澳大利亚维多利亚州小细胞肺癌分期指南一致性治疗的影响

IF 2.3 3区 医学 Q3 ONCOLOGY
Sanuki Tissera, Baki Billah, Md Nazmul Karim, Phillip Antippa, Robert Blum, Michelle Caldecott, Matthew Conron, Inger Olesen, Phil Parente, Gary Richardson, Evangeline Samuel, Katharine See, Craig Underhill, Gavin Wright, Javier Torres, Sagun Parakh, Tom John, John Zalcberg, Wasek Faisal, Susan Harden, Rob G Stirling
{"title":"澳大利亚维多利亚州小细胞肺癌分期指南一致性治疗的影响","authors":"Sanuki Tissera, Baki Billah, Md Nazmul Karim, Phillip Antippa, Robert Blum, Michelle Caldecott, Matthew Conron, Inger Olesen, Phil Parente, Gary Richardson, Evangeline Samuel, Katharine See, Craig Underhill, Gavin Wright, Javier Torres, Sagun Parakh, Tom John, John Zalcberg, Wasek Faisal, Susan Harden, Rob G Stirling","doi":"10.1111/1759-7714.70161","DOIUrl":null,"url":null,"abstract":"<p><strong>Introduction: </strong>Lung cancer accounts for 9% of all cancer diagnoses in Australia with a 5-year survival rate of 26%. Small cell lung cancer (SCLC) is a more aggressive subtype of lung cancer, representing 15% of all lung cancer cases and a 5-year survival of 11.1%. This study aims to assess the extent of guideline concordant treatment (GCT) delivery for SCLC in Victoria, identify patient, clinical, and hospital factors influencing GCT receipt, and evaluate its impact on survival.</p><p><strong>Methods: </strong>Data were obtained from the Victorian Lung Cancer Registry (VLCR) in Victoria, Australia (n = 1769). Descriptive statistics were used to summarie patient and disease characteristics by treatment type, including GCT, non-GCT, and no/declined treatment. Statistical analyses included multiple logistic regression, Cox regression, and Kaplan-Meier survival estimates.</p><p><strong>Results: </strong>78.1% received GCT, 10.5% received non-GCT, and 11.5% had no treatment. Older age, poor performance status, and advanced cancer stage were associated with a lower likelihood of receiving GCT. Patients who received stage-specific GCT had a 60% lower mortality risk compared to those who received non-GCT treatment.</p><p><strong>Conclusion: </strong>This study highlights significant variation in the receipt of guideline concordant treatment for SCLC, with older age, poorer performance status, and advanced cancer stage reducing the likelihood of GCT. Given the survival benefits associated with GCT, addressing barriers to its delivery is essential to improving outcomes for SCLC patients in Victoria.</p>","PeriodicalId":23338,"journal":{"name":"Thoracic Cancer","volume":"16 17","pages":"e70161"},"PeriodicalIF":2.3000,"publicationDate":"2025-09-01","publicationTypes":"Journal Article","fieldsOfStudy":null,"isOpenAccess":false,"openAccessPdf":"https://www.ncbi.nlm.nih.gov/pmc/articles/PMC12425560/pdf/","citationCount":"0","resultStr":"{\"title\":\"Impact of Stage-Specific Guideline Concordant Treatment in Small Cell Lung Cancer in Victoria, Australia.\",\"authors\":\"Sanuki Tissera, Baki Billah, Md Nazmul Karim, Phillip Antippa, Robert Blum, Michelle Caldecott, Matthew Conron, Inger Olesen, Phil Parente, Gary Richardson, Evangeline Samuel, Katharine See, Craig Underhill, Gavin Wright, Javier Torres, Sagun Parakh, Tom John, John Zalcberg, Wasek Faisal, Susan Harden, Rob G Stirling\",\"doi\":\"10.1111/1759-7714.70161\",\"DOIUrl\":null,\"url\":null,\"abstract\":\"<p><strong>Introduction: </strong>Lung cancer accounts for 9% of all cancer diagnoses in Australia with a 5-year survival rate of 26%. Small cell lung cancer (SCLC) is a more aggressive subtype of lung cancer, representing 15% of all lung cancer cases and a 5-year survival of 11.1%. This study aims to assess the extent of guideline concordant treatment (GCT) delivery for SCLC in Victoria, identify patient, clinical, and hospital factors influencing GCT receipt, and evaluate its impact on survival.</p><p><strong>Methods: </strong>Data were obtained from the Victorian Lung Cancer Registry (VLCR) in Victoria, Australia (n = 1769). Descriptive statistics were used to summarie patient and disease characteristics by treatment type, including GCT, non-GCT, and no/declined treatment. Statistical analyses included multiple logistic regression, Cox regression, and Kaplan-Meier survival estimates.</p><p><strong>Results: </strong>78.1% received GCT, 10.5% received non-GCT, and 11.5% had no treatment. Older age, poor performance status, and advanced cancer stage were associated with a lower likelihood of receiving GCT. Patients who received stage-specific GCT had a 60% lower mortality risk compared to those who received non-GCT treatment.</p><p><strong>Conclusion: </strong>This study highlights significant variation in the receipt of guideline concordant treatment for SCLC, with older age, poorer performance status, and advanced cancer stage reducing the likelihood of GCT. Given the survival benefits associated with GCT, addressing barriers to its delivery is essential to improving outcomes for SCLC patients in Victoria.</p>\",\"PeriodicalId\":23338,\"journal\":{\"name\":\"Thoracic Cancer\",\"volume\":\"16 17\",\"pages\":\"e70161\"},\"PeriodicalIF\":2.3000,\"publicationDate\":\"2025-09-01\",\"publicationTypes\":\"Journal Article\",\"fieldsOfStudy\":null,\"isOpenAccess\":false,\"openAccessPdf\":\"https://www.ncbi.nlm.nih.gov/pmc/articles/PMC12425560/pdf/\",\"citationCount\":\"0\",\"resultStr\":null,\"platform\":\"Semanticscholar\",\"paperid\":null,\"PeriodicalName\":\"Thoracic Cancer\",\"FirstCategoryId\":\"3\",\"ListUrlMain\":\"https://doi.org/10.1111/1759-7714.70161\",\"RegionNum\":3,\"RegionCategory\":\"医学\",\"ArticlePicture\":[],\"TitleCN\":null,\"AbstractTextCN\":null,\"PMCID\":null,\"EPubDate\":\"\",\"PubModel\":\"\",\"JCR\":\"Q3\",\"JCRName\":\"ONCOLOGY\",\"Score\":null,\"Total\":0}","platform":"Semanticscholar","paperid":null,"PeriodicalName":"Thoracic Cancer","FirstCategoryId":"3","ListUrlMain":"https://doi.org/10.1111/1759-7714.70161","RegionNum":3,"RegionCategory":"医学","ArticlePicture":[],"TitleCN":null,"AbstractTextCN":null,"PMCID":null,"EPubDate":"","PubModel":"","JCR":"Q3","JCRName":"ONCOLOGY","Score":null,"Total":0}
引用次数: 0

