推进航空视力标准:采用循证方法。

IF 2.3 4区 心理学 Q2 OPHTHALMOLOGY
Allison Lynch, Ewa Niechwiej-Szwedo, Shi Cao, Suzanne Kearns, Elizabeth Irving
{"title":"推进航空视力标准:采用循证方法。","authors":"Allison Lynch, Ewa Niechwiej-Szwedo, Shi Cao, Suzanne Kearns, Elizabeth Irving","doi":"10.1167/jov.25.11.10","DOIUrl":null,"url":null,"abstract":"<p><p>This study explores the relationship between visual acuity, contrast sensitivity, and pilot performance in simulated flight scenarios, including poor weather conditions, attempting to determine minimum visual requirements for safe flight. Twenty-six participants with normal or corrected-to-normal vision and varying flight experience (0-400 flight hours) completed simulated flight circuits under different weather conditions (e.g., rain, wind) using either Cambridge Simulation Glasses or defocusing lenses to degrade vision. Flight performance was assessed subjectively by an instructor using standardized criteria and objectively via simulator data. Visual acuity and contrast sensitivity were measured at each level of visual degradation. Mixed model analysis of variance revealed significant differences in the variability of vertical speed, pitch, roll, and the slope of altitude descent as a function of vision degradation level and weather conditions. There was also a significant main effect of vision degradation type (scatter or defocus) on the slope of altitude descent. Post hoc analyses indicated flight performance was first affected at 1.0 and 1.3 logarithm of the minimum angle of resolution degradation with scattering and defocusing lenses, respectively. These results suggest that current vision standards should potentially be reevaluated for them to be more based on evidence.</p>","PeriodicalId":49955,"journal":{"name":"Journal of Vision","volume":"25 11","pages":"10"},"PeriodicalIF":2.3000,"publicationDate":"2025-09-02","publicationTypes":"Journal Article","fieldsOfStudy":null,"isOpenAccess":false,"openAccessPdf":"https://www.ncbi.nlm.nih.gov/pmc/articles/PMC12439511/pdf/","citationCount":"0","resultStr":"{\"title\":\"Advancing vision standards in aviation: Embracing evidence-based approaches.\",\"authors\":\"Allison Lynch, Ewa Niechwiej-Szwedo, Shi Cao, Suzanne Kearns, Elizabeth Irving\",\"doi\":\"10.1167/jov.25.11.10\",\"DOIUrl\":null,\"url\":null,\"abstract\":\"<p><p>This study explores the relationship between visual acuity, contrast sensitivity, and pilot performance in simulated flight scenarios, including poor weather conditions, attempting to determine minimum visual requirements for safe flight. Twenty-six participants with normal or corrected-to-normal vision and varying flight experience (0-400 flight hours) completed simulated flight circuits under different weather conditions (e.g., rain, wind) using either Cambridge Simulation Glasses or defocusing lenses to degrade vision. Flight performance was assessed subjectively by an instructor using standardized criteria and objectively via simulator data. Visual acuity and contrast sensitivity were measured at each level of visual degradation. Mixed model analysis of variance revealed significant differences in the variability of vertical speed, pitch, roll, and the slope of altitude descent as a function of vision degradation level and weather conditions. There was also a significant main effect of vision degradation type (scatter or defocus) on the slope of altitude descent. Post hoc analyses indicated flight performance was first affected at 1.0 and 1.3 logarithm of the minimum angle of resolution degradation with scattering and defocusing lenses, respectively. These results suggest that current vision standards should potentially be reevaluated for them to be more based on evidence.</p>\",\"PeriodicalId\":49955,\"journal\":{\"name\":\"Journal of Vision\",\"volume\":\"25 11\",\"pages\":\"10\"},\"PeriodicalIF\":2.3000,\"publicationDate\":\"2025-09-02\",\"publicationTypes\":\"Journal Article\",\"fieldsOfStudy\":null,\"isOpenAccess\":false,\"openAccessPdf\":\"https://www.ncbi.nlm.nih.gov/pmc/articles/PMC12439511/pdf/\",\"citationCount\":\"0\",\"resultStr\":null,\"platform\":\"Semanticscholar\",\"paperid\":null,\"PeriodicalName\":\"Journal of Vision\",\"FirstCategoryId\":\"3\",\"ListUrlMain\":\"https://doi.org/10.1167/jov.25.11.10\",\"RegionNum\":4,\"RegionCategory\":\"心理学\",\"ArticlePicture\":[],\"TitleCN\":null,\"AbstractTextCN\":null,\"PMCID\":null,\"EPubDate\":\"\",\"PubModel\":\"\",\"JCR\":\"Q2\",\"JCRName\":\"OPHTHALMOLOGY\",\"Score\":null,\"Total\":0}","platform":"Semanticscholar","paperid":null,"PeriodicalName":"Journal of Vision","FirstCategoryId":"3","ListUrlMain":"https://doi.org/10.1167/jov.25.11.10","RegionNum":4,"RegionCategory":"心理学","ArticlePicture":[],"TitleCN":null,"AbstractTextCN":null,"PMCID":null,"EPubDate":"","PubModel":"","JCR":"Q2","JCRName":"OPHTHALMOLOGY","Score":null,"Total":0}
引用次数: 0

