基于肝脾僵硬度的无创模型预测肝硬化患者临床失代偿。

IF 5.4 3区 医学 Q1 GASTROENTEROLOGY & HEPATOLOGY
Long-Bao Yang, Xin Gao, Meng Xu, Yong Li, Lei Dong, Xin-Di Huang, Xiao She, Dan-Yang Zhang, Qian-Wen Zhang, Chen-Yu Liu, Shu-Ting Fan, Yan Wang
{"title":"基于肝脾僵硬度的无创模型预测肝硬化患者临床失代偿。","authors":"Long-Bao Yang, Xin Gao, Meng Xu, Yong Li, Lei Dong, Xin-Di Huang, Xiao She, Dan-Yang Zhang, Qian-Wen Zhang, Chen-Yu Liu, Shu-Ting Fan, Yan Wang","doi":"10.3748/wjg.v31.i33.107408","DOIUrl":null,"url":null,"abstract":"<p><strong>Background: </strong>The hepatic venous pressure gradient serves as a crucial parameter for assessing portal hypertension and predicting clinical decompensation in individuals with cirrhosis. However, owing to its invasive nature, there has been growing interest in identifying noninvasive alternatives. Transient elastography offers a promising approach for measuring liver stiffness and spleen stiffness, which can help estimate the likelihood of decompensation in patients with chronic liver disease.</p><p><strong>Aim: </strong>To investigate the predictive ability of the liver stiffness measurement (LSM) and spleen stiffness measurement (SSM) in conjunction with other noninvasive indicators for clinical decompensation in patients suffering from compensatory cirrhosis and portal hypertension.</p><p><strong>Methods: </strong>This study was a retrospective analysis of the clinical data of 200 patients who were diagnosed with viral cirrhosis and who received computed tomography, transient elastography, ultrasound, and endoscopic examinations at The Second Affiliated Hospital of Xi'an Jiaotong University between March 2020 and November 2022. Patient classification was performed in accordance with the Baveno VI consensus. The area under the curve was used to evaluate and compare the predictive accuracy across different patient groups. The diagnostic effectiveness of several models, including the liver stiffness-spleen diameter-platelet ratio, variceal risk index, aspartate aminotransferase-alanine aminotransferase ratio, Baveno VI criteria, and newly developed models, was assessed. Additionally, decision curve analysis was carried out across a range of threshold probabilities to evaluate the clinical utility of these predictive factors.</p><p><strong>Results: </strong>Univariate and multivariate analyses demonstrated that SSM, LSM, and the spleen length diameter (SLD) were linked to clinical decompensation in individuals with viral cirrhosis. On the basis of these findings, a predictive model was developed <i>via</i> logistic regression: Ln [P/(1-P)] = -4.969 - 0.279 × SSM + 0.348 × LSM + 0.272 × SLD. The model exhibited strong performance, with an area under the curve of 0.944. At a cutoff value of 0.56, the sensitivity, specificity, positive predictive value, and negative predictive value for predicting clinical decompensation were 85.29%, 88.89%, 87.89%, and 86.47%, respectively. The newly developed model demonstrated enhanced accuracy in forecasting clinical decompensation among patients suffering from viral cirrhosis when compared to four previously established models.</p><p><strong>Conclusion: </strong>Noninvasive models utilizing SSM, LSM, and SLD are effective in predicting clinical decompensation among patients with viral cirrhosis, thereby reducing the need for unnecessary hepatic venous pressure gradient testing.</p>","PeriodicalId":23778,"journal":{"name":"World Journal of Gastroenterology","volume":"31 33","pages":"107408"},"PeriodicalIF":5.4000,"publicationDate":"2025-09-07","publicationTypes":"Journal Article","fieldsOfStudy":null,"isOpenAccess":false,"openAccessPdf":"https://www.ncbi.nlm.nih.gov/pmc/articles/PMC12418019/pdf/","citationCount":"0","resultStr":"{\"title\":\"Noninvasive model based on liver and spleen stiffness for predicting clinical decompensation in patients with cirrhosis.\",\"authors\":\"Long-Bao Yang, Xin Gao, Meng Xu, Yong Li, Lei Dong, Xin-Di Huang, Xiao She, Dan-Yang Zhang, Qian-Wen Zhang, Chen-Yu Liu, Shu-Ting Fan, Yan Wang\",\"doi\":\"10.3748/wjg.v31.i33.107408\",\"DOIUrl\":null,\"url\":null,\"abstract\":\"<p><strong>Background: </strong>The hepatic venous pressure gradient serves as a crucial parameter for assessing portal hypertension and predicting clinical decompensation in individuals with cirrhosis. However, owing to its invasive nature, there has been growing interest in identifying noninvasive alternatives. Transient elastography offers a promising approach for measuring liver stiffness and spleen stiffness, which can help estimate the likelihood of decompensation in patients with chronic liver disease.</p><p><strong>Aim: </strong>To investigate the predictive ability of the liver stiffness measurement (LSM) and spleen stiffness measurement (SSM) in conjunction with other noninvasive indicators for clinical decompensation in patients suffering from compensatory cirrhosis and portal hypertension.</p><p><strong>Methods: </strong>This study was a retrospective analysis of the clinical data of 200 patients who were diagnosed with viral cirrhosis and who received computed tomography, transient elastography, ultrasound, and endoscopic examinations at The Second Affiliated Hospital of Xi'an Jiaotong University between March 2020 and November 2022. Patient classification was performed in accordance with the Baveno VI consensus. The area under the curve was used to evaluate and compare the predictive accuracy across different patient groups. The diagnostic effectiveness of several models, including the liver stiffness-spleen diameter-platelet ratio, variceal risk index, aspartate aminotransferase-alanine aminotransferase ratio, Baveno VI criteria, and newly developed models, was assessed. Additionally, decision curve analysis was carried out across a range of threshold probabilities to evaluate the clinical utility of these predictive factors.</p><p><strong>Results: </strong>Univariate and multivariate analyses demonstrated that SSM, LSM, and the spleen length diameter (SLD) were linked to clinical decompensation in individuals with viral cirrhosis. On the basis of these findings, a predictive model was developed <i>via</i> logistic regression: Ln [P/(1-P)] = -4.969 - 0.279 × SSM + 0.348 × LSM + 0.272 × SLD. The model exhibited strong performance, with an area under the curve of 0.944. At a cutoff value of 0.56, the sensitivity, specificity, positive predictive value, and negative predictive value for predicting clinical decompensation were 85.29%, 88.89%, 87.89%, and 86.47%, respectively. The newly developed model demonstrated enhanced accuracy in forecasting clinical decompensation among patients suffering from viral cirrhosis when compared to four previously established models.</p><p><strong>Conclusion: </strong>Noninvasive models utilizing SSM, LSM, and SLD are effective in predicting clinical decompensation among patients with viral cirrhosis, thereby reducing the need for unnecessary hepatic venous pressure gradient testing.</p>\",\"PeriodicalId\":23778,\"journal\":{\"name\":\"World Journal of Gastroenterology\",\"volume\":\"31 33\",\"pages\":\"107408\"},\"PeriodicalIF\":5.4000,\"publicationDate\":\"2025-09-07\",\"publicationTypes\":\"Journal Article\",\"fieldsOfStudy\":null,\"isOpenAccess\":false,\"openAccessPdf\":\"https://www.ncbi.nlm.nih.gov/pmc/articles/PMC12418019/pdf/\",\"citationCount\":\"0\",\"resultStr\":null,\"platform\":\"Semanticscholar\",\"paperid\":null,\"PeriodicalName\":\"World Journal of Gastroenterology\",\"FirstCategoryId\":\"3\",\"ListUrlMain\":\"https://doi.org/10.3748/wjg.v31.i33.107408\",\"RegionNum\":3,\"RegionCategory\":\"医学\",\"ArticlePicture\":[],\"TitleCN\":null,\"AbstractTextCN\":null,\"PMCID\":null,\"EPubDate\":\"\",\"PubModel\":\"\",\"JCR\":\"Q1\",\"JCRName\":\"GASTROENTEROLOGY & HEPATOLOGY\",\"Score\":null,\"Total\":0}","platform":"Semanticscholar","paperid":null,"PeriodicalName":"World Journal of Gastroenterology","FirstCategoryId":"3","ListUrlMain":"https://doi.org/10.3748/wjg.v31.i33.107408","RegionNum":3,"RegionCategory":"医学","ArticlePicture":[],"TitleCN":null,"AbstractTextCN":null,"PMCID":null,"EPubDate":"","PubModel":"","JCR":"Q1","JCRName":"GASTROENTEROLOGY & HEPATOLOGY","Score":null,"Total":0}
引用次数: 0