摘要

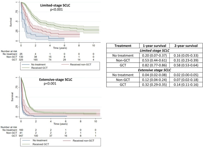
简介:肺癌占澳大利亚所有癌症诊断的9%,5年生存率为26%。小细胞肺癌(SCLC)是一种更具侵袭性的肺癌亚型,占所有肺癌病例的15%,5年生存率为11.1%。本研究旨在评估维多利亚州SCLC指南一致性治疗(GCT)的实施程度,确定影响GCT接受的患者、临床和医院因素,并评估其对生存率的影响。方法:数据来自澳大利亚维多利亚州的维多利亚肺癌登记处(VLCR) (n = 1769)。描述性统计用于按治疗类型总结患者和疾病特征,包括GCT、非GCT和未/拒绝治疗。统计分析包括多元逻辑回归、Cox回归和Kaplan-Meier生存估计。结果:78.1%的患者接受GCT治疗,10.5%的患者未接受GCT治疗,11.5%的患者未接受GCT治疗。年龄较大、表现不佳和癌症晚期与接受GCT的可能性较低相关。与接受非GCT治疗的患者相比,接受分期特异性GCT治疗的患者死亡率降低了60%。结论:本研究强调了SCLC接受指南一致性治疗的显著差异,年龄越大,表现状态越差,癌症分期越晚,降低了GCT的可能性。考虑到与GCT相关的生存益处,解决其交付障碍对于改善维多利亚州SCLC患者的预后至关重要。
本文章由计算机程序翻译,如有差异,请以英文原文为准。

Impact of Stage-Specific Guideline Concordant Treatment in Small Cell Lung Cancer in Victoria, Australia.

