住院精神分裂症患者甲状腺激素水平与精神病理的疾病持续时间分层关联:一项横断面研究

IF 3.4 4区 医学 Q1 PSYCHIATRY
Xiu-Ping Lei, De-Xin Liao, Guo-Ying Wu, Dan Shuai, Hong-Li Zhang, Bin-You Wang, Yi-Lin Wang
{"title":"住院精神分裂症患者甲状腺激素水平与精神病理的疾病持续时间分层关联:一项横断面研究","authors":"Xiu-Ping Lei, De-Xin Liao, Guo-Ying Wu, Dan Shuai, Hong-Li Zhang, Bin-You Wang, Yi-Lin Wang","doi":"10.5498/wjp.v15.i9.109858","DOIUrl":null,"url":null,"abstract":"<p><strong>Background: </strong>Neuroendocrine dysfunction, especially involving the hypothalamic-pituitary-thyroid axis, plays a critical role in the onset and progression of schizophrenia. Alterations in thyroid stimulating hormone (TSH), triiodothyronine (T3), free T3 (FT3), thyroxine (T4), and free T4 have been implicated in this process. Although previous studies have established an association between thyroid function and psychiatric symptoms, how thyroid hormone levels vary with disease duration remains underexplored.</p><p><strong>Aim: </strong>To investigate duration stage-specific associations between thyroid hormones and psychotic symptoms among inpatients with stable schizophrenia.</p><p><strong>Methods: </strong>This cross-sectional study was conducted at Zigong Mental Health Center, China, and included 237 hospitalized patients with stable schizophrenia. Participants were stratified into three groups based on disease duration: 0-10 years, 10.1-20 years, and over 20 years. Peripheral blood samples were collected to measure serum thyroid hormone levels. Psychotic symptoms were assessed using the Positive and Negative Syndrome Scale. Covariate-adjusted linear regression analyses were performed to assess the relationships between thyroid hormone levels and Positive and Negative Syndrome Scale sub-scale scores.</p><p><strong>Results: </strong>The relationship between thyroid hormones and psychotic symptoms varied by disease duration. In patients with a disease course of 0-10 years, T4 [β = -0.848; 95% confidence interval (CI): -1.564 to -0.133; <i>P</i> = 0.021] and FT3 (β = -2.483; 95%CI: -4.693 to -0.273; <i>P</i> = 0.028) levels were significantly inversely associated with general psychopathology scores. Among those with 10.1-20 years of disease, only TSH showed a significant negative correlation with general psychopathology (β = -1.429; 95%CI: -2.348 to -0.509; <i>P</i> = 0.003). No significant correlations were found in the > 20 years group.</p><p><strong>Conclusion: </strong>The associations between thyroid hormones and psychotic symptoms vary according to the duration of schizophrenia (T4/FT3 early; TSH mid), enabling the development of stage-adapted models and management.</p>","PeriodicalId":23896,"journal":{"name":"World Journal of Psychiatry","volume":"15 9","pages":"109858"},"PeriodicalIF":3.4000,"publicationDate":"2025-09-19","publicationTypes":"Journal Article","fieldsOfStudy":null,"isOpenAccess":false,"openAccessPdf":"https://www.ncbi.nlm.nih.gov/pmc/articles/PMC12418022/pdf/","citationCount":"0","resultStr":"{\"title\":\"Disease duration-stratified associations of thyroid hormone levels with psychopathology in hospitalized patients with schizophrenia: A cross-sectional study.\",\"authors\":\"Xiu-Ping Lei, De-Xin Liao, Guo-Ying Wu, Dan Shuai, Hong-Li Zhang, Bin-You Wang, Yi-Lin Wang\",\"doi\":\"10.5498/wjp.v15.i9.109858\",\"DOIUrl\":null,\"url\":null,\"abstract\":\"<p><strong>Background: </strong>Neuroendocrine dysfunction, especially involving the hypothalamic-pituitary-thyroid axis, plays a critical role in the onset and progression of schizophrenia. Alterations in thyroid stimulating hormone (TSH), triiodothyronine (T3), free T3 (FT3), thyroxine (T4), and free T4 have been implicated in this process. Although previous studies have established an association between thyroid function and psychiatric symptoms, how thyroid hormone levels vary with disease duration remains underexplored.</p><p><strong>Aim: </strong>To investigate duration stage-specific associations between thyroid hormones and psychotic symptoms among inpatients with stable schizophrenia.</p><p><strong>Methods: </strong>This cross-sectional study was conducted at Zigong Mental Health Center, China, and included 237 hospitalized patients with stable schizophrenia. Participants were stratified into three groups based on disease duration: 0-10 years, 10.1-20 years, and over 20 years. Peripheral blood samples were collected to measure serum thyroid hormone levels. Psychotic symptoms were assessed using the Positive and Negative Syndrome Scale. Covariate-adjusted linear regression analyses were performed to assess the relationships between thyroid hormone levels and Positive and Negative Syndrome Scale sub-scale scores.</p><p><strong>Results: </strong>The relationship between thyroid hormones and psychotic symptoms varied by disease duration. In patients with a disease course of 0-10 years, T4 [β = -0.848; 95% confidence interval (CI): -1.564 to -0.133; <i>P</i> = 0.021] and FT3 (β = -2.483; 95%CI: -4.693 to -0.273; <i>P</i> = 0.028) levels were significantly inversely associated with general psychopathology scores. Among those with 10.1-20 years of disease, only TSH showed a significant negative correlation with general psychopathology (β = -1.429; 95%CI: -2.348 to -0.509; <i>P</i> = 0.003). No significant correlations were found in the > 20 years group.</p><p><strong>Conclusion: </strong>The associations between thyroid hormones and psychotic symptoms vary according to the duration of schizophrenia (T4/FT3 early; TSH mid), enabling the development of stage-adapted models and management.</p>\",\"PeriodicalId\":23896,\"journal\":{\"name\":\"World Journal of Psychiatry\",\"volume\":\"15 9\",\"pages\":\"109858\"},\"PeriodicalIF\":3.4000,\"publicationDate\":\"2025-09-19\",\"publicationTypes\":\"Journal Article\",\"fieldsOfStudy\":null,\"isOpenAccess\":false,\"openAccessPdf\":\"https://www.ncbi.nlm.nih.gov/pmc/articles/PMC12418022/pdf/\",\"citationCount\":\"0\",\"resultStr\":null,\"platform\":\"Semanticscholar\",\"paperid\":null,\"PeriodicalName\":\"World Journal of Psychiatry\",\"FirstCategoryId\":\"3\",\"ListUrlMain\":\"https://doi.org/10.5498/wjp.v15.i9.109858\",\"RegionNum\":4,\"RegionCategory\":\"医学\",\"ArticlePicture\":[],\"TitleCN\":null,\"AbstractTextCN\":null,\"PMCID\":null,\"EPubDate\":\"\",\"PubModel\":\"\",\"JCR\":\"Q1\",\"JCRName\":\"PSYCHIATRY\",\"Score\":null,\"Total\":0}","platform":"Semanticscholar","paperid":null,"PeriodicalName":"World Journal of Psychiatry","FirstCategoryId":"3","ListUrlMain":"https://doi.org/10.5498/wjp.v15.i9.109858","RegionNum":4,"RegionCategory":"医学","ArticlePicture":[],"TitleCN":null,"AbstractTextCN":null,"PMCID":null,"EPubDate":"","PubModel":"","JCR":"Q1","JCRName":"PSYCHIATRY","Score":null,"Total":0}
引用次数: 0

