基于深度学习的超分辨率重建的多参数磁共振成像预测肝细胞癌的组织病理分级。

IF 5.4 3区 医学 Q1 GASTROENTEROLOGY & HEPATOLOGY
Zi-Zheng Wang, Shao-Ming Song, Gong Zhang, Rui-Qiu Chen, Zhuo-Chao Zhang, Rong Liu
{"title":"基于深度学习的超分辨率重建的多参数磁共振成像预测肝细胞癌的组织病理分级。","authors":"Zi-Zheng Wang, Shao-Ming Song, Gong Zhang, Rui-Qiu Chen, Zhuo-Chao Zhang, Rong Liu","doi":"10.3748/wjg.v31.i34.111541","DOIUrl":null,"url":null,"abstract":"<p><strong>Background: </strong>Deep learning-based super-resolution (SR) reconstruction can obtain high-quality images with more detailed information.</p><p><strong>Aim: </strong>To compare multiparametric normal-resolution (NR) and SR magnetic resonance imaging (MRI) in predicting the histopathologic grade in hepatocellular carcinoma.</p><p><strong>Methods: </strong>We retrospectively analyzed a total of 826 patients from two medical centers (training 459; validation 196; test 171). T2-weighted imaging, diffusion-weighted imaging, and portal venous phases were collected. Tumor segmentations were conducted automatically by 3D U-Net. Based on generative adversarial network, we utilized 3D SR reconstruction to produce SR MRI. Radiomics models were developed and validated by XGBoost and Catboost. The predictive efficiency was demonstrated by calibration curves, decision curve analysis, area under the curve (AUC) and net reclassification index (NRI).</p><p><strong>Results: </strong>We extracted 3045 radiomic features from both NR and SR MRI, retaining 29 and 28 features, respectively. For XGBoost models, SR MRI yielded higher AUC value than NR MRI in the validation and test cohorts (0.83 <i>vs</i> 0.79; 0.80 <i>vs</i> 0.78), respectively. Consistent trends were seen in CatBoost models: SR MRI achieved AUCs of 0.89 and 0.80 compared to NR MRI's 0.81 and 0.76. NRI indicated that the SR MRI models could improve the prediction accuracy by -1.6% to 20.9% compared to the NR MRI models.</p><p><strong>Conclusion: </strong>Deep learning-based SR MRI could improve the predictive performance of histopathologic grade in HCC. It may be a powerful tool for better stratification management for patients with operable HCC.</p>","PeriodicalId":23778,"journal":{"name":"World Journal of Gastroenterology","volume":"31 34","pages":"111541"},"PeriodicalIF":5.4000,"publicationDate":"2025-09-14","publicationTypes":"Journal Article","fieldsOfStudy":null,"isOpenAccess":false,"openAccessPdf":"https://www.ncbi.nlm.nih.gov/pmc/articles/PMC12421388/pdf/","citationCount":"0","resultStr":"{\"title\":\"Multiparametric magnetic resonance imaging of deep learning-based super-resolution reconstruction for predicting histopathologic grade in hepatocellular carcinoma.\",\"authors\":\"Zi-Zheng Wang, Shao-Ming Song, Gong Zhang, Rui-Qiu Chen, Zhuo-Chao Zhang, Rong Liu\",\"doi\":\"10.3748/wjg.v31.i34.111541\",\"DOIUrl\":null,\"url\":null,\"abstract\":\"<p><strong>Background: </strong>Deep learning-based super-resolution (SR) reconstruction can obtain high-quality images with more detailed information.</p><p><strong>Aim: </strong>To compare multiparametric normal-resolution (NR) and SR magnetic resonance imaging (MRI) in predicting the histopathologic grade in hepatocellular carcinoma.</p><p><strong>Methods: </strong>We retrospectively analyzed a total of 826 patients from two medical centers (training 459; validation 196; test 171). T2-weighted imaging, diffusion-weighted imaging, and portal venous phases were collected. Tumor segmentations were conducted automatically by 3D U-Net. Based on generative adversarial network, we utilized 3D SR reconstruction to produce SR MRI. Radiomics models were developed and validated by XGBoost and Catboost. The predictive efficiency was demonstrated by calibration curves, decision curve analysis, area under the curve (AUC) and net reclassification index (NRI).</p><p><strong>Results: </strong>We extracted 3045 radiomic features from both NR and SR MRI, retaining 29 and 28 features, respectively. For XGBoost models, SR MRI yielded higher AUC value than NR MRI in the validation and test cohorts (0.83 <i>vs</i> 0.79; 0.80 <i>vs</i> 0.78), respectively. Consistent trends were seen in CatBoost models: SR MRI achieved AUCs of 0.89 and 0.80 compared to NR MRI's 0.81 and 0.76. NRI indicated that the SR MRI models could improve the prediction accuracy by -1.6% to 20.9% compared to the NR MRI models.</p><p><strong>Conclusion: </strong>Deep learning-based SR MRI could improve the predictive performance of histopathologic grade in HCC. It may be a powerful tool for better stratification management for patients with operable HCC.</p>\",\"PeriodicalId\":23778,\"journal\":{\"name\":\"World Journal of Gastroenterology\",\"volume\":\"31 34\",\"pages\":\"111541\"},\"PeriodicalIF\":5.4000,\"publicationDate\":\"2025-09-14\",\"publicationTypes\":\"Journal Article\",\"fieldsOfStudy\":null,\"isOpenAccess\":false,\"openAccessPdf\":\"https://www.ncbi.nlm.nih.gov/pmc/articles/PMC12421388/pdf/\",\"citationCount\":\"0\",\"resultStr\":null,\"platform\":\"Semanticscholar\",\"paperid\":null,\"PeriodicalName\":\"World Journal of Gastroenterology\",\"FirstCategoryId\":\"3\",\"ListUrlMain\":\"https://doi.org/10.3748/wjg.v31.i34.111541\",\"RegionNum\":3,\"RegionCategory\":\"医学\",\"ArticlePicture\":[],\"TitleCN\":null,\"AbstractTextCN\":null,\"PMCID\":null,\"EPubDate\":\"\",\"PubModel\":\"\",\"JCR\":\"Q1\",\"JCRName\":\"GASTROENTEROLOGY & HEPATOLOGY\",\"Score\":null,\"Total\":0}","platform":"Semanticscholar","paperid":null,"PeriodicalName":"World Journal of Gastroenterology","FirstCategoryId":"3","ListUrlMain":"https://doi.org/10.3748/wjg.v31.i34.111541","RegionNum":3,"RegionCategory":"医学","ArticlePicture":[],"TitleCN":null,"AbstractTextCN":null,"PMCID":null,"EPubDate":"","PubModel":"","JCR":"Q1","JCRName":"GASTROENTEROLOGY & HEPATOLOGY","Score":null,"Total":0}
引用次数: 0