摘要

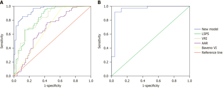
背景:肝静脉压梯度是评估门脉高压和预测肝硬化患者临床失代偿的关键参数。然而,由于其侵入性,人们对寻找非侵入性替代品的兴趣越来越大。瞬时弹性成像提供了一种很有前途的方法来测量肝脏僵硬和脾脏僵硬,它可以帮助估计慢性肝病患者代偿失调的可能性。目的:探讨肝刚度测量(LSM)和脾刚度测量(SSM)联合其他无创指标对代偿性肝硬化门脉高压患者临床失代偿的预测能力。方法:回顾性分析2020年3月至2022年11月在西安交通大学第二附属医院接受计算机断层扫描、瞬时弹性成像、超声和内窥镜检查的200例病毒性肝硬化患者的临床资料。根据Baveno VI共识对患者进行分类。曲线下面积用于评估和比较不同患者组的预测准确性。评估肝刚度-脾直径-血小板比值、静脉曲张风险指数、天冬氨酸转氨酶-丙氨酸转氨酶比值、Baveno VI标准和新开发的模型等几种模型的诊断效果。此外,在一系列阈值概率范围内进行决策曲线分析,以评估这些预测因素的临床效用。结果:单因素和多因素分析表明,SSM、LSM和脾长径(SLD)与病毒性肝硬化患者的临床代偿失代偿有关。在此基础上,通过logistic回归建立预测模型:Ln [P/(1-P)] = -4.969 - 0.279 × SSM + 0.348 × LSM + 0.272 × SLD。模型表现出较强的性能,曲线下面积为0.944。在截断值0.56下,预测临床失代偿的敏感性为85.29%,特异性为88.89%,阳性预测值为87.89%,阴性预测值为86.47%。与先前建立的四种模型相比,新开发的模型在预测病毒性肝硬化患者的临床失代偿方面显示出更高的准确性。结论:利用SSM、LSM和SLD的无创模型可有效预测病毒性肝硬化患者的临床失代偿,从而减少不必要的肝静脉压梯度检测的需要。
本文章由计算机程序翻译,如有差异,请以英文原文为准。

