艾氯胺酮和依托咪酯麻醉对难治性抑郁症电休克治疗中神经可塑性的影响。

IF 3.4 4区 医学 Q1 PSYCHIATRY
Guo-Guang Zhao, Jing Zhao, Yan Kong, Ya-Ping Pang, Xiao-Nan Zheng, Yi-Wei Zhang
{"title":"艾氯胺酮和依托咪酯麻醉对难治性抑郁症电休克治疗中神经可塑性的影响。","authors":"Guo-Guang Zhao, Jing Zhao, Yan Kong, Ya-Ping Pang, Xiao-Nan Zheng, Yi-Wei Zhang","doi":"10.5498/wjp.v15.i9.109458","DOIUrl":null,"url":null,"abstract":"<p><strong>Background: </strong>Treatment-resistant depression (TRD) has a poor response to clinical treatment. Patients with TRD do not respond adequately to standard antidepressants. Even after receiving a full dose and sufficient duration of combined antidepressant therapy, significant improvement is still difficult to achieve. At present, electroconvulsive therapy (ECT) remains a clinically effective method for treating refractory depression. A good anesthesia regimen can enhance its clinical efficacy. Actively exploring high-quality anesthesia regimens has become a current research hotspot.</p><p><strong>Aim: </strong>To explore the effect of esketamine and etomidate anesthesia on the clinical efficacy of ECT for TRD.</p><p><strong>Methods: </strong>A total of 120 patients with TRD, treated at the Department of Psychiatry, The Second Affiliated Hospital of Shandong First Medical University, China between April 2020 and April 2024, were selected for the study. The patients were allocated at random into two groups using a random number table: The combination and control groups, with 60 patients in each group. Both groups underwent ECT; the combination group received esketamine and etomidate anesthesia, while the control group received etomidate anesthesia. The following parameters were compared between the two groups: Heart rate (HR); mean arterial pressure (MAP); peripheral capillary oxygen saturation (SpO<sub>2</sub>); initial and final threshold charges; and serum brain-derived neurotrophic factor (BDNF), nerve growth factor (NGF), 5-hydroxytryptamine (5-HT), and interleukin-4 (IL-4) levels. Neurological functions, basic executive function scores, and adverse reactions were compared during the treatment process.</p><p><strong>Results: </strong>During treatment, the maximum and minimum HR and MAP values in the combination group were markedly lower than those in the control group (<i>P</i> < 0.05), whereas there was no significant difference in SpO<sub>2</sub> between the two groups (<i>P</i> > 0.05). During the treatment, there were no significant differences in the initial threshold charge and average duration of seizures during ECT between the two groups (<i>P</i> > 0.05). However, the final threshold charge and total charge in the combination group were considerably lower than those in the control group (<i>P</i> < 0.05). After treatment, the BDNF, NGF, 5-HT, and IL-4 levels were evidently higher in the combination group than in the control group (<i>P</i> < 0.05). During treatment, as the number of ECT sessions increased, both BRNAS and Measurement and Treatment Research to Improve Cognition in Schizophrenia Consensus Cognitive Battery (MCCB) scores increased, whereas Hamilton Depression Rating Scale (HAMD)-24 scores decreased in both groups. Starting from the third treatment session, the BRNAS and MCCB scores in the combination group were higher than in the control group, whereas the Hamilton Depression Scale-24 score was lower in the combination group than in the control group (<i>P</i> < 0.05). After treatment, the Wisconsin Card Sorting Test scores and Tower of Hanoi test results in the combination group were significantly better than those in the control group (<i>P</i> < 0.05). The occurrence of adverse reactions was compared between the two groups (<i>P</i> > 0.05).</p><p><strong>Conclusion: </strong>Esketamine and etomidate anesthesia during ECT for patients with TRD helps maintain stable vital signs during the treatment process, improves depressive symptoms, and enhances neurological and basic executive functions.</p>","PeriodicalId":23896,"journal":{"name":"World Journal of Psychiatry","volume":"15 9","pages":"109458"},"PeriodicalIF":3.4000,"publicationDate":"2025-09-19","publicationTypes":"Journal Article","fieldsOfStudy":null,"isOpenAccess":false,"openAccessPdf":"https://www.ncbi.nlm.nih.gov/pmc/articles/PMC12417944/pdf/","citationCount":"0","resultStr":"{\"title\":\"Effect of esketamine and etomidate anesthesia on neuroplasticity in electroconvulsive therapy for treatment-resistant depression.