坐姿和仰卧位的便携式a扫描超声生物计的内部和内部观察者的一致性以及与光学生物计的有效性。

IF 1.8 Q3 OPHTHALMOLOGY
Clinical Optometry Pub Date : 2025-09-05 eCollection Date: 2025-01-01 DOI:10.2147/OPTO.S535433
Joshua Jeyandran, Cynthia J Roberts, Phillip T Yuhas
{"title":"坐姿和仰卧位的便携式a扫描超声生物计的内部和内部观察者的一致性以及与光学生物计的有效性。","authors":"Joshua Jeyandran, Cynthia J Roberts, Phillip T Yuhas","doi":"10.2147/OPTO.S535433","DOIUrl":null,"url":null,"abstract":"<p><strong>Purpose: </strong>The purposes of this study were to test the validity of a portable ultrasound biometer (6000 Scanmate-A, DGH Technology) against an optical biometer and to establish its repeatability and reproducibility on patients in sitting and supine positions.</p><p><strong>Patients and methods: </strong>Healthy adults (N = 51) were recruited prospectively. At two study visits, Observer 1 made five measurements of AL and ACD in the right eye using an optical biometer (IOLMaster, Zeiss). Then two sets of three measurements of AL and ACD were made using the Scanmate-A, one while participants were sitting and another while they were supine. Observer 2 made the same measurements at one visit on a subset of participants (n = 42). Averages of the measurements were prepared for analysis (significance threshold set to α = 0.01) according to Bland and Altman, repeated-measures analyses of variance, linear correlations, and intraclass correlation coefficients (ICC).</p><p><strong>Results: </strong>AL and ACD were significantly shorter when measured by the Scanmate-A (median [interquartile range] = 23.4 [22.5, 24.7] mm and mean ± standard deviation = 3.22 ± 0.45 mm, respectively) than when measured by IOLMaster (23.8 [23.1, 25.2] mm and 3.51 ± 0.33 mm, respectively). For both body positions, there were no differences in ACD and AL between visit 1 and visit 2. Correlations were strong between the visits, but the limits of agreement varied. Similarly, there were no significant differences between Observer 1 and Observer 2. Correlations and ICC were strong-to-moderate between the observers, and the limits of agreement varied.</p><p><strong>Conclusion: </strong>Consistent with reports on other a-scan devices, the Scanmate-A measured shorter AL and shallower ACD than the IOLMaster. Although, mean or median AL and ACD did not differ across study visits, observers, and body positions, large limits of agreement on Bland-Altman analyses must be accounted for by users of the Scanmate-A.</p>","PeriodicalId":43701,"journal":{"name":"Clinical Optometry","volume":"17 ","pages":"283-296"},"PeriodicalIF":1.8000,"publicationDate":"2025-09-05","publicationTypes":"Journal Article","fieldsOfStudy":null,"isOpenAccess":false,"openAccessPdf":"https://www.ncbi.nlm.nih.gov/pmc/articles/PMC12420777/pdf/","citationCount":"0","resultStr":"{\"title\":\"Intra- and Inter-Observer Agreement of a Portable A-Scan Ultrasound Biometer in Sitting and Supine Positions and Validity Against an Optical Biometer.\",\"authors\":\"Joshua Jeyandran, Cynthia J Roberts, Phillip T Yuhas\",\"doi\":\"10.2147/OPTO.S535433\",\"DOIUrl\":null,\"url\":null,\"abstract\":\"<p><strong>Purpose: </strong>The purposes of this study were to test the validity of a portable ultrasound biometer (6000 Scanmate-A, DGH Technology) against an optical biometer and to establish its repeatability and reproducibility on patients in sitting and supine positions.