股骨粗隆间骨折手术患者的焦虑、抑郁、一致性与创伤后生长的相关性

IF 3.4 4区 医学 Q1 PSYCHIATRY
Yuan-Peng Wu, Gui Xu, Zhen Wang
{"title":"股骨粗隆间骨折手术患者的焦虑、抑郁、一致性与创伤后生长的相关性","authors":"Yuan-Peng Wu, Gui Xu, Zhen Wang","doi":"10.5498/wjp.v15.i9.106196","DOIUrl":null,"url":null,"abstract":"<p><strong>Background: </strong>Postoperative anxiety, depression, irritability, and even fear in patients with intertrochanteric femoral fractures may hinder recovery, compromise treatment efficacy, and impede rehabilitation.</p><p><strong>Aim: </strong>To investigate the correlations among anxiety, depression, sense of coherence (SOC), and post-traumatic growth (PTG) in patients who underwent intertrochanteric femoral fracture surgery to improve clinical management strategies and outcomes.</p><p><strong>Methods: </strong>This study carefully selected 211 patients who received surgical treatment for intertrochanteric femoral fractures and were admitted to Dongying People's Hospital from March 2022 to March 2024. Anxiety and depression in these patients were assessed with the anxiety and depression subscales of the Hospital Anxiety and Depression Scale (HADS), respectively. SOC was evaluated using the 13-item SOC scale (SOC-13), which encompasses three key dimensions: Comprehensibility, manageability, and meaningfulness. PTG was assessed with the Chinese version of PTG Inventory (CPTGI), covering five distinct dimensions: Personal strength, appreciation of life, relating to others, new possibilities, and spiritual change. The Pearson correlation coefficient was used to meticulously analyze the associations among HADS-Anxiety, HADS-Depression, SOC-13, and CPTGI. Further, univariate and multivariate analyses were conducted to identify factors that affect PTG in patients who underwent intertrochanteric femoral fracture surgery.</p><p><strong>Results: </strong>The collected data demonstrated that 67.30% and 60.66% of the 211 patients experienced anxiety and depression, respectively, with overall anxiety levels ranging from mild to moderate and depression levels being mild. The mean SOC-13 score was 55.73 ± 8.81 points, indicating a generally low SOC level. The average CPTGI score was 54.93 ± 9.92 points, demonstrating a relatively low PTG level. Notably, both HADS-Anxiety and HADS-Depression scores were significantly negatively correlated with CPTGI, whereas SOC-13 scores were significantly positively correlated with CPTGI. Univariate and multivariate analyses identified the presence of comorbidities [odds ratio (OR) = 2.747, <i>P</i> = 0.003], monthly household income (OR = 3.292, <i>P</i> < 0.001), and exercise habits (OR = 4.651, <i>P</i> < 0.001) as independent predictors of PTG in patients.</p><p><strong>Conclusion: </strong>The results of this study indicate a significant negative correlation of anxiety and depression with PTG in patients after intertrochanteric femoral fracture surgery, whereas a significant positive association exists between SOC and PTG. This study helps more comprehensively understand the psychological status and recovery processes of such patients, thereby potentially providing valuable information for clinical practice and psychological interventions.</p>","PeriodicalId":23896,"journal":{"name":"World Journal of Psychiatry","volume":"15 9","pages":"106196"},"PeriodicalIF":3.4000,"publicationDate":"2025-09-19","publicationTypes":"Journal Article","fieldsOfStudy":null,"isOpenAccess":false,"openAccessPdf":"https://www.ncbi.nlm.nih.gov/pmc/articles/PMC12418020/pdf/","citationCount":"0","resultStr":"{\"title\":\"Correlation between anxiety, depression, sense of coherence, and post-traumatic growth in patients who underwent intertrochanteric femoral fracture surgery.\",\"authors\":\"Yuan-Peng Wu, Gui Xu, Zhen Wang\",\"doi\":\"10.5498/wjp.v15.i9.106196\",\"DOIUrl\":null,\"url\":null,\"abstract\":\"<p><strong>Background: </strong>Postoperative anxiety, depression, irritability, and even fear in patients with intertrochanteric femoral fractures may hinder recovery, compromise treatment efficacy, and impede rehabilitation.