囊性纤维化兄弟姐妹的mirna靶基因网络分析和表型变异。

IF 1 4区 医学 Q2 MEDICINE, GENERAL & INTERNAL
Turkish Journal of Medical Sciences Pub Date : 2025-04-28 eCollection Date: 2025-01-01 DOI:10.55730/1300-0144.6054
Ayberk Mustafaoğlu, Senem Noyan, Yeliz Z Akkaya Ulum, Bala Gür Dedeoğlu, Nagehan Emiralioğlu, Uğur Özçelik, Ebru Yalçin, Deniz Doğru, Nural Kiper, Didem Dayangaç Erden
{"title":"囊性纤维化兄弟姐妹的mirna靶基因网络分析和表型变异。","authors":"Ayberk Mustafaoğlu, Senem Noyan, Yeliz Z Akkaya Ulum, Bala Gür Dedeoğlu, Nagehan Emiralioğlu, Uğur Özçelik, Ebru Yalçin, Deniz Doğru, Nural Kiper, Didem Dayangaç Erden","doi":"10.55730/1300-0144.6054","DOIUrl":null,"url":null,"abstract":"<p><strong>Background/aim: </strong>Cystic fibrosis (CF) is an autosomal recessive disease caused by mutations in the cystic fibrosis transmembrane conductance regulator (<i>CFTR</i>) gene. CF is characterized by respiratory tract infections, pancreatic insufficiency, meconium ileus, intestinal obstruction, and male infertility. A genotype to phenotype correlation is difficult to establish because of the heterogeneity of disease severity. Even patients with the same <i>CFTR</i> mutation can have varying clinical severities. In recent years, studies have explored the role of microRNA (miRNA) expression in the regulation of respiratory diseases. However, no research has been conducted to date on miRNAs in siblings with the same <i>CFTR</i> mutation.</p><p><strong>Materials and methods: </strong>Nasal cells of CF siblings from two families with discordant phenotype (n = 2 per family) were collected, and differentially expressed miRNAs were identified using miRNA arrays. Differentially expressed miRNAs and their target genes were determined using several bioinformatic databases and tools.</p><p><strong>Results: </strong>miR-449c-5p, miR-92b-3p, miR-34c-3p, miR-34c-5p, miR-6732-5p, and miR-4793-3p were differentially expressed in patients with severe disease compared to mild. <i>CXCL1</i>, <i>CXCL2</i>, <i>DUSP1</i>, <i>GCLC</i>, <i>ICAM1</i>, <i>KIT</i>, <i>PRKAA2</i>, and <i>PTGS2</i> genes were identified as the target genes of candidate miRNAs (miR-34c-3p, miR-92b-3p, miR-449c-5p, miR-4793-3p). miRNA-mRNA interaction network analysis was performed and strong interaction was shown between miR-449c-5p target genes (<i>CXCL1</i>, <i>CXCL2</i>, <i>PTGS2</i>, <i>ICAM1</i>). <i>CXCL1</i> expression decreased 5.28-fold in patients with severe disease compared to those with mild (p = 0.01).</p><p><strong>Conclusion: </strong>Our results highlight the importance of miR-449c-5p interaction with <i>CXCL1</i> and other target genes related to inflammation. Further studies should focus on the functional analysis of miR-449c-5p.</p>","PeriodicalId":23361,"journal":{"name":"Turkish Journal of Medical Sciences","volume":"55 4","pages":"1014-1023"},"PeriodicalIF":1.0000,"publicationDate":"2025-04-28","publicationTypes":"Journal Article","fieldsOfStudy":null,"isOpenAccess":false,"openAccessPdf":"https://www.ncbi.nlm.nih.gov/pmc/articles/PMC12419052/pdf/","citationCount":"0","resultStr":"{\"title\":\"miRNA-target gene network analysis in siblings with cystic fibrosis and phenotypic variability.\",\"authors\":\"Ayberk Mustafaoğlu, Senem Noyan, Yeliz Z Akkaya Ulum, Bala Gür Dedeoğlu, Nagehan Emiralioğlu, Uğur Özçelik, Ebru Yalçin, Deniz Doğru, Nural Kiper, Didem Dayangaç Erden\",\"doi\":\"10.55730/1300-0144.6054\",\"DOIUrl\":null,\"url\":null,\"abstract\":\"<p><strong>Background/aim: </strong>Cystic fibrosis (CF) is an autosomal recessive disease caused by mutations in the cystic fibrosis transmembrane conductance regulator (<i>CFTR</i>) gene. CF is characterized by respiratory tract infections, pancreatic insufficiency, meconium ileus, intestinal obstruction, and male infertility. A genotype to phenotype correlation is difficult to establish because of the heterogeneity of disease severity. Even patients with the same <i>CFTR</i> mutation can have varying clinical severities. In recent years, studies have explored the role of microRNA (miRNA) expression in the regulation of respiratory diseases. However, no research has been conducted to date on miRNAs in siblings with the same <i>CFTR</i> mutation.</p><p><strong>Materials and methods: </strong>Nasal cells of CF siblings from two families with discordant phenotype (n = 2 per family) were collected, and differentially expressed miRNAs were identified using miRNA arrays. Differentially expressed miRNAs and their target genes were determined using several bioinformatic databases and tools.</p><p><strong>Results: </strong>miR-449c-5p, miR-92b-3p, miR-34c-3p, miR-34c-5p, miR-6732-5p, and miR-4793-3p were differentially expressed in patients with severe disease compared to mild. <i>CXCL1</i>, <i>CXCL2</i>, <i>DUSP1</i>, <i>GCLC</i>, <i>ICAM1</i>, <i>KIT</i>, <i>PRKAA2</i>, and <i>PTGS2</i> genes were identified as the target genes of candidate miRNAs (miR-34c-3p, miR-92b-3p, miR-449c-5p, miR-4793-3p). miRNA-mRNA interaction network analysis was performed and strong interaction was shown between miR-449c-5p target genes (<i>CXCL1</i>, <i>CXCL2</i>, <i>PTGS2</i>, <i>ICAM1</i>). <i>CXCL1</i> expression decreased 5.28-fold in patients with severe disease compared to those with mild (p = 0.01).</p><p><strong>Conclusion: </strong>Our results highlight the importance of miR-449c-5p interaction with <i>CXCL1</i> and other target genes related to inflammation. Further studies should focus on the functional analysis of miR-449c-5p.</p>\",\"PeriodicalId\":23361,\"journal\":{\"name\":\"Turkish Journal of Medical Sciences\",\"volume\":\"55 4\",\"pages\":\"1014-1023\"},\"PeriodicalIF\":1.0000,\"publicationDate\":\"2025-04-28\",\"publicationTypes\":\"Journal Article\",\"fieldsOfStudy\":null,\"isOpenAccess\":false,\"openAccessPdf\":\"https://www.ncbi.nlm.nih.gov/pmc/articles/PMC12419052/pdf/\",\"citationCount\":\"0\",\"resultStr\":null,\"platform\":\"Semanticscholar\",\"paperid\":null,\"PeriodicalName\":\"Turkish Journal of Medical Sciences\",\"FirstCategoryId\":\"3\",\"ListUrlMain\":\"https://doi.org/10.55730/1300-0144.6054\",\"RegionNum\":4,\"RegionCategory\":\"医学\",\"ArticlePicture\":[],\"TitleCN\":null,\"AbstractTextCN\":null,\"PMCID\":null,\"EPubDate\":\"2025/1/1 0:00:00\",\"PubModel\":\"eCollection\",\"JCR\":\"Q2\",\"JCRName\":\"MEDICINE, GENERAL & INTERNAL\",\"Score\":null,\"Total\":0}","platform":"Semanticscholar","paperid":null,"PeriodicalName":"Turkish Journal of Medical Sciences","FirstCategoryId":"3","ListUrlMain":"https://doi.org/10.55730/1300-0144.6054","RegionNum":4,"RegionCategory":"医学","ArticlePicture":[],"TitleCN":null,"AbstractTextCN":null,"PMCID":null,"EPubDate":"2025/1/1 0:00:00","PubModel":"eCollection","JCR":"Q2","JCRName":"MEDICINE, GENERAL & INTERNAL","Score":null,"Total":0}
引用次数: 0