摘要

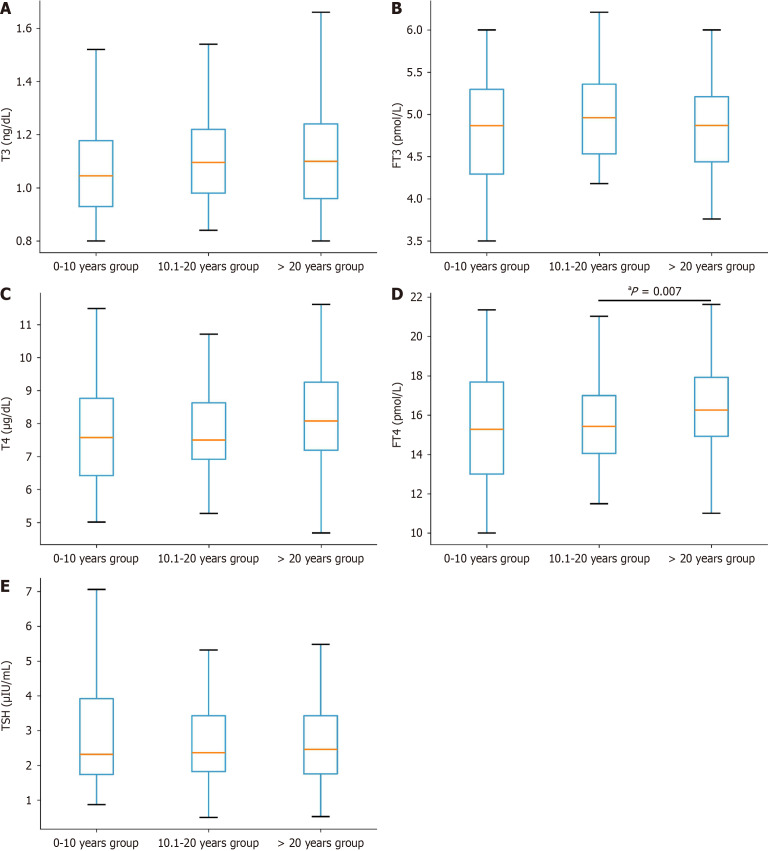
背景:神经内分泌功能障碍,特别是涉及下丘脑-垂体-甲状腺轴,在精神分裂症的发生和发展中起着关键作用。促甲状腺激素(TSH)、三碘甲状腺原氨酸(T3)、游离T3 (FT3)、甲状腺素(T4)和游离T4的改变与这一过程有关。虽然以前的研究已经建立了甲状腺功能和精神症状之间的联系,但甲状腺激素水平如何随疾病持续时间变化仍未得到充分探讨。目的:探讨稳定型精神分裂症住院患者甲状腺激素与精神病症状的关系。方法:本横断面研究在中国自贡精神卫生中心进行,纳入237例稳定型精神分裂症住院患者。参与者根据疾病持续时间分为三组:0-10年、10.1-20年和20年以上。采集外周血,测定血清甲状腺激素水平。采用阳性和阴性综合征量表评估精神病症状。采用协变量调整线性回归分析评估甲状腺激素水平与正、负证量表子量表得分之间的关系。结果:甲状腺激素与精神病症状的关系随病程的不同而不同。病程0 ~ 10年的患者,T4 [β = -0.848;95%置信区间(CI): -1.564 ~ -0.133;P = 0.021]和FT3 (β = -2.483; 95%CI: -4.693至-0.273;P = 0.028)水平与一般精神病理学评分呈显著负相关。在10.1-20年的患者中,只有TSH与一般精神病理呈显著负相关(β = -1.429; 95%CI: -2.348 ~ -0.509; P = 0.003)。在bbb20岁组中没有发现显著的相关性。结论:甲状腺激素与精神分裂症症状之间的关系根据精神分裂症的病程(早期T4/FT3;中期TSH)而有所不同,这使得开发适合阶段的模型和管理成为可能。
本文章由计算机程序翻译,如有差异,请以英文原文为准。