</p><p><strong>Aim: </strong>To investigate the correlations among anxiety, depression, sense of coherence (SOC), and post-traumatic growth (PTG) in patients who underwent intertrochanteric femoral fracture surgery to improve clinical management strategies and outcomes.</p><p><strong>Methods: </strong>This study carefully selected 211 patients who received surgical treatment for intertrochanteric femoral fractures and were admitted to Dongying People's Hospital from March 2022 to March 2024. Anxiety and depression in these patients were assessed with the anxiety and depression subscales of the Hospital Anxiety and Depression Scale (HADS), respectively. SOC was evaluated using the 13-item SOC scale (SOC-13), which encompasses three key dimensions: Comprehensibility, manageability, and meaningfulness. PTG was assessed with the Chinese version of PTG Inventory (CPTGI), covering five distinct dimensions: Personal strength, appreciation of life, relating to others, new possibilities, and spiritual change. The Pearson correlation coefficient was used to meticulously analyze the associations among HADS-Anxiety, HADS-Depression, SOC-13, and CPTGI. Further, univariate and multivariate analyses were conducted to identify factors that affect PTG in patients who underwent intertrochanteric femoral fracture surgery.</p><p><strong>Results: </strong>The collected data demonstrated that 67.30% and 60.66% of the 211 patients experienced anxiety and depression, respectively, with overall anxiety levels ranging from mild to moderate and depression levels being mild. The mean SOC-13 score was 55.73 ± 8.81 points, indicating a generally low SOC level. The average CPTGI score was 54.93 ± 9.92 points, demonstrating a relatively low PTG level. Notably, both HADS-Anxiety and HADS-Depression scores were significantly negatively correlated with CPTGI, whereas SOC-13 scores were significantly positively correlated with CPTGI. Univariate and multivariate analyses identified the presence of comorbidities [odds ratio (OR) = 2.747, <i>P</i> = 0.003], monthly household income (OR = 3.292, <i>P</i> < 0.001), and exercise habits (OR = 4.651, <i>P</i> < 0.001) as independent predictors of PTG in patients.</p><p><strong>Conclusion: </strong>The results of this study indicate a significant negative correlation of anxiety and depression with PTG in patients after intertrochanteric femoral fracture surgery, whereas a significant positive association exists between SOC and PTG. This study helps more comprehensively understand the psychological status and recovery processes of such patients, thereby potentially providing valuable information for clinical practice and psychological interventions.</p>\",\"PeriodicalId\":23896,\"journal\":{\"name\":\"World Journal of Psychiatry\",\"volume\":\"15 9\",\"pages\":\"106196\"},\"PeriodicalIF\":3.4000,\"publicationDate\":\"2025-09-19\",\"publicationTypes\":\"Journal Article\",\"fieldsOfStudy\":null,\"isOpenAccess\":false,\"openAccessPdf\":\"https://www.ncbi.nlm.nih.gov/pmc/articles/PMC12418020/pdf/\",\"citationCount\":\"0\",\"resultStr\":null,\"platform\":\"Semanticscholar\",\"paperid\":null,\"PeriodicalName\":\"World Journal of Psychiatry\",\"FirstCategoryId\":\"3\",\"ListUrlMain\":\"https://doi.org/10.5498/wjp.v15.i9.106196\",\"RegionNum\":4,\"RegionCategory\":\"医学\",\"ArticlePicture\":[],\"TitleCN\":null,\"AbstractTextCN\":null,\"PMCID\":null,\"EPubDate\":\"\",\"PubModel\":\"\",\"JCR\":\"Q1\",\"JCRName\":\"PSYCHIATRY\",\"Score\":null,\"Total\":0}","platform":"Semanticscholar","paperid":null,"PeriodicalName":"World Journal of Psychiatry","FirstCategoryId":"3","ListUrlMain":"https://doi.org/10.5498/wjp.v15.i9.106196","RegionNum":4,"RegionCategory":"医学","ArticlePicture":[],"TitleCN":null,"AbstractTextCN":null,"PMCID":null,"EPubDate":"","PubModel":"","JCR":"Q1","JCRName":"PSYCHIATRY","Score":null,"Total":0}
引用次数: 0