</p><p><strong>Patients and methods: </strong>Healthy adults (N = 51) were recruited prospectively. At two study visits, Observer 1 made five measurements of AL and ACD in the right eye using an optical biometer (IOLMaster, Zeiss). Then two sets of three measurements of AL and ACD were made using the Scanmate-A, one while participants were sitting and another while they were supine. Observer 2 made the same measurements at one visit on a subset of participants (n = 42). Averages of the measurements were prepared for analysis (significance threshold set to α = 0.01) according to Bland and Altman, repeated-measures analyses of variance, linear correlations, and intraclass correlation coefficients (ICC).</p><p><strong>Results: </strong>AL and ACD were significantly shorter when measured by the Scanmate-A (median [interquartile range] = 23.4 [22.5, 24.7] mm and mean ± standard deviation = 3.22 ± 0.45 mm, respectively) than when measured by IOLMaster (23.8 [23.1, 25.2] mm and 3.51 ± 0.33 mm, respectively). For both body positions, there were no differences in ACD and AL between visit 1 and visit 2. Correlations were strong between the visits, but the limits of agreement varied. Similarly, there were no significant differences between Observer 1 and Observer 2. Correlations and ICC were strong-to-moderate between the observers, and the limits of agreement varied.</p><p><strong>Conclusion: </strong>Consistent with reports on other a-scan devices, the Scanmate-A measured shorter AL and shallower ACD than the IOLMaster. Although, mean or median AL and ACD did not differ across study visits, observers, and body positions, large limits of agreement on Bland-Altman analyses must be accounted for by users of the Scanmate-A.</p>\",\"PeriodicalId\":43701,\"journal\":{\"name\":\"Clinical Optometry\",\"volume\":\"17 \",\"pages\":\"283-296\"},\"PeriodicalIF\":1.8000,\"publicationDate\":\"2025-09-05\",\"publicationTypes\":\"Journal Article\",\"fieldsOfStudy\":null,\"isOpenAccess\":false,\"openAccessPdf\":\"https://www.ncbi.nlm.nih.gov/pmc/articles/PMC12420777/pdf/\",\"citationCount\":\"0\",\"resultStr\":null,\"platform\":\"Semanticscholar\",\"paperid\":null,\"PeriodicalName\":\"Clinical Optometry\",\"FirstCategoryId\":\"1085\",\"ListUrlMain\":\"https://doi.org/10.2147/OPTO.S535433\",\"RegionNum\":0,\"RegionCategory\":null,\"ArticlePicture\":[],\"TitleCN\":null,\"AbstractTextCN\":null,\"PMCID\":null,\"EPubDate\":\"2025/1/1 0:00:00\",\"PubModel\":\"eCollection\",\"JCR\":\"Q3\",\"JCRName\":\"OPHTHALMOLOGY\",\"Score\":null,\"Total\":0}","platform":"Semanticscholar","paperid":null,"PeriodicalName":"Clinical Optometry","FirstCategoryId":"1085","ListUrlMain":"https://doi.org/10.2147/OPTO.S535433","RegionNum":0,"RegionCategory":null,"ArticlePicture":[],"TitleCN":null,"AbstractTextCN":null,"PMCID":null,"EPubDate":"2025/1/1 0:00:00","PubModel":"eCollection","JCR":"Q3","JCRName":"OPHTHALMOLOGY","Score":null,"Total":0}
引用次数: 0

