虚弱对慢性阻塞性肺疾病患者主要不良心血管事件的影响

IF 3.1 3区 医学 Q2 RESPIRATORY SYSTEM
Kazuki Hamada, Keiji Oishi, Tasuku Yamamoto, Yoriyuki Murata, Maki Asami-Noyama, Nobutaka Edakuni, Tsunahiko Hirano, Takeshi Abe, Masahiko Nakatsui, Yoshiyuki Asai, Kazuto Matsunaga
{"title":"虚弱对慢性阻塞性肺疾病患者主要不良心血管事件的影响","authors":"Kazuki Hamada, Keiji Oishi, Tasuku Yamamoto, Yoriyuki Murata, Maki Asami-Noyama, Nobutaka Edakuni, Tsunahiko Hirano, Takeshi Abe, Masahiko Nakatsui, Yoshiyuki Asai, Kazuto Matsunaga","doi":"10.2147/COPD.S538054","DOIUrl":null,"url":null,"abstract":"<p><strong>Purpose: </strong>Chronic obstructive pulmonary disease (COPD) is associated with frailty and leads to poor outcomes. The relationship between COPD and cardiovascular events is well established. However, the impact of frailty on cardiovascular events in COPD patients remains unknown. We aimed to evaluate the long-term association between frailty, assessed using the hospital frailty risk score (HFRS), and major adverse cardiovascular events (MACE) in COPD patients.</p><p><strong>Patients and methods: </strong>We recruited Japanese patients with COPD between 2013 and 2023 from Sado-Himawari Net, a regional electronic health record system in Sado City, Niigata Prefecture, Japan. MACE were defined as a composite of acute coronary syndrome, heart failure, and stroke. We classified the participants into four frailty categories according to HFRS: no-frailty with HFRS=0, low with HFRS >0 and <5, intermediate with HFRS ≥5 and <15, and high with HFRS ≥15. We used a Cox regression model adjusted for age, sex, inhaled treatments, and comorbidities to evaluate the hazard ratio (HR) for MACE.</p><p><strong>Results: </strong>We recruited 1527 patients with COPD. In multivariable analysis, COPD was associated with MACE as follows: no-frailty versus low HFRS (HR, 1.47 [95% confidence interval, 1.01-2.14], p<0.05), intermediate HFRS (HR 2.00 [1.34-2.97], p<0.001), and high HFRS (HR 2.62 [1.50-4.59], p<0.001). Similar relationships were observed even after adjusting for the severity of airflow limitation and COPD exacerbation.</p><p><strong>Conclusion: </strong>Frailty was independently associated with MACE in COPD patients during the 10-year follow-up period. Frailty assessment supports the identification of patients with COPD at risk of MACE.</p>","PeriodicalId":48818,"journal":{"name":"International Journal of Chronic Obstructive Pulmonary Disease","volume":"20 ","pages":"3111-3122"},"PeriodicalIF":3.1000,"publicationDate":"2025-09-04","publicationTypes":"Journal Article","fieldsOfStudy":null,"isOpenAccess":false,"openAccessPdf":"https://www.ncbi.nlm.nih.gov/pmc/articles/PMC12417696/pdf/","citationCount":"0","resultStr":"{\"title\":\"Impact of Frailty on Major Adverse Cardiovascular Events in Chronic Obstructive Pulmonary Disease.\",\"authors\":\"Kazuki Hamada, Keiji Oishi, Tasuku Yamamoto, Yoriyuki Murata, Maki Asami-Noyama, Nobutaka Edakuni, Tsunahiko Hirano, Takeshi Abe, Masahiko Nakatsui, Yoshiyuki Asai, Kazuto Matsunaga\",\"doi\":\"10.2147/COPD.S538054\",\"DOIUrl\":null,\"url\":null,\"abstract\":\"<p><strong>Purpose: </strong>Chronic obstructive pulmonary disease (COPD) is associated with frailty and leads to poor outcomes. The relationship between COPD and cardiovascular events is well established. However, the impact of frailty on cardiovascular events in COPD patients remains unknown. We aimed to evaluate the long-term association between frailty, assessed using the hospital frailty risk score (HFRS), and major adverse cardiovascular events (MACE) in COPD patients.</p><p><strong>Patients and methods: </strong>We recruited Japanese patients with COPD between 2013 and 2023 from Sado-Himawari Net, a regional electronic health record system in Sado City, Niigata Prefecture, Japan. MACE were defined as a composite of acute coronary syndrome, heart failure, and stroke. We classified the participants into four frailty categories according to HFRS: no-frailty with HFRS=0, low with HFRS >0 and <5, intermediate with HFRS ≥5 and <15, and high with HFRS ≥15. We used a Cox regression model adjusted for age, sex, inhaled treatments, and comorbidities to evaluate the hazard ratio (HR) for MACE.</p><p><strong>Results: </strong>We recruited 1527 patients with COPD. In multivariable analysis, COPD was associated with MACE as follows: no-frailty versus low HFRS (HR, 1.47 [95% confidence interval, 1.01-2.14], p<0.05), intermediate HFRS (HR 2.00 [1.34-2.97], p<0.001), and high HFRS (HR 2.62 [1.50-4.59], p<0.001). Similar relationships were observed even after adjusting for the severity of airflow limitation and COPD exacerbation.</p><p><strong>Conclusion: </strong>Frailty was independently associated with MACE in COPD patients during the 10-year follow-up period. Frailty assessment supports the identification of patients with COPD at risk of MACE.</p>\",\"PeriodicalId\":48818,\"journal\":{\"name\":\"International Journal of Chronic Obstructive Pulmonary Disease\",\"volume\":\"20 \",\"pages\":\"3111-3122\"},\"PeriodicalIF\":3.1000,\"publicationDate\":\"2025-09-04\",\"publicationTypes\":\"Journal Article\",\"fieldsOfStudy\":null,\"isOpenAccess\":false,\"openAccessPdf\":\"https://www.ncbi.nlm.nih.gov/pmc/articles/PMC12417696/pdf/\",\"citationCount\":\"0\",\"resultStr\":null,\"platform\":\"Semanticscholar\",\"paperid\":null,\"PeriodicalName\":\"International Journal of Chronic Obstructive Pulmonary Disease\",\"FirstCategoryId\":\"3\",\"ListUrlMain\":\"https://doi.org/10.2147/COPD.S538054\",\"RegionNum\":3,\"RegionCategory\":\"医学\",\"ArticlePicture\":[],\"TitleCN\":null,\"AbstractTextCN\":null,\"PMCID\":null,\"EPubDate\":\"2025/1/1 0:00:00\",\"PubModel\":\"eCollection\",\"JCR\":\"Q2\",\"JCRName\":\"RESPIRATORY SYSTEM\",\"Score\":null,\"Total\":0}","platform":"Semanticscholar","paperid":null,"PeriodicalName":"International Journal of Chronic Obstructive Pulmonary Disease","FirstCategoryId":"3","ListUrlMain":"https://doi.org/10.2147/COPD.S538054","RegionNum":3,"RegionCategory":"医学","ArticlePicture":[],"TitleCN":null,"AbstractTextCN":null,"PMCID":null,"EPubDate":"2025/1/1 0:00:00","PubModel":"eCollection","JCR":"Q2","JCRName":"RESPIRATORY SYSTEM","Score":null,"Total":0}
引用次数: 0