Noninvasive model based on liver and spleen stiffness for predicting clinical decompensation in patients with cirrhosis.

Noninvasive model based on liver and spleen stiffness for predicting clinical decompensation in patients with cirrhosis.

Noninvasive model based on liver and spleen stiffness for predicting clinical decompensation in patients with cirrhosis.

Noninvasive model based on liver and spleen stiffness for predicting clinical decompensation in patients with cirrhosis.

Background: The hepatic venous pressure gradient serves as a crucial parameter for assessing portal hypertension and predicting clinical decompensation in individuals with cirrhosis. However, owing to its invasive nature, there has been growing interest in identifying noninvasive alternatives. Transient elastography offers a promising approach for measuring liver stiffness and spleen stiffness, which can help estimate the likelihood of decompensation in patients with chronic liver disease.

Aim: To investigate the predictive ability of the liver stiffness measurement (LSM) and spleen stiffness measurement (SSM) in conjunction with other noninvasive indicators for clinical decompensation in patients suffering from compensatory cirrhosis and portal hypertension.

Methods: This study was a retrospective analysis of the clinical data of 200 patients who were diagnosed with viral cirrhosis and who received computed tomography, transient elastography, ultrasound, and endoscopic examinations at The Second Affiliated Hospital of Xi'an Jiaotong University between March 2020 and November 2022. Patient classification was performed in accordance with the Baveno VI consensus. The area under the curve was used to evaluate and compare the predictive accuracy across different patient groups. The diagnostic effectiveness of several models, including the liver stiffness-spleen diameter-platelet ratio, variceal risk index, aspartate aminotransferase-alanine aminotransferase ratio, Baveno VI criteria, and newly developed models, was assessed. Additionally, decision curve analysis was carried out across a range of threshold probabilities to evaluate the clinical utility of these predictive factors.

Results: Univariate and multivariate analyses demonstrated that SSM, LSM, and the spleen length diameter (SLD) were linked to clinical decompensation in individuals with viral cirrhosis. On the basis of these findings, a predictive model was developed via logistic regression: Ln [P/(1-P)] = -4.969 - 0.279 × SSM + 0.348 × LSM + 0.272 × SLD. The model exhibited strong performance, with an area under the curve of 0.944. At a cutoff value of 0.56, the sensitivity, specificity, positive predictive value, and negative predictive value for predicting clinical decompensation were 85.29%, 88.89%, 87.89%, and 86.47%, respectively. The newly developed model demonstrated enhanced accuracy in forecasting clinical decompensation among patients suffering from viral cirrhosis when compared to four previously established models.

Conclusion: Noninvasive models utilizing SSM, LSM, and SLD are effective in predicting clinical decompensation among patients with viral cirrhosis, thereby reducing the need for unnecessary hepatic venous pressure gradient testing.

求助全文
通过发布文献求助,成功后即可免费获取论文全文。 去求助
来源期刊
World Journal of Gastroenterology
World Journal of Gastroenterology 医学-胃肠肝病学
CiteScore
7.80
自引率
4.70%
发文量
464
审稿时长
2.4 months
期刊介绍: The primary aims of the WJG are to improve diagnostic, therapeutic and preventive modalities and the skills of clinicians and to guide clinical practice in gastroenterology and hepatology.
×
引用
GB/T 7714-2015
复制
MLA
复制
APA
复制
导出至
BibTeX EndNote RefMan NoteFirst NoteExpress
×
提示
您的信息不完整,为了账户安全,请先补充。
现在去补充
×
提示
您因"违规操作"
具体请查看互助需知
我知道了
×
提示
确定
请完成安全验证×
copy
已复制链接
快去分享给好友吧!
我知道了
右上角分享
点击右上角分享
0
联系我们:info@booksci.cn Book学术提供免费学术资源搜索服务,方便国内外学者检索中英文文献。致力于提供最便捷和优质的服务体验。 Copyright © 2023 布克学术 All rights reserved.
京ICP备2023020795号-1
ghs 京公网安备 11010802042870号
Book学术文献互助
Book学术文献互助群
群 号:604180095
Book学术官方微信