经颅交流电刺激对健康成人工作记忆表现的影响:系统回顾和荟萃分析。

IF 3.4 4区 医学 Q1 PSYCHIATRY
Tian-Ya Hou, Xiao-Fei Mao, Rui-Ke Zhang
{"title":"经颅交流电刺激对健康成人工作记忆表现的影响:系统回顾和荟萃分析。","authors":"Tian-Ya Hou, Xiao-Fei Mao, Rui-Ke Zhang","doi":"10.5498/wjp.v15.i9.107754","DOIUrl":null,"url":null,"abstract":"<p><strong>Background: </strong>Working memory serves as a fundamental cognitive function that substantially impacts performance in various cognitive tasks. Extensive neurophysiological research has established that theta oscillations (4-8 Hz) play an essential role in supporting working memory operations. Theta-band transcranial alternating current stimulation (tACS) offers a potential mechanism for working memory enhancement through direct modulation of these fundamental neural oscillations. Nevertheless, current empirical evidence shows substantial variability in the observed effects of theta-tACS across studies.</p><p><strong>Aim: </strong>To conduct a systematic review and meta-analysis evaluating the effects of theta-tACS on working memory performance in healthy adults.</p><p><strong>Methods: </strong>A systematic literature search was performed on PubMed, EMBASE, and Web of Science up to March 10, 2025. Effect sizes were computed using Hedges' <i>g</i> with 95% confidence intervals (CIs), with separate meta-analyses for all included studies and for distinct working memory paradigms [n-back and delayed match-to-sample (DMTS) tasks] to examine potential task-specific effects. Subgroup analyses and meta-regression were performed to evaluate the influence of key moderating variables.</p><p><strong>Results: </strong>The systematic review included 21 studies (67 effect sizes). Initial meta-analysis showed theta-tACS moderately improved working memory (Hedges' <i>g</i> = 0.405, 95%CI: 0.212-0.598). However, this effect became nonsignificant after correcting for publication bias (trim-and-fill adjusted Hedges' <i>g</i> = 0.082, 95%CI: -0.052 to 0.217). Task-specific analyses revealed significant benefits in n-back tasks (Hedges' <i>g</i> = 0.463, 95%CI: 0.193-0.733) but not in DMTS tasks (Hedges' <i>g</i> = 0.257, 95%CI: -0.186 to 0.553). Moderator analyses showed that performance in n-back tasks was influenced by stimulation frequency (<i>P</i> = 0.001), concurrent status (<i>P</i> = 0.014), task modality (<i>P</i> = 0.005), and duration (<i>P</i> = 0.013), whereas only the region of targeted stimulation (<i>P</i> = 0.012) moderated DMTS tasks.</p><p><strong>Conclusion: </strong>Theta-tACS enhances working memory in healthy adults, with effects modulated by the task type and protocol parameters, offering dual implications for cognitive enhancement and clinical interventions.</p>","PeriodicalId":23896,"journal":{"name":"World Journal of Psychiatry","volume":"15 9","pages":"107754"},"PeriodicalIF":3.4000,"publicationDate":"2025-09-19","publicationTypes":"Journal Article","fieldsOfStudy":null,"isOpenAccess":false,"openAccessPdf":"https://www.ncbi.nlm.nih.gov/pmc/articles/PMC12417929/pdf/","citationCount":"0","resultStr":"{\"title\":\"Effect of theta-transcranial alternating current stimulation on working memory performance among healthy adults: A systematic review and meta-analysis.\",\"authors\":\"Tian-Ya Hou, Xiao-Fei Mao, Rui-Ke Zhang\",\"doi\":\"10.5498/wjp.v15.i9.107754\",\"DOIUrl\":null,\"url\":null,\"abstract\":\"<p><strong>Background: </strong>Working memory serves as a fundamental cognitive function that substantially impacts performance in various cognitive tasks. Extensive neurophysiological research has established that theta oscillations (4-8 Hz) play an essential role in supporting working memory operations. Theta-band transcranial alternating current stimulation (tACS) offers a potential mechanism for working memory enhancement through direct modulation of these fundamental neural oscillations. Nevertheless, current empirical evidence shows substantial variability in the observed effects of theta-tACS across studies.</p><p><strong>Aim: </strong>To conduct a systematic review and meta-analysis evaluating the effects of theta-tACS on working memory performance in healthy adults.</p><p><strong>Methods: </strong>A systematic literature search was performed on PubMed, EMBASE, and Web of Science up to March 10, 2025. Effect sizes were computed using Hedges' <i>g</i> with 95% confidence intervals (CIs), with separate meta-analyses for all included studies and for distinct working memory paradigms [n-back and delayed match-to-sample (DMTS) tasks] to examine potential task-specific effects. Subgroup analyses and meta-regression were performed to evaluate the influence of key moderating variables.</p><p><strong>Results: </strong>The systematic review included 21 studies (67 effect sizes). Initial meta-analysis showed theta-tACS moderately improved working memory (Hedges' <i>g</i> = 0.405, 95%CI: 0.212-0.598). However, this effect became nonsignificant after correcting for publication bias (trim-and-fill adjusted Hedges' <i>g</i> = 0.082, 95%CI: -0.052 to 0.217). Task-specific analyses revealed significant benefits in n-back tasks (Hedges' <i>g</i> = 0.463, 95%CI: 0.193-0.733) but not in DMTS tasks (Hedges' <i>g</i> = 0.257, 95%CI: -0.186 to 0.553). Moderator analyses showed that performance in n-back tasks was influenced by stimulation frequency (<i>P</i> = 0.001), concurrent status (<i>P</i> = 0.014), task modality (<i>P</i> = 0.005), and duration (<i>P</i> = 0.013), whereas only the region of targeted stimulation (<i>P</i> = 0.012) moderated DMTS tasks.</p><p><strong>Conclusion: </strong>Theta-tACS enhances working memory in healthy adults, with effects modulated by the task type and protocol parameters, offering dual implications for cognitive enhancement and clinical interventions.</p>\",\"PeriodicalId\":23896,\"journal\":{\"name\":\"World Journal of Psychiatry\",\"volume\":\"15 9\",\"pages\":\"107754\"},\"PeriodicalIF\":3.4000,\"publicationDate\":\"2025-09-19\",\"publicationTypes\":\"Journal Article\",\"fieldsOfStudy\":null,\"isOpenAccess\":false,\"openAccessPdf\":\"https://www.ncbi.nlm.nih.gov/pmc/articles/PMC12417929/pdf/\",\"citationCount\":\"0\",\"resultStr\":null,\"platform\":\"Semanticscholar\",\"paperid\":null,\"PeriodicalName\":\"World Journal of Psychiatry\",\"FirstCategoryId\":\"3\",\"ListUrlMain\":\"https://doi.org/10.5498/wjp.v15.i9.107754\",\"RegionNum\":4,\"RegionCategory\":\"医学\",\"ArticlePicture\":[],\"TitleCN\":null,\"AbstractTextCN\":null,\"PMCID\":null,\"EPubDate\":\"\",\"PubModel\":\"\",\"JCR\":\"Q1\",\"JCRName\":\"PSYCHIATRY\",\"Score\":null,\"Total\":0}","platform":"Semanticscholar","paperid":null,"PeriodicalName":"World Journal of Psychiatry","FirstCategoryId":"3","ListUrlMain":"https://doi.org/10.5498/wjp.v15.i9.107754","RegionNum":4,"RegionCategory":"医学","ArticlePicture":[],"TitleCN":null,"AbstractTextCN":null,"PMCID":null,"EPubDate":"","PubModel":"","JCR":"Q1","JCRName":"PSYCHIATRY","Score":null,"Total":0}
引用次数: 0