Disease duration-stratified associations of thyroid hormone levels with psychopathology in hospitalized patients with schizophrenia: A cross-sectional study.

Disease duration-stratified associations of thyroid hormone levels with psychopathology in hospitalized patients with schizophrenia: A cross-sectional study.

Disease duration-stratified associations of thyroid hormone levels with psychopathology in hospitalized patients with schizophrenia: A cross-sectional study.

Background: Neuroendocrine dysfunction, especially involving the hypothalamic-pituitary-thyroid axis, plays a critical role in the onset and progression of schizophrenia. Alterations in thyroid stimulating hormone (TSH), triiodothyronine (T3), free T3 (FT3), thyroxine (T4), and free T4 have been implicated in this process. Although previous studies have established an association between thyroid function and psychiatric symptoms, how thyroid hormone levels vary with disease duration remains underexplored.

Aim: To investigate duration stage-specific associations between thyroid hormones and psychotic symptoms among inpatients with stable schizophrenia.

Methods: This cross-sectional study was conducted at Zigong Mental Health Center, China, and included 237 hospitalized patients with stable schizophrenia. Participants were stratified into three groups based on disease duration: 0-10 years, 10.1-20 years, and over 20 years. Peripheral blood samples were collected to measure serum thyroid hormone levels. Psychotic symptoms were assessed using the Positive and Negative Syndrome Scale. Covariate-adjusted linear regression analyses were performed to assess the relationships between thyroid hormone levels and Positive and Negative Syndrome Scale sub-scale scores.

Results: The relationship between thyroid hormones and psychotic symptoms varied by disease duration. In patients with a disease course of 0-10 years, T4 [β = -0.848; 95% confidence interval (CI): -1.564 to -0.133; P = 0.021] and FT3 (β = -2.483; 95%CI: -4.693 to -0.273; P = 0.028) levels were significantly inversely associated with general psychopathology scores. Among those with 10.1-20 years of disease, only TSH showed a significant negative correlation with general psychopathology (β = -1.429; 95%CI: -2.348 to -0.509; P = 0.003). No significant correlations were found in the > 20 years group.

Conclusion: The associations between thyroid hormones and psychotic symptoms vary according to the duration of schizophrenia (T4/FT3 early; TSH mid), enabling the development of stage-adapted models and management.

求助全文
通过发布文献求助,成功后即可免费获取论文全文。 去求助
来源期刊
自引率
6.50%
发文量
110
期刊介绍: The World Journal of Psychiatry (WJP) is a high-quality, peer reviewed, open-access journal. The primary task of WJP is to rapidly publish high-quality original articles, reviews, editorials, and case reports in the field of psychiatry. In order to promote productive academic communication, the peer review process for the WJP is transparent; to this end, all published manuscripts are accompanied by the anonymized reviewers’ comments as well as the authors’ responses. The primary aims of the WJP are to improve diagnostic, therapeutic and preventive modalities and the skills of clinicians and to guide clinical practice in psychiatry.
×
引用
GB/T 7714-2015
复制
MLA
复制
APA
复制
导出至
BibTeX EndNote RefMan NoteFirst NoteExpress
×
提示
您的信息不完整,为了账户安全,请先补充。
现在去补充
×
提示
您因"违规操作"
具体请查看互助需知
我知道了
×
提示
确定
请完成安全验证×
copy
已复制链接
快去分享给好友吧!
我知道了
右上角分享
点击右上角分享
0
联系我们:info@booksci.cn Book学术提供免费学术资源搜索服务,方便国内外学者检索中英文文献。致力于提供最便捷和优质的服务体验。 Copyright © 2023 布克学术 All rights reserved.
京ICP备2023020795号-1
ghs 京公网安备 11010802042870号
Book学术文献互助
Book学术文献互助群
群 号:604180095
Book学术官方微信