score\":null,\"Total\":0}","platform":"Semanticscholar","paperid":null,"PeriodicalName":"Alzheimer''s and Dementia: Diagnosis, Assessment and Disease Monitoring","FirstCategoryId":"1085","ListUrlMain":"https://doi.org/10.1002/dad2.70181","RegionNum":0,"RegionCategory":null,"ArticlePicture":[],"TitleCN":null,"AbstractTextCN":null,"PMCID":null,"EPubDate":"2025/7/1 0:00:00","PubModel":"eCollection","JCR":"Q1","JCRName":"CLINICAL NEUROLOGY","Score":null,"Total":0}
引用次数: 0

摘要

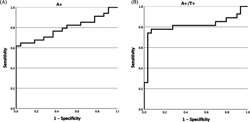
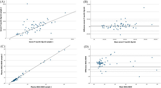
基于血液的阿尔茨海默病(AD)生物标志物具有提高诊断可及性的潜力,但其临床解释需要了解变异性和生物学影响。方法:我们反复抽取57名成年人的血液样本,作为记忆诊所认知评估的一部分,他们接受腰椎穿刺治疗。我们测量了血清磷酸化- tau-181 (s-p-tau181)和血浆β淀粉样蛋白(Aβ)42/40比值(p-Aβ42/Aβ40),并评估了肾和血脑屏障(BBB)功能的影响。结果:重测分析显示s-p-tau181变异较大,而p- a - β42/ a - β40变异较小。肾功能和血脑屏障完整性标志物显著影响s-p-tau181水平,而p- a - β42/ a - β40不受影响。讨论:本研究强调在解释s-p-tau1的纵向变化时需要谨慎。个体间差异在很大程度上是由于生物影响的易感性,其中发现了与血脑屏障功能完整性的新关联。这些结果对基于血液的生物标志物在AD诊断和监测中的临床应用具有重要意义。重点:血液磷酸化- tau-181 (p-tau181)在记忆临床患者中显示出很高的重测变异性。血β淀粉样蛋白(Aβ)42/Aβ40比值稳定,但诊断准确性差。肾功能和血脑屏障(BBB)完整性影响血液p-tau181水平。在解释血液中p-tau181的纵向变化时需要谨慎。在评估血液p-tau181时应考虑肾脏和血脑屏障疾病。
本文章由计算机程序翻译,如有差异,请以英文原文为准。

Blood biomarkers for Alzheimer's disease: Reliable change and impacts of renal and blood-brain barrier function.

Blood biomarkers for Alzheimer's disease: Reliable change and impacts of renal and blood-brain barrier function.

Blood biomarkers for Alzheimer's disease: Reliable change and impacts of renal and blood-brain barrier function.

Introduction: Blood-based biomarkers for Alzheimer's disease (AD) have the potential to improve diagnostic accessibility, but their clinical interpretation requires understanding of variability and biological influences.

Methods: We repeatedly sampled blood from 57 adults referred for lumbar puncture as part of a cognitive evaluation at a memory clinic. We measured serum phosphorylated- tau-181 (s-p-tau181) and plasma amyloid beta (Aβ)42/40 ratio (p-Aβ42/Aβ40) and evaluated the impact of renal and blood-brain barrier (BBB) function.

Results: Test-retest analysis revealed large variability of s-p-tau181 and small for p-Aβ42/Aβ40. Markers of renal function and BBB integrity significantly influenced s-p-tau181 levels, whereas p-Aβ42/Aβ40 was not affected.

Discussion: This study emphasizes the need for caution when interpreting longitudinal changes in s-p-tau181. Inter-individual variability is to a large degree due to susceptibility to biological influences where a novel association with integrity of BBB function were identified. These results have implications for the clinical application of blood-based biomarkers in AD diagnostics and monitoring.

Highlights: Blood phosphorylated- tau-181 (p-tau181) shows high test-retest variability in memory clinic patients.Blood amyloid beta (Aβ)42/Aβ40 ratio is stable but has poor diagnostic accuracy.Renal function and blood-brain barrier (BBB) integrity affect blood p-tau181 levels.Caution is needed when interpreting longitudinal changes in blood p-tau181.Renal and BBB disorders should be considered when assessing blood p-tau181.

求助全文
通过发布文献求助,成功后即可免费获取论文全文。 去求助
来源期刊
CiteScore
7.80
自引率
7.50%
发文量
101
审稿时长
8 weeks
期刊介绍: Alzheimer''s & Dementia: Diagnosis, Assessment & Disease Monitoring (DADM) is an open access, peer-reviewed, journal from the Alzheimer''s Association® that will publish new research that reports the discovery, development and validation of instruments, technologies, algorithms, and innovative processes. Papers will cover a range of topics interested in the early and accurate detection of individuals with memory complaints and/or among asymptomatic individuals at elevated risk for various forms of memory disorders. The expectation for published papers will be to translate fundamental knowledge about the neurobiology of the disease into practical reports that describe both the conceptual and methodological aspects of the submitted scientific inquiry. Published topics will explore the development of biomarkers, surrogate markers, and conceptual/methodological challenges. Publication priority will be given to papers that 1) describe putative surrogate markers that accurately track disease progression, 2) biomarkers that fulfill international regulatory requirements, 3) reports from large, well-characterized population-based cohorts that comprise the heterogeneity and diversity of asymptomatic individuals and 4) algorithmic development that considers multi-marker arrays (e.g., integrated-omics, genetics, biofluids, imaging, etc.) and advanced computational analytics and technologies.
×
引用
GB/T 7714-2015
复制
MLA
复制
APA
复制
导出至
BibTeX EndNote RefMan NoteFirst NoteExpress
×
提示
您的信息不完整,为了账户安全,请先补充。
现在去补充
×
提示
您因"违规操作"
具体请查看互助需知
我知道了
×
提示
确定
请完成安全验证×
copy
已复制链接
快去分享给好友吧!
我知道了
右上角分享
点击右上角分享
0
联系我们:info@booksci.cn Book学术提供免费学术资源搜索服务,方便国内外学者检索中英文文献。致力于提供最便捷和优质的服务体验。 Copyright © 2023 布克学术 All rights reserved.
京ICP备2023020795号-1
ghs 京公网安备 11010802042870号
Book学术文献互助
Book学术文献互助群
群 号:604180095
Book学术官方微信