摘要

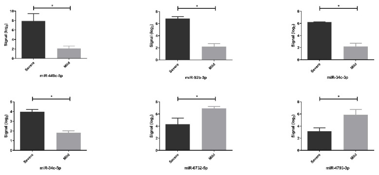
背景/目的:囊性纤维化(CF)是由囊性纤维化跨膜传导调节因子(CFTR)基因突变引起的常染色体隐性遗传病。CF的特点是呼吸道感染、胰腺功能不全、胎粪肠梗阻、肠梗阻和男性不育。由于疾病严重程度的异质性,很难建立基因型与表型的相关性。即使具有相同CFTR突变的患者也可能具有不同的临床严重程度。近年来,研究探索了microRNA (miRNA)表达在呼吸系统疾病调控中的作用。然而,迄今为止还没有对具有相同CFTR突变的兄弟姐妹的mirna进行研究。材料和方法:收集来自表型不一致的两个家族(每个家族n = 2)的CF兄弟姐妹的鼻细胞,使用miRNA阵列鉴定差异表达的miRNA。差异表达的mirna及其靶基因是通过几个生物信息学数据库和工具确定的。结果:miR-449c-5p、miR-92b-3p、miR-34c-3p、miR-34c-5p、miR-6732-5p和miR-4793-3p在重症患者中与轻度患者存在差异表达。CXCL1、CXCL2、DUSP1、GCLC、ICAM1、KIT、PRKAA2和PTGS2基因被确定为候选miRNAs (miR-34c-3p、miR-92b-3p、miR-449c-5p、miR-4793-3p)的靶基因。进行miRNA-mRNA互作网络分析,发现miR-449c-5p靶基因(CXCL1、CXCL2、PTGS2、ICAM1)之间存在强互作。与轻度患者相比,重度患者CXCL1表达降低5.28倍(p = 0.01)。结论:我们的研究结果强调了miR-449c-5p与CXCL1和其他炎症相关靶基因相互作用的重要性。进一步的研究应侧重于miR-449c-5p的功能分析。
本文章由计算机程序翻译,如有差异,请以英文原文为准。