\",\"authors\":\"Guo-Guang Zhao, Jing Zhao, Yan Kong, Ya-Ping Pang, Xiao-Nan Zheng, Yi-Wei Zhang\",\"doi\":\"10.5498/wjp.v15.i9.109458\",\"DOIUrl\":null,\"url\":null,\"abstract\":\"<p><strong>Background: </strong>Treatment-resistant depression (TRD) has a poor response to clinical treatment. Patients with TRD do not respond adequately to standard antidepressants. Even after receiving a full dose and sufficient duration of combined antidepressant therapy, significant improvement is still difficult to achieve. At present, electroconvulsive therapy (ECT) remains a clinically effective method for treating refractory depression. A good anesthesia regimen can enhance its clinical efficacy. Actively exploring high-quality anesthesia regimens has become a current research hotspot.</p><p><strong>Aim: </strong>To explore the effect of esketamine and etomidate anesthesia on the clinical efficacy of ECT for TRD.</p><p><strong>Methods: </strong>A total of 120 patients with TRD, treated at the Department of Psychiatry, The Second Affiliated Hospital of Shandong First Medical University, China between April 2020 and April 2024, were selected for the study. The patients were allocated at random into two groups using a random number table: The combination and control groups, with 60 patients in each group. Both groups underwent ECT; the combination group received esketamine and etomidate anesthesia, while the control group received etomidate anesthesia. The following parameters were compared between the two groups: Heart rate (HR); mean arterial pressure (MAP); peripheral capillary oxygen saturation (SpO<sub>2</sub>); initial and final threshold charges; and serum brain-derived neurotrophic factor (BDNF), nerve growth factor (NGF), 5-hydroxytryptamine (5-HT), and interleukin-4 (IL-4) levels. Neurological functions, basic executive function scores, and adverse reactions were compared during the treatment process.</p><p><strong>Results: </strong>During treatment, the maximum and minimum HR and MAP values in the combination group were markedly lower than those in the control group (<i>P</i> < 0.05), whereas there was no significant difference in SpO<sub>2</sub> between the two groups (<i>P</i> > 0.05). During the treatment, there were no significant differences in the initial threshold charge and average duration of seizures during ECT between the two groups (<i>P</i> > 0.05). However, the final threshold charge and total charge in the combination group were considerably lower than those in the control group (<i>P</i> < 0.05). After treatment, the BDNF, NGF, 5-HT, and IL-4 levels were evidently higher in the combination group than in the control group (<i>P</i> < 0.05). During treatment, as the number of ECT sessions increased, both BRNAS and Measurement and Treatment Research to Improve Cognition in Schizophrenia Consensus Cognitive Battery (MCCB) scores increased, whereas Hamilton Depression Rating Scale (HAMD)-24 scores decreased in both groups. Starting from the third treatment session, the BRNAS and MCCB scores in the combination group were higher than in the control group, whereas the Hamilton Depression Scale-24 score was lower in the combination group than in the control group (<i>P</i> < 0.05). After treatment, the Wisconsin Card Sorting Test scores and Tower of Hanoi test results in the combination group were significantly better than those in the control group (<i>P</i> < 0.05). The occurrence of adverse reactions was compared between the two groups (<i>P</i> > 0.05).</p><p><strong>Conclusion: </strong>Esketamine and etomidate anesthesia during ECT for patients with TRD helps maintain stable vital signs during the treatment process, improves depressive symptoms, and enhances neurological and basic executive functions.</p>\",\"PeriodicalId\":23896,\"journal\":{\"name\":\"World Journal of Psychiatry\",\"volume\":\"15 9\",\"pages\":\"109458\"},\"PeriodicalIF\":3.4000,\"publicationDate\":\"2025-09-19\",\"publicationTypes\":\"Journal Article\",\"fieldsOfStudy\":null,\"isOpenAccess\":false,\"openAccessPdf\":\"https://www.ncbi.nlm.nih.gov/pmc/articles/PMC12417944/pdf/\",\"citationCount\":\"0\",\"resultStr\":null,\"platform\":\"Semanticscholar\",\"paperid\":null,\"PeriodicalName\":\"World Journal of Psychiatry\",\"FirstCategoryId\":\"3\",\"ListUrlMain\":\"https://doi.org/10.5498/wjp.v15.i9.109458\",\"RegionNum\":4,\"RegionCategory\":\"医学\",\"ArticlePicture\":[],\"TitleCN\":null,\"AbstractTextCN\":null,\"PMCID\":null,\"EPubDate\":\"\",\"PubModel\":\"\",\"JCR\":\"Q1\",\"JCRName\":\"PSYCHIATRY\",\"Score\":null,\"Total\":0}","platform":"Semanticscholar","paperid":null,"PeriodicalName":"World Journal of Psychiatry","FirstCategoryId":"3","ListUrlMain":"https://doi.org/10.5498/wjp.v15.i9.109458","RegionNum":4,"RegionCategory":"医学","ArticlePicture":[],"TitleCN":null,"AbstractTextCN":null,"PMCID":null,"EPubDate":"","PubModel":"","JCR":"Q1","JCRName":"PSYCHIATRY","Score":null,"Total":0}
引用次数: 0