摘要

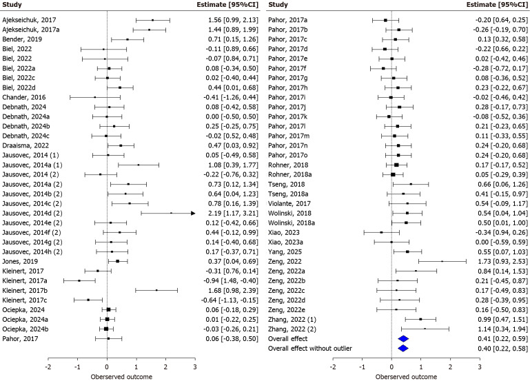
背景:工作记忆是一种基本的认知功能,它对各种认知任务的表现有很大的影响。广泛的神经生理学研究已经证实,θ波振荡(4-8赫兹)在支持工作记忆操作中起着至关重要的作用。theta波段经颅交流电刺激(tACS)通过直接调节这些基本的神经振荡,为工作记忆的增强提供了一种潜在的机制。然而,目前的经验证据表明,在不同的研究中,观察到的theta-tACS效应存在很大的差异。目的:通过系统回顾和荟萃分析,评价theta-tACS对健康成人工作记忆表现的影响。方法:系统检索截至2025年3月10日的PubMed、EMBASE和Web of Science的文献。效应量使用Hedges' g计算,95%置信区间(ci),并对所有纳入的研究和不同的工作记忆范式[n-back和延迟匹配样本(DMTS)任务]进行单独的荟萃分析,以检查潜在的任务特异性效应。采用亚组分析和元回归来评估关键调节变量的影响。结果:系统评价纳入21项研究(67个效应量)。初步meta分析显示,theta-tACS可适度改善工作记忆(Hedges' g = 0.405, 95%CI: 0.212-0.598)。然而,在校正了发表偏倚后,这种效应变得不显著(修正后的对冲系数g = 0.082, 95%CI: -0.052至0.217)。特定任务分析显示,n-back任务(Hedges' g = 0.463, 95%CI: 0.193-0.733)有显著的好处,但在DMTS任务中没有(Hedges' g = 0.257, 95%CI: -0.186至0.553)。调节分析表明,n-back任务的表现受到刺激频率(P = 0.001)、并发状态(P = 0.014)、任务方式(P = 0.005)和持续时间(P = 0.013)的影响,而只有目标刺激区域(P = 0.012)调节DMTS任务。结论:Theta-tACS可增强健康成人的工作记忆,其作用受任务类型和方案参数的调节,具有认知增强和临床干预的双重意义。
本文章由计算机程序翻译,如有差异,请以英文原文为准。