摘要

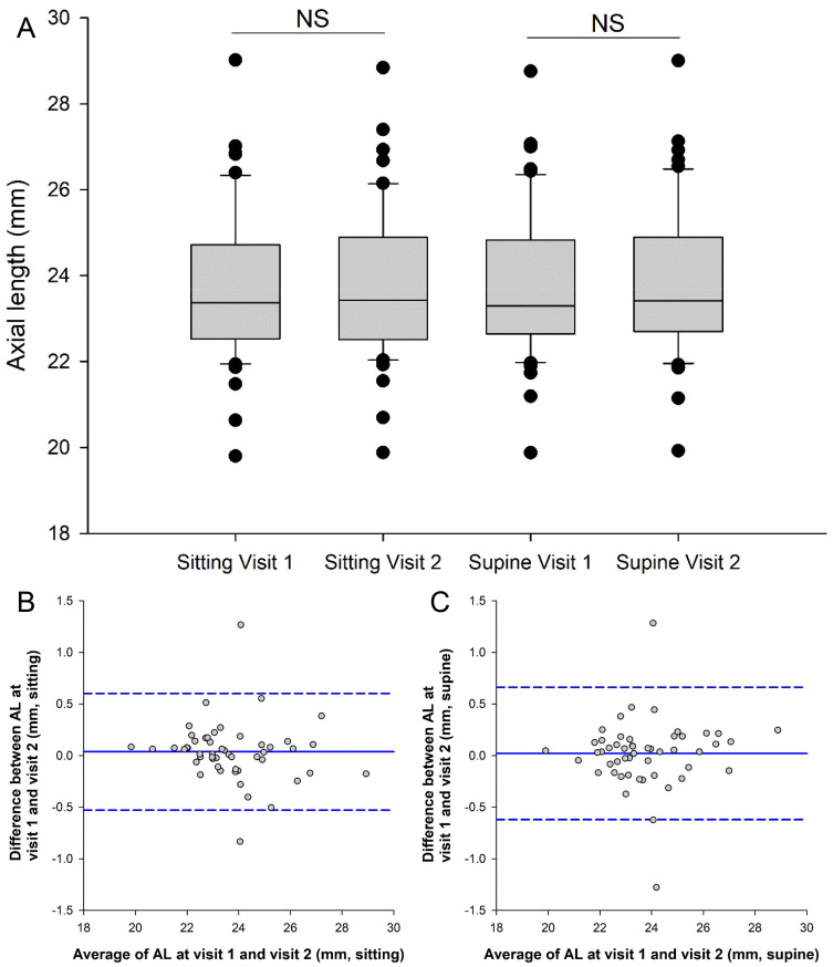
目的:本研究的目的是测试便携式超声生物计(6000 Scanmate-A, DGH Technology)与光学生物计的有效性,并建立其在坐位和仰卧位患者中的重复性和再现性。患者和方法:前瞻性招募健康成人(N = 51)。在两次研究访问中,观察员1使用光学生物计(IOLMaster,蔡司)对右眼的AL和ACD进行了五次测量。然后使用Scanmate-A对AL和ACD进行两组三次测量,一组是在参与者坐着时,另一组是在他们仰卧时。观察者2在一次访问中对参与者子集(n = 42)进行了相同的测量。根据Bland和Altman、重复测量方差分析、线性相关分析和类内相关系数(ICC)对测量值进行平均值分析(显著性阈值设为α = 0.01)。结果:使用Scanmate-A测量AL和ACD(中位数[四分位数间距]= 23.4 [22.5,24.7]mm,平均±标准差= 3.22±0.45 mm)明显短于IOLMaster测量AL和ACD (23.8 [23.1, 25.2] mm和3.51±0.33 mm)。对于两种体位,访问1和访问2之间的ACD和AL没有差异。这些访问之间的相关性很强,但一致性的限度各不相同。同样,观察者1和观察者2之间也没有显著差异。观察者之间的相关性和ICC从强到中等,一致的限度各不相同。结论:与其他a扫描设备的报道一致,与IOLMaster相比,Scanmate-A测量的AL更短,ACD更浅。虽然平均或中位数AL和ACD在研究访问、观察者和身体位置之间没有差异,但Scanmate-A的用户必须考虑到Bland-Altman分析的一致性的很大限制。
本文章由计算机程序翻译,如有差异,请以英文原文为准。

Intra- and Inter-Observer Agreement of a Portable A-Scan Ultrasound Biometer in Sitting and Supine Positions and Validity Against an Optical Biometer.

Intra- and Inter-Observer Agreement of a Portable A-Scan Ultrasound Biometer in Sitting and Supine Positions and Validity Against an Optical Biometer.