摘要

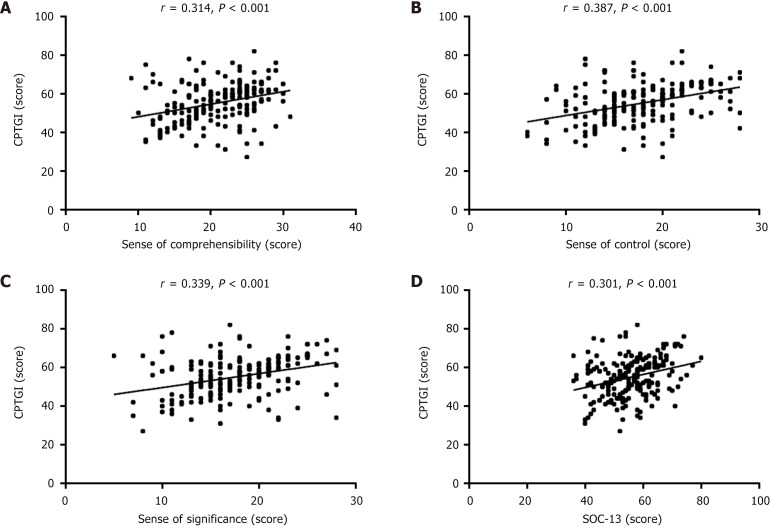
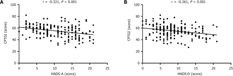
背景:股骨粗隆间骨折患者术后焦虑、抑郁、易怒,甚至恐惧均可能阻碍康复,影响治疗效果,阻碍康复。目的:探讨股骨粗隆间骨折手术患者焦虑、抑郁、连贯性感(SOC)和创伤后生长(PTG)的相关性,以改善临床治疗策略和预后。方法:本研究筛选了2022年3月至2024年3月在东营市人民医院行股骨粗隆间骨折手术治疗的211例患者。分别用医院焦虑抑郁量表(HADS)的焦虑亚量表和抑郁亚量表对患者的焦虑和抑郁进行评估。SOC采用13项量表(SOC-13)进行评估,其中包括三个关键维度:可理解性、可管理性和意义性。PTG的评估采用中文版的PTG量表(CPTGI),涵盖五个不同的维度:个人力量、对生活的欣赏、与他人的关系、新的可能性和精神变化。使用Pearson相关系数仔细分析hads -焦虑、hads -抑郁、SOC-13和CPTGI之间的关联。此外,我们进行了单因素和多因素分析,以确定影响股骨粗隆间骨折手术患者PTG的因素。结果:211例患者中,焦虑和抑郁的发生率分别为67.30%和60.66%,总体焦虑水平为轻度至中度,抑郁水平为轻度。平均SOC-13评分为55.73±8.81分,SOC水平普遍较低。CPTGI平均评分为54.93±9.92分,PTG水平较低。值得注意的是,hads -焦虑和hads -抑郁评分与CPTGI呈显著负相关,而SOC-13评分与CPTGI呈显著正相关。单因素和多因素分析发现,合并症的存在[比值比(OR) = 2.747, P = 0.003]、家庭月收入(OR = 3.292, P < 0.001)和运动习惯(OR = 4.651, P < 0.001)是患者PTG的独立预测因素。结论:本研究结果提示股骨粗隆间骨折术后患者焦虑、抑郁与PTG呈显著负相关,而SOC与PTG呈显著正相关。本研究有助于更全面地了解该类患者的心理状态和康复过程,从而为临床实践和心理干预提供有价值的信息。
本文章由计算机程序翻译,如有差异,请以英文原文为准。

Correlation between anxiety, depression, sense of coherence, and post-traumatic growth in patients who underwent intertrochanteric femoral fracture surgery.

Correlation between anxiety, depression, sense of coherence, and post-traumatic growth in patients who underwent intertrochanteric femoral fracture surgery.