miRNA-target gene network analysis in siblings with cystic fibrosis and phenotypic variability.

miRNA-target gene network analysis in siblings with cystic fibrosis and phenotypic variability.

miRNA-target gene network analysis in siblings with cystic fibrosis and phenotypic variability.

miRNA-target gene network analysis in siblings with cystic fibrosis and phenotypic variability.

Background/aim: Cystic fibrosis (CF) is an autosomal recessive disease caused by mutations in the cystic fibrosis transmembrane conductance regulator (CFTR) gene. CF is characterized by respiratory tract infections, pancreatic insufficiency, meconium ileus, intestinal obstruction, and male infertility. A genotype to phenotype correlation is difficult to establish because of the heterogeneity of disease severity. Even patients with the same CFTR mutation can have varying clinical severities. In recent years, studies have explored the role of microRNA (miRNA) expression in the regulation of respiratory diseases. However, no research has been conducted to date on miRNAs in siblings with the same CFTR mutation.

Materials and methods: Nasal cells of CF siblings from two families with discordant phenotype (n = 2 per family) were collected, and differentially expressed miRNAs were identified using miRNA arrays. Differentially expressed miRNAs and their target genes were determined using several bioinformatic databases and tools.

Results: miR-449c-5p, miR-92b-3p, miR-34c-3p, miR-34c-5p, miR-6732-5p, and miR-4793-3p were differentially expressed in patients with severe disease compared to mild. CXCL1, CXCL2, DUSP1, GCLC, ICAM1, KIT, PRKAA2, and PTGS2 genes were identified as the target genes of candidate miRNAs (miR-34c-3p, miR-92b-3p, miR-449c-5p, miR-4793-3p). miRNA-mRNA interaction network analysis was performed and strong interaction was shown between miR-449c-5p target genes (CXCL1, CXCL2, PTGS2, ICAM1). CXCL1 expression decreased 5.28-fold in patients with severe disease compared to those with mild (p = 0.01).

Conclusion: Our results highlight the importance of miR-449c-5p interaction with CXCL1 and other target genes related to inflammation. Further studies should focus on the functional analysis of miR-449c-5p.

求助全文
通过发布文献求助,成功后即可免费获取论文全文。 去求助
来源期刊
Turkish Journal of Medical Sciences
Turkish Journal of Medical Sciences 医学-医学:内科
CiteScore
4.60
自引率
4.30%
发文量
143
审稿时长
3-8 weeks
期刊介绍: Turkish Journal of Medical sciences is a peer-reviewed comprehensive resource that provides critical up-to-date information on the broad spectrum of general medical sciences. The Journal intended to publish original medical scientific papers regarding the priority based on the prominence, significance, and timeliness of the findings. However since the audience of the Journal is not limited to any subspeciality in a wide variety of medical disciplines, the papers focusing on the technical  details of a given medical  subspeciality may not be evaluated for publication.
×
引用
GB/T 7714-2015
复制
MLA
复制
APA
复制
导出至
BibTeX EndNote RefMan NoteFirst NoteExpress
×
提示
您的信息不完整,为了账户安全,请先补充。
现在去补充
×
提示
您因"违规操作"
具体请查看互助需知
我知道了
×
提示
确定
请完成安全验证×
copy
已复制链接
快去分享给好友吧!
我知道了
右上角分享
点击右上角分享
0
联系我们:info@booksci.cn Book学术提供免费学术资源搜索服务,方便国内外学者检索中英文文献。致力于提供最便捷和优质的服务体验。 Copyright © 2023 布克学术 All rights reserved.
京ICP备2023020795号-1
ghs 京公网安备 11010802042870号
Book学术文献互助
Book学术文献互助群
群 号:604180095
Book学术官方微信