摘要

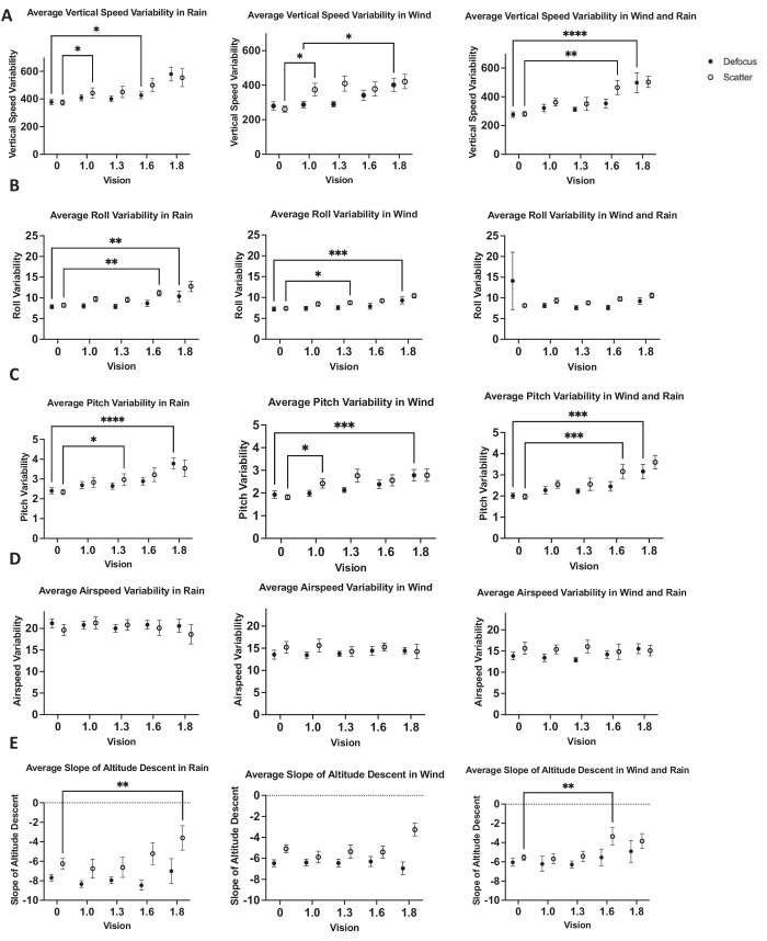
本研究探讨了包括恶劣天气条件在内的模拟飞行场景中,视觉敏锐度、对比敏感度和飞行员表现之间的关系,试图确定安全飞行的最低视觉要求。26名具有正常或矫正至正常视力和不同飞行经验(0-400飞行小时)的参与者使用剑桥模拟眼镜或散焦镜片在不同天气条件(如雨、风)下完成模拟飞行回路。飞行性能主观上由指导员使用标准化标准进行评估,客观上通过模拟器数据进行评估。在视觉退化的各个阶段测量视敏度和对比敏感度。混合模型方差分析显示,垂直速度、俯仰、横摇和高度下降斜率随视觉退化程度和天气条件的变化有显著差异。视觉退化类型(散焦或离焦)对海拔下降坡度也有显著的主要影响。事后分析表明,在散射透镜和离焦透镜的最小分辨率退化角分别为1.0和1.3对数时,飞行性能首先受到影响。这些结果表明,目前的视力标准可能需要重新评估,以更多地基于证据。
本文章由计算机程序翻译,如有差异,请以英文原文为准。

Advancing vision standards in aviation: Embracing evidence-based approaches.

Advancing vision standards in aviation: Embracing evidence-based approaches.

Advancing vision standards in aviation: Embracing evidence-based approaches.

Advancing vision standards in aviation: Embracing evidence-based approaches.

This study explores the relationship between visual acuity, contrast sensitivity, and pilot performance in simulated flight scenarios, including poor weather conditions, attempting to determine minimum visual requirements for safe flight. Twenty-six participants with normal or corrected-to-normal vision and varying flight experience (0-400 flight hours) completed simulated flight circuits under different weather conditions (e.g., rain, wind) using either Cambridge Simulation Glasses or defocusing lenses to degrade vision. Flight performance was assessed subjectively by an instructor using standardized criteria and objectively via simulator data. Visual acuity and contrast sensitivity were measured at each level of visual degradation. Mixed model analysis of variance revealed significant differences in the variability of vertical speed, pitch, roll, and the slope of altitude descent as a function of vision degradation level and weather conditions. There was also a significant main effect of vision degradation type (scatter or defocus) on the slope of altitude descent. Post hoc analyses indicated flight performance was first affected at 1.0 and 1.3 logarithm of the minimum angle of resolution degradation with scattering and defocusing lenses, respectively. These results suggest that current vision standards should potentially be reevaluated for them to be more based on evidence.

求助全文
通过发布文献求助,成功后即可免费获取论文全文。 去求助
来源期刊
Journal of Vision
Journal of Vision 医学-眼科学
CiteScore
2.90
自引率
5.60%
发文量
218
审稿时长
3-6 weeks
期刊介绍: Exploring all aspects of biological visual function, including spatial vision, perception, low vision, color vision and more, spanning the fields of neuroscience, psychology and psychophysics.
×
引用
GB/T 7714-2015
复制
MLA
复制
APA
复制
导出至
BibTeX EndNote RefMan NoteFirst NoteExpress
×
提示
您的信息不完整,为了账户安全,请先补充。
现在去补充
×
提示
您因"违规操作"
具体请查看互助需知
我知道了
×
提示
确定
请完成安全验证×
copy
已复制链接
快去分享给好友吧!
我知道了
右上角分享
点击右上角分享
0
联系我们:info@booksci.cn Book学术提供免费学术资源搜索服务,方便国内外学者检索中英文文献。致力于提供最便捷和优质的服务体验。 Copyright © 2023 布克学术 All rights reserved.
京ICP备2023020795号-1
ghs 京公网安备 11010802042870号
Book学术文献互助
Book学术文献互助群
群 号:604180095
Book学术官方微信