摘要

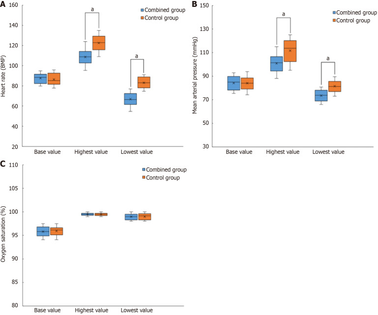
背景:难治性抑郁症(TRD)对临床治疗的反应较差。TRD患者对标准抗抑郁药没有充分的反应。即使在接受了全剂量和足够持续时间的联合抗抑郁治疗后,仍难以取得显著的改善。目前,电休克疗法(ECT)仍是治疗难治性抑郁症的有效方法。良好的麻醉方案可提高其临床疗效。积极探索高质量的麻醉方案已成为当前的研究热点。目的:探讨艾氯胺酮与依托咪酯麻醉对电痉挛治疗TRD临床疗效的影响。方法:选取2020年4月至2024年4月在山东第一医科大学第二附属医院精神科就诊的120例TRD患者作为研究对象。采用随机数字表法将患者随机分为两组:联合组和对照组,每组60例。两组均行ECT治疗;艾氯胺酮联合依托咪酯麻醉组,对照组采用依托咪酯麻醉。比较两组患者心率(HR);平均动脉压(MAP);外周毛细血管氧饱和度(SpO2);初始和最终门槛收费;血清脑源性神经营养因子(BDNF)、神经生长因子(NGF)、5-羟色胺(5-HT)和白细胞介素-4 (IL-4)水平。比较治疗过程中的神经功能、基本执行功能评分和不良反应。结果:治疗过程中,联合治疗组最大、最小HR、MAP值均显著低于对照组(P < 0.05), SpO2值两组间差异无统计学意义(P < 0.05)。治疗过程中,两组电痉挛期间的初始阈值电荷和平均癫痫发作时间差异无统计学意义(P < 0.05)。但联合组的最终阈值电荷和总电荷均显著低于对照组(P < 0.05)。治疗后,联合治疗组BDNF、NGF、5-HT、IL-4水平明显高于对照组(P < 0.05)。在治疗期间,随着ECT次数的增加,BRNAS和改善精神分裂症共识认知电池(MCCB)认知的测量与治疗研究得分均增加,而汉密尔顿抑郁评定量表(HAMD)-24得分在两组中均下降。从第3次治疗开始,联合组患者BRNAS、MCCB评分均高于对照组,汉密尔顿抑郁量表-24评分低于对照组(P < 0.05)。治疗后,联合治疗组威斯康星卡片分类测验成绩和河内塔测验成绩显著优于对照组(P < 0.05)。比较两组患者不良反应发生情况(P < 0.05)。结论:艾氯胺酮和依托咪酯麻醉在TRD患者ECT治疗过程中有助于维持生命体征稳定,改善抑郁症状,增强神经和基本执行功能。
本文章由计算机程序翻译,如有差异,请以英文原文为准。

Effect of esketamine and etomidate anesthesia on neuroplasticity in electroconvulsive therapy for treatment-resistant depression.

Effect of esketamine and etomidate anesthesia on neuroplasticity in electroconvulsive therapy for treatment-resistant depression.

Effect of esketamine and etomidate anesthesia on neuroplasticity in electroconvulsive therapy for treatment-resistant depression.

Effect of esketamine and etomidate anesthesia on neuroplasticity in electroconvulsive therapy for treatment-resistant depression.