摘要

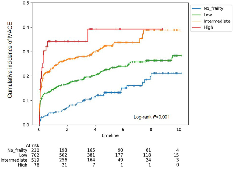
目的:慢性阻塞性肺疾病(COPD)与虚弱相关,并导致不良预后。慢性阻塞性肺病与心血管事件之间的关系已经确立。然而,虚弱对COPD患者心血管事件的影响尚不清楚。我们的目的是评估使用医院衰弱风险评分(HFRS)评估的衰弱与COPD患者的主要不良心血管事件(MACE)之间的长期关联。患者和方法:我们从日本新泻县佐渡市的区域性电子健康记录系统Sado- himawari Net中招募了2013年至2023年间患有COPD的日本患者。MACE被定义为急性冠状动脉综合征、心力衰竭和中风的复合症状。我们根据HFRS将参与者分为四种虚弱类别:无虚弱,HFRS=0,低虚弱,HFRS >。结果:我们招募了1527名COPD患者。在多变量分析中,COPD与MACE的相关性如下:无虚弱与低HFRS (HR, 1.47[95%可信区间,1.01-2.14])。结论:在10年随访期间,COPD患者虚弱与MACE独立相关。虚弱评估支持COPD患者MACE风险的识别。
本文章由计算机程序翻译,如有差异,请以英文原文为准。