摘要

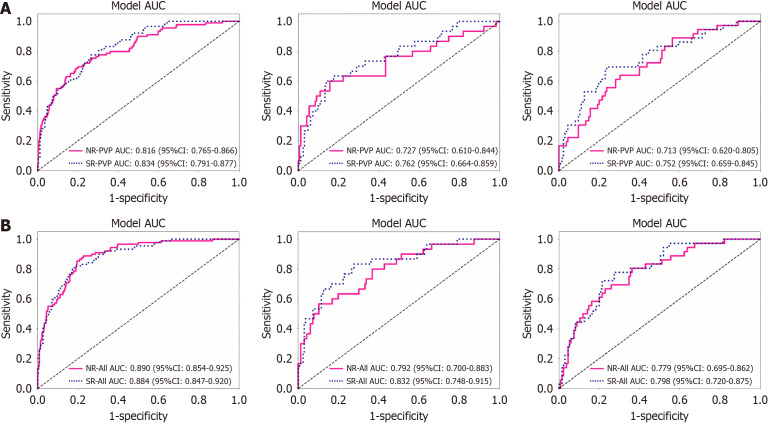
背景:基于深度学习的超分辨率(SR)重建可以获得具有更详细信息的高质量图像。目的:比较多参数正常分辨率(NR)和SR磁共振成像(MRI)对肝细胞癌组织病理分级的预测价值。方法:我们回顾性分析了来自两个医疗中心的826例患者(培训459例;验证196例;检验171例)。采集t2加权成像、弥散加权成像及门静脉相。采用3D U-Net自动分割肿瘤。基于生成对抗网络,我们利用三维SR重建生成SR MRI。利用XGBoost和Catboost建立并验证放射组学模型。通过标定曲线、决策曲线分析、曲线下面积(AUC)和净重分类指数(NRI)验证了预测效果。结果:我们从NR和SR MRI中提取了3045个放射学特征,分别保留了29个和28个特征。对于XGBoost模型,在验证组和测试组中,SR MRI的AUC值分别高于NR MRI (0.83 vs 0.79; 0.80 vs 0.78)。在CatBoost模型中可以看到一致的趋势:SR MRI的auc为0.89和0.80,而NR MRI的auc为0.81和0.76。NRI表明,与NR MRI模型相比,SR MRI模型的预测精度提高了-1.6% ~ 20.9%。结论:基于深度学习的SR MRI可提高HCC组织病理分级的预测能力。它可能是可手术肝细胞癌患者更好的分层管理的有力工具。
本文章由计算机程序翻译,如有差异,请以英文原文为准。