Correlation between anxiety, depression, sense of coherence, and post-traumatic growth in patients who underwent intertrochanteric femoral fracture surgery.

Background: Postoperative anxiety, depression, irritability, and even fear in patients with intertrochanteric femoral fractures may hinder recovery, compromise treatment efficacy, and impede rehabilitation.

Aim: To investigate the correlations among anxiety, depression, sense of coherence (SOC), and post-traumatic growth (PTG) in patients who underwent intertrochanteric femoral fracture surgery to improve clinical management strategies and outcomes.

Methods: This study carefully selected 211 patients who received surgical treatment for intertrochanteric femoral fractures and were admitted to Dongying People's Hospital from March 2022 to March 2024. Anxiety and depression in these patients were assessed with the anxiety and depression subscales of the Hospital Anxiety and Depression Scale (HADS), respectively. SOC was evaluated using the 13-item SOC scale (SOC-13), which encompasses three key dimensions: Comprehensibility, manageability, and meaningfulness. PTG was assessed with the Chinese version of PTG Inventory (CPTGI), covering five distinct dimensions: Personal strength, appreciation of life, relating to others, new possibilities, and spiritual change. The Pearson correlation coefficient was used to meticulously analyze the associations among HADS-Anxiety, HADS-Depression, SOC-13, and CPTGI. Further, univariate and multivariate analyses were conducted to identify factors that affect PTG in patients who underwent intertrochanteric femoral fracture surgery.

Results: The collected data demonstrated that 67.30% and 60.66% of the 211 patients experienced anxiety and depression, respectively, with overall anxiety levels ranging from mild to moderate and depression levels being mild. The mean SOC-13 score was 55.73 ± 8.81 points, indicating a generally low SOC level. The average CPTGI score was 54.93 ± 9.92 points, demonstrating a relatively low PTG level. Notably, both HADS-Anxiety and HADS-Depression scores were significantly negatively correlated with CPTGI, whereas SOC-13 scores were significantly positively correlated with CPTGI. Univariate and multivariate analyses identified the presence of comorbidities [odds ratio (OR) = 2.747, P = 0.003], monthly household income (OR = 3.292, P < 0.001), and exercise habits (OR = 4.651, P < 0.001) as independent predictors of PTG in patients.

Conclusion: The results of this study indicate a significant negative correlation of anxiety and depression with PTG in patients after intertrochanteric femoral fracture surgery, whereas a significant positive association exists between SOC and PTG. This study helps more comprehensively understand the psychological status and recovery processes of such patients, thereby potentially providing valuable information for clinical practice and psychological interventions.

求助全文
通过发布文献求助,成功后即可免费获取论文全文。 去求助
来源期刊
自引率
6.50%
发文量
110
期刊介绍: The World Journal of Psychiatry (WJP) is a high-quality, peer reviewed, open-access journal. The primary task of WJP is to rapidly publish high-quality original articles, reviews, editorials, and case reports in the field of psychiatry. In order to promote productive academic communication, the peer review process for the WJP is transparent; to this end, all published manuscripts are accompanied by the anonymized reviewers’ comments as well as the authors’ responses. The primary aims of the WJP are to improve diagnostic, therapeutic and preventive modalities and the skills of clinicians and to guide clinical practice in psychiatry.
×
引用
GB/T 7714-2015
复制
MLA
复制
APA
复制
导出至
BibTeX EndNote RefMan NoteFirst NoteExpress
×
提示
您的信息不完整,为了账户安全,请先补充。
现在去补充
×
提示
您因"违规操作"
具体请查看互助需知
我知道了
×
提示
确定
请完成安全验证×
copy
已复制链接
快去分享给好友吧!
我知道了
右上角分享
点击右上角分享
0
联系我们:info@booksci.cn Book学术提供免费学术资源搜索服务,方便国内外学者检索中英文文献。致力于提供最便捷和优质的服务体验。 Copyright © 2023 布克学术 All rights reserved.
京ICP备2023020795号-1
ghs 京公网安备 11010802042870号
Book学术文献互助
Book学术文献互助群
群 号:604180095
Book学术官方微信