Impact of Frailty on Major Adverse Cardiovascular Events in Chronic Obstructive Pulmonary Disease.

Impact of Frailty on Major Adverse Cardiovascular Events in Chronic Obstructive Pulmonary Disease.

Impact of Frailty on Major Adverse Cardiovascular Events in Chronic Obstructive Pulmonary Disease.

Impact of Frailty on Major Adverse Cardiovascular Events in Chronic Obstructive Pulmonary Disease.

Purpose: Chronic obstructive pulmonary disease (COPD) is associated with frailty and leads to poor outcomes. The relationship between COPD and cardiovascular events is well established. However, the impact of frailty on cardiovascular events in COPD patients remains unknown. We aimed to evaluate the long-term association between frailty, assessed using the hospital frailty risk score (HFRS), and major adverse cardiovascular events (MACE) in COPD patients.

Patients and methods: We recruited Japanese patients with COPD between 2013 and 2023 from Sado-Himawari Net, a regional electronic health record system in Sado City, Niigata Prefecture, Japan. MACE were defined as a composite of acute coronary syndrome, heart failure, and stroke. We classified the participants into four frailty categories according to HFRS: no-frailty with HFRS=0, low with HFRS >0 and <5, intermediate with HFRS ≥5 and <15, and high with HFRS ≥15. We used a Cox regression model adjusted for age, sex, inhaled treatments, and comorbidities to evaluate the hazard ratio (HR) for MACE.

Results: We recruited 1527 patients with COPD. In multivariable analysis, COPD was associated with MACE as follows: no-frailty versus low HFRS (HR, 1.47 [95% confidence interval, 1.01-2.14], p<0.05), intermediate HFRS (HR 2.00 [1.34-2.97], p<0.001), and high HFRS (HR 2.62 [1.50-4.59], p<0.001). Similar relationships were observed even after adjusting for the severity of airflow limitation and COPD exacerbation.

Conclusion: Frailty was independently associated with MACE in COPD patients during the 10-year follow-up period. Frailty assessment supports the identification of patients with COPD at risk of MACE.

求助全文
通过发布文献求助,成功后即可免费获取论文全文。 去求助
来源期刊
CiteScore
4.80
自引率
10.70%
发文量
372
审稿时长
16 weeks
期刊介绍: An international, peer-reviewed journal of therapeutics and pharmacology focusing on concise rapid reporting of clinical studies and reviews in COPD. Special focus will be given to the pathophysiological processes underlying the disease, intervention programs, patient focused education, and self management protocols. This journal is directed at specialists and healthcare professionals
×
引用
GB/T 7714-2015
复制
MLA
复制
APA
复制
导出至
BibTeX EndNote RefMan NoteFirst NoteExpress
×
提示
您的信息不完整,为了账户安全,请先补充。
现在去补充
×
提示
您因"违规操作"
具体请查看互助需知
我知道了
×
提示
确定
请完成安全验证×
copy
已复制链接
快去分享给好友吧!
我知道了
右上角分享
点击右上角分享
0
联系我们:info@booksci.cn Book学术提供免费学术资源搜索服务,方便国内外学者检索中英文文献。致力于提供最便捷和优质的服务体验。 Copyright © 2023 布克学术 All rights reserved.
京ICP备2023020795号-1
ghs 京公网安备 11010802042870号
Book学术文献互助
Book学术文献互助群
群 号:604180095
Book学术官方微信