Impact of Stage-Specific Guideline Concordant Treatment in Small Cell Lung Cancer in Victoria, Australia.

Impact of Stage-Specific Guideline Concordant Treatment in Small Cell Lung Cancer in Victoria, Australia.

Introduction: Lung cancer accounts for 9% of all cancer diagnoses in Australia with a 5-year survival rate of 26%. Small cell lung cancer (SCLC) is a more aggressive subtype of lung cancer, representing 15% of all lung cancer cases and a 5-year survival of 11.1%. This study aims to assess the extent of guideline concordant treatment (GCT) delivery for SCLC in Victoria, identify patient, clinical, and hospital factors influencing GCT receipt, and evaluate its impact on survival.

Methods: Data were obtained from the Victorian Lung Cancer Registry (VLCR) in Victoria, Australia (n = 1769). Descriptive statistics were used to summarie patient and disease characteristics by treatment type, including GCT, non-GCT, and no/declined treatment. Statistical analyses included multiple logistic regression, Cox regression, and Kaplan-Meier survival estimates.

Results: 78.1% received GCT, 10.5% received non-GCT, and 11.5% had no treatment. Older age, poor performance status, and advanced cancer stage were associated with a lower likelihood of receiving GCT. Patients who received stage-specific GCT had a 60% lower mortality risk compared to those who received non-GCT treatment.

Conclusion: This study highlights significant variation in the receipt of guideline concordant treatment for SCLC, with older age, poorer performance status, and advanced cancer stage reducing the likelihood of GCT. Given the survival benefits associated with GCT, addressing barriers to its delivery is essential to improving outcomes for SCLC patients in Victoria.

求助全文
通过发布文献求助,成功后即可免费获取论文全文。 去求助
来源期刊
Thoracic Cancer
Thoracic Cancer ONCOLOGY-RESPIRATORY SYSTEM
CiteScore
5.20
自引率
3.40%
发文量
439
审稿时长
2 months
期刊介绍: Thoracic Cancer aims to facilitate international collaboration and exchange of comprehensive and cutting-edge information on basic, translational, and applied clinical research in lung cancer, esophageal cancer, mediastinal cancer, breast cancer and other thoracic malignancies. Prevention, treatment and research relevant to Asia-Pacific is a focus area, but submissions from all regions are welcomed. The editors encourage contributions relevant to prevention, general thoracic surgery, medical oncology, radiology, radiation medicine, pathology, basic cancer research, as well as epidemiological and translational studies in thoracic cancer. Thoracic Cancer is the official publication of the Chinese Society of Lung Cancer, International Chinese Society of Thoracic Surgery and is endorsed by the Korean Association for the Study of Lung Cancer and the Hong Kong Cancer Therapy Society. The Journal publishes a range of article types including: Editorials, Invited Reviews, Mini Reviews, Original Articles, Clinical Guidelines, Technological Notes, Imaging in thoracic cancer, Meeting Reports, Case Reports, Letters to the Editor, Commentaries, and Brief Reports.
×
引用
GB/T 7714-2015
复制
MLA
复制
APA
复制
导出至
BibTeX EndNote RefMan NoteFirst NoteExpress
×
提示
您的信息不完整,为了账户安全,请先补充。
现在去补充
×
提示
您因"违规操作"
具体请查看互助需知
我知道了
×
提示
确定
请完成安全验证×
copy
已复制链接
快去分享给好友吧!
我知道了
右上角分享
点击右上角分享
0
联系我们:info@booksci.cn Book学术提供免费学术资源搜索服务,方便国内外学者检索中英文文献。致力于提供最便捷和优质的服务体验。 Copyright © 2023 布克学术 All rights reserved.
京ICP备2023020795号-1
ghs 京公网安备 11010802042870号
Book学术文献互助
Book学术文献互助群
群 号:604180095
Book学术官方微信