Intra- and Inter-Observer Agreement of a Portable A-Scan Ultrasound Biometer in Sitting and Supine Positions and Validity Against an Optical Biometer.

Intra- and Inter-Observer Agreement of a Portable A-Scan Ultrasound Biometer in Sitting and Supine Positions and Validity Against an Optical Biometer.

Purpose: The purposes of this study were to test the validity of a portable ultrasound biometer (6000 Scanmate-A, DGH Technology) against an optical biometer and to establish its repeatability and reproducibility on patients in sitting and supine positions.

Patients and methods: Healthy adults (N = 51) were recruited prospectively. At two study visits, Observer 1 made five measurements of AL and ACD in the right eye using an optical biometer (IOLMaster, Zeiss). Then two sets of three measurements of AL and ACD were made using the Scanmate-A, one while participants were sitting and another while they were supine. Observer 2 made the same measurements at one visit on a subset of participants (n = 42). Averages of the measurements were prepared for analysis (significance threshold set to α = 0.01) according to Bland and Altman, repeated-measures analyses of variance, linear correlations, and intraclass correlation coefficients (ICC).

Results: AL and ACD were significantly shorter when measured by the Scanmate-A (median [interquartile range] = 23.4 [22.5, 24.7] mm and mean ± standard deviation = 3.22 ± 0.45 mm, respectively) than when measured by IOLMaster (23.8 [23.1, 25.2] mm and 3.51 ± 0.33 mm, respectively). For both body positions, there were no differences in ACD and AL between visit 1 and visit 2. Correlations were strong between the visits, but the limits of agreement varied. Similarly, there were no significant differences between Observer 1 and Observer 2. Correlations and ICC were strong-to-moderate between the observers, and the limits of agreement varied.

Conclusion: Consistent with reports on other a-scan devices, the Scanmate-A measured shorter AL and shallower ACD than the IOLMaster. Although, mean or median AL and ACD did not differ across study visits, observers, and body positions, large limits of agreement on Bland-Altman analyses must be accounted for by users of the Scanmate-A.

求助全文
通过发布文献求助,成功后即可免费获取论文全文。 去求助
来源期刊
Clinical Optometry
Clinical Optometry OPHTHALMOLOGY-
CiteScore
3.00
自引率
5.90%
发文量
29
审稿时长
16 weeks
期刊介绍: Clinical Optometry is an international, peer-reviewed, open access journal focusing on clinical optometry. All aspects of patient care are addressed within the journal as well as the practice of optometry including economic and business analyses. Basic and clinical research papers are published that cover all aspects of optics, refraction and its application to the theory and practice of optometry. Specific topics covered in the journal include: Theoretical and applied optics, Delivery of patient care in optometry practice, Refraction and correction of errors, Screening and preventative aspects of eye disease, Extended clinical roles for optometrists including shared care and provision of medications, Teaching and training optometrists, International aspects of optometry, Business practice, Patient adherence, quality of life, satisfaction, Health economic evaluations.
×
引用
GB/T 7714-2015
复制
MLA
复制
APA
复制
导出至
BibTeX EndNote RefMan NoteFirst NoteExpress
×
提示
您的信息不完整,为了账户安全,请先补充。
现在去补充
×
提示
您因"违规操作"
具体请查看互助需知
我知道了
×
提示
确定
请完成安全验证×
copy
已复制链接
快去分享给好友吧!
我知道了
右上角分享
点击右上角分享
0
联系我们:info@booksci.cn Book学术提供免费学术资源搜索服务,方便国内外学者检索中英文文献。致力于提供最便捷和优质的服务体验。 Copyright © 2023 布克学术 All rights reserved.
京ICP备2023020795号-1
ghs 京公网安备 11010802042870号
Book学术文献互助
Book学术文献互助群
群 号:604180095
Book学术官方微信