Multiparametric magnetic resonance imaging of deep learning-based super-resolution reconstruction for predicting histopathologic grade in hepatocellular carcinoma.

Multiparametric magnetic resonance imaging of deep learning-based super-resolution reconstruction for predicting histopathologic grade in hepatocellular carcinoma.

Multiparametric magnetic resonance imaging of deep learning-based super-resolution reconstruction for predicting histopathologic grade in hepatocellular carcinoma.

Multiparametric magnetic resonance imaging of deep learning-based super-resolution reconstruction for predicting histopathologic grade in hepatocellular carcinoma.

Background: Deep learning-based super-resolution (SR) reconstruction can obtain high-quality images with more detailed information.

Aim: To compare multiparametric normal-resolution (NR) and SR magnetic resonance imaging (MRI) in predicting the histopathologic grade in hepatocellular carcinoma.

Methods: We retrospectively analyzed a total of 826 patients from two medical centers (training 459; validation 196; test 171). T2-weighted imaging, diffusion-weighted imaging, and portal venous phases were collected. Tumor segmentations were conducted automatically by 3D U-Net. Based on generative adversarial network, we utilized 3D SR reconstruction to produce SR MRI. Radiomics models were developed and validated by XGBoost and Catboost. The predictive efficiency was demonstrated by calibration curves, decision curve analysis, area under the curve (AUC) and net reclassification index (NRI).

Results: We extracted 3045 radiomic features from both NR and SR MRI, retaining 29 and 28 features, respectively. For XGBoost models, SR MRI yielded higher AUC value than NR MRI in the validation and test cohorts (0.83 vs 0.79; 0.80 vs 0.78), respectively. Consistent trends were seen in CatBoost models: SR MRI achieved AUCs of 0.89 and 0.80 compared to NR MRI's 0.81 and 0.76. NRI indicated that the SR MRI models could improve the prediction accuracy by -1.6% to 20.9% compared to the NR MRI models.

Conclusion: Deep learning-based SR MRI could improve the predictive performance of histopathologic grade in HCC. It may be a powerful tool for better stratification management for patients with operable HCC.

求助全文
通过发布文献求助,成功后即可免费获取论文全文。 去求助
来源期刊
World Journal of Gastroenterology
World Journal of Gastroenterology 医学-胃肠肝病学
CiteScore
7.80
自引率
4.70%
发文量
464
审稿时长
2.4 months
期刊介绍: The primary aims of the WJG are to improve diagnostic, therapeutic and preventive modalities and the skills of clinicians and to guide clinical practice in gastroenterology and hepatology.
×
引用
GB/T 7714-2015
复制
MLA
复制
APA
复制
导出至
BibTeX EndNote RefMan NoteFirst NoteExpress
×
提示
您的信息不完整,为了账户安全,请先补充。
现在去补充
×
提示
您因"违规操作"
具体请查看互助需知
我知道了
×
提示
确定
请完成安全验证×
copy
已复制链接
快去分享给好友吧!
我知道了
右上角分享
点击右上角分享
0
联系我们:info@booksci.cn Book学术提供免费学术资源搜索服务,方便国内外学者检索中英文文献。致力于提供最便捷和优质的服务体验。 Copyright © 2023 布克学术 All rights reserved.
京ICP备2023020795号-1
ghs 京公网安备 11010802042870号
Book学术文献互助
Book学术文献互助群
群 号:604180095
Book学术官方微信