Background: Treatment-resistant depression (TRD) has a poor response to clinical treatment. Patients with TRD do not respond adequately to standard antidepressants. Even after receiving a full dose and sufficient duration of combined antidepressant therapy, significant improvement is still difficult to achieve. At present, electroconvulsive therapy (ECT) remains a clinically effective method for treating refractory depression. A good anesthesia regimen can enhance its clinical efficacy. Actively exploring high-quality anesthesia regimens has become a current research hotspot.

Aim: To explore the effect of esketamine and etomidate anesthesia on the clinical efficacy of ECT for TRD.

Methods: A total of 120 patients with TRD, treated at the Department of Psychiatry, The Second Affiliated Hospital of Shandong First Medical University, China between April 2020 and April 2024, were selected for the study. The patients were allocated at random into two groups using a random number table: The combination and control groups, with 60 patients in each group. Both groups underwent ECT; the combination group received esketamine and etomidate anesthesia, while the control group received etomidate anesthesia. The following parameters were compared between the two groups: Heart rate (HR); mean arterial pressure (MAP); peripheral capillary oxygen saturation (SpO2); initial and final threshold charges; and serum brain-derived neurotrophic factor (BDNF), nerve growth factor (NGF), 5-hydroxytryptamine (5-HT), and interleukin-4 (IL-4) levels. Neurological functions, basic executive function scores, and adverse reactions were compared during the treatment process.

Results: During treatment, the maximum and minimum HR and MAP values in the combination group were markedly lower than those in the control group (P < 0.05), whereas there was no significant difference in SpO2 between the two groups (P > 0.05). During the treatment, there were no significant differences in the initial threshold charge and average duration of seizures during ECT between the two groups (P > 0.05). However, the final threshold charge and total charge in the combination group were considerably lower than those in the control group (P < 0.05). After treatment, the BDNF, NGF, 5-HT, and IL-4 levels were evidently higher in the combination group than in the control group (P < 0.05). During treatment, as the number of ECT sessions increased, both BRNAS and Measurement and Treatment Research to Improve Cognition in Schizophrenia Consensus Cognitive Battery (MCCB) scores increased, whereas Hamilton Depression Rating Scale (HAMD)-24 scores decreased in both groups. Starting from the third treatment session, the BRNAS and MCCB scores in the combination group were higher than in the control group, whereas the Hamilton Depression Scale-24 score was lower in the combination group than in the control group (P < 0.05). After treatment, the Wisconsin Card Sorting Test scores and Tower of Hanoi test results in the combination group were significantly better than those in the control group (P < 0.05). The occurrence of adverse reactions was compared between the two groups (P > 0.05).

Conclusion: Esketamine and etomidate anesthesia during ECT for patients with TRD helps maintain stable vital signs during the treatment process, improves depressive symptoms, and enhances neurological and basic executive functions.

求助全文
通过发布文献求助,成功后即可免费获取论文全文。 去求助
来源期刊
自引率
6.50%
发文量
110
期刊介绍: The World Journal of Psychiatry (WJP) is a high-quality, peer reviewed, open-access journal. The primary task of WJP is to rapidly publish high-quality original articles, reviews, editorials, and case reports in the field of psychiatry. In order to promote productive academic communication, the peer review process for the WJP is transparent; to this end, all published manuscripts are accompanied by the anonymized reviewers’ comments as well as the authors’ responses. The primary aims of the WJP are to improve diagnostic, therapeutic and preventive modalities and the skills of clinicians and to guide clinical practice in psychiatry.
×
引用
GB/T 7714-2015
复制
MLA
复制
APA
复制
导出至
BibTeX EndNote RefMan NoteFirst NoteExpress
×
提示
您的信息不完整,为了账户安全,请先补充。
现在去补充
×
提示
您因"违规操作"
具体请查看互助需知
我知道了
×
提示
确定
请完成安全验证×
copy
已复制链接
快去分享给好友吧!
我知道了
右上角分享
点击右上角分享
0
联系我们:info@booksci.cn Book学术提供免费学术资源搜索服务,方便国内外学者检索中英文文献。致力于提供最便捷和优质的服务体验。 Copyright © 2023 布克学术 All rights reserved.
京ICP备2023020795号-1
ghs 京公网安备 11010802042870号
Book学术文献互助
Book学术文献互助群
群 号:604180095
Book学术官方微信