Effect of theta-transcranial alternating current stimulation on working memory performance among healthy adults: A systematic review and meta-analysis.

Effect of theta-transcranial alternating current stimulation on working memory performance among healthy adults: A systematic review and meta-analysis.

Effect of theta-transcranial alternating current stimulation on working memory performance among healthy adults: A systematic review and meta-analysis.

Effect of theta-transcranial alternating current stimulation on working memory performance among healthy adults: A systematic review and meta-analysis.

Background: Working memory serves as a fundamental cognitive function that substantially impacts performance in various cognitive tasks. Extensive neurophysiological research has established that theta oscillations (4-8 Hz) play an essential role in supporting working memory operations. Theta-band transcranial alternating current stimulation (tACS) offers a potential mechanism for working memory enhancement through direct modulation of these fundamental neural oscillations. Nevertheless, current empirical evidence shows substantial variability in the observed effects of theta-tACS across studies.

Aim: To conduct a systematic review and meta-analysis evaluating the effects of theta-tACS on working memory performance in healthy adults.

Methods: A systematic literature search was performed on PubMed, EMBASE, and Web of Science up to March 10, 2025. Effect sizes were computed using Hedges' g with 95% confidence intervals (CIs), with separate meta-analyses for all included studies and for distinct working memory paradigms [n-back and delayed match-to-sample (DMTS) tasks] to examine potential task-specific effects. Subgroup analyses and meta-regression were performed to evaluate the influence of key moderating variables.

Results: The systematic review included 21 studies (67 effect sizes). Initial meta-analysis showed theta-tACS moderately improved working memory (Hedges' g = 0.405, 95%CI: 0.212-0.598). However, this effect became nonsignificant after correcting for publication bias (trim-and-fill adjusted Hedges' g = 0.082, 95%CI: -0.052 to 0.217). Task-specific analyses revealed significant benefits in n-back tasks (Hedges' g = 0.463, 95%CI: 0.193-0.733) but not in DMTS tasks (Hedges' g = 0.257, 95%CI: -0.186 to 0.553). Moderator analyses showed that performance in n-back tasks was influenced by stimulation frequency (P = 0.001), concurrent status (P = 0.014), task modality (P = 0.005), and duration (P = 0.013), whereas only the region of targeted stimulation (P = 0.012) moderated DMTS tasks.

Conclusion: Theta-tACS enhances working memory in healthy adults, with effects modulated by the task type and protocol parameters, offering dual implications for cognitive enhancement and clinical interventions.

求助全文
通过发布文献求助,成功后即可免费获取论文全文。 去求助
来源期刊
自引率
6.50%
发文量
110
期刊介绍: The World Journal of Psychiatry (WJP) is a high-quality, peer reviewed, open-access journal. The primary task of WJP is to rapidly publish high-quality original articles, reviews, editorials, and case reports in the field of psychiatry. In order to promote productive academic communication, the peer review process for the WJP is transparent; to this end, all published manuscripts are accompanied by the anonymized reviewers’ comments as well as the authors’ responses. The primary aims of the WJP are to improve diagnostic, therapeutic and preventive modalities and the skills of clinicians and to guide clinical practice in psychiatry.
×
引用
GB/T 7714-2015
复制
MLA
复制
APA
复制
导出至
BibTeX EndNote RefMan NoteFirst NoteExpress
×
提示
您的信息不完整,为了账户安全,请先补充。
现在去补充
×
提示
您因"违规操作"
具体请查看互助需知
我知道了
×
提示
确定
请完成安全验证×
copy
已复制链接
快去分享给好友吧!
我知道了
右上角分享
点击右上角分享
0
联系我们:info@booksci.cn Book学术提供免费学术资源搜索服务,方便国内外学者检索中英文文献。致力于提供最便捷和优质的服务体验。 Copyright © 2023 布克学术 All rights reserved.
京ICP备2023020795号-1
ghs 京公网安备 11010802042870号
Book学术文献互助
Book学术文献互助群
群 号:604180095
Book学术官方微信