基于离散小波变换的模式视网膜电图黄斑锥体活动的多维量化。

IF 2.6 3区 医学 Q2 OPHTHALMOLOGY
Yousif J Shwetar, Melissa A Haendel
{"title":"基于离散小波变换的模式视网膜电图黄斑锥体活动的多维量化。","authors":"Yousif J Shwetar, Melissa A Haendel","doi":"10.1167/tvst.14.9.17","DOIUrl":null,"url":null,"abstract":"<p><strong>Purpose: </strong>To evaluate discrete wavelet transform (DWT) features as quantitative biomarkers of macular cone function from pattern electroretinography (PERG) in macular-predominant inherited retinal diseases (mpIRDs).</p><p><strong>Methods: </strong>In total, 486 PERG recordings from 123 participants were obtained from the PERG-Institute of Applied Ophthalmobiology open-access data set and analyzed. Twenty mother wavelets were screened with an energy-to-entropy ratio criterion; six (haar, sym2, sym4, db4, coif1, fk4) were retained for feature generation. After feature cleaning and correlation pruning, a final set of 141 features was obtained and averaged per participant to avoid visit bias. Group separation was assessed with nonparametric statistics. Inverse-DWT signal reconstruction was performed with the sym2 wavelet to algorithmically determine time-frequency indices needed to preserve N35, P50, and N95 peaks. The smallest set of indices that achieved this was retained.</p><p><strong>Results: </strong>Sym2-D6-2 (38-75 ms, 13-27 Hz) emerged as the top discriminative feature (res = 0.644, common-language effect size = 0.875) and correlated strongly with the clinical macular cone marker |P50-N35| (rcorr = 0.95) across 67 normal participants (262 recordings). Compared with |P50-N35|, the same index showed tighter, nonoverlapping group distributions, a higher diagnostic area under the curve (0.875 vs. 0.835), and a larger effect size (res = 0.644 vs. 0.576).</p><p><strong>Conclusions: </strong>DWT-derived time-frequency features, particularly sym2-D6-2, provide robust, multidimensional biomarkers of macular cone function. These quantitative endpoints hold promise for monitoring disease progression and evaluating therapeutics in mpIRDs.</p><p><strong>Translational relevance: </strong>Sym2-D6-2 provides an objective metric of macular cone function that could serve as a quantitative endpoint in mpIRD trials.</p>","PeriodicalId":23322,"journal":{"name":"Translational Vision Science & Technology","volume":"14 9","pages":"17"},"PeriodicalIF":2.6000,"publicationDate":"2025-09-02","publicationTypes":"Journal Article","fieldsOfStudy":null,"isOpenAccess":false,"openAccessPdf":"https://www.ncbi.nlm.nih.gov/pmc/articles/PMC12439505/pdf/","citationCount":"0","resultStr":"{\"title\":\"Multidimensional Quantification of Macular Cone Activity in Pattern Electroretinography Using Discrete Wavelet Transform.\",\"authors\":\"Yousif J Shwetar, Melissa A Haendel\",\"doi\":\"10.1167/tvst.14.9.17\",\"DOIUrl\":null,\"url\":null,\"abstract\":\"<p><strong>Purpose: </strong>To evaluate discrete wavelet transform (DWT) features as quantitative biomarkers of macular cone function from pattern electroretinography (PERG) in macular-predominant inherited retinal diseases (mpIRDs).</p><p><strong>Methods: </strong>In total, 486 PERG recordings from 123 participants were obtained from the PERG-Institute of Applied Ophthalmobiology open-access data set and analyzed. Twenty mother wavelets were screened with an energy-to-entropy ratio criterion; six (haar, sym2, sym4, db4, coif1, fk4) were retained for feature generation. After feature cleaning and correlation pruning, a final set of 141 features was obtained and averaged per participant to avoid visit bias. Group separation was assessed with nonparametric statistics. Inverse-DWT signal reconstruction was performed with the sym2 wavelet to algorithmically determine time-frequency indices needed to preserve N35, P50, and N95 peaks. The smallest set of indices that achieved this was retained.</p><p><strong>Results: </strong>Sym2-D6-2 (38-75 ms, 13-27 Hz) emerged as the top discriminative feature (res = 0.644, common-language effect size = 0.875) and correlated strongly with the clinical macular cone marker |P50-N35| (rcorr = 0.95) across 67 normal participants (262 recordings). Compared with |P50-N35|, the same index showed tighter, nonoverlapping group distributions, a higher diagnostic area under the curve (0.875 vs. 0.835), and a larger effect size (res = 0.644 vs. 0.576).</p><p><strong>Conclusions: </strong>DWT-derived time-frequency features, particularly sym2-D6-2, provide robust, multidimensional biomarkers of macular cone function. These quantitative endpoints hold promise for monitoring disease progression and evaluating therapeutics in mpIRDs.</p><p><strong>Translational relevance: </strong>Sym2-D6-2 provides an objective metric of macular cone function that could serve as a quantitative endpoint in mpIRD trials.</p>\",\"PeriodicalId\":23322,\"journal\":{\"name\":\"Translational Vision Science & Technology\",\"volume\":\"14 9\",\"pages\":\"17\"},\"PeriodicalIF\":2.6000,\"publicationDate\":\"2025-09-02\",\"publicationTypes\":\"Journal Article\",\"fieldsOfStudy\":null,\"isOpenAccess\":false,\"openAccessPdf\":\"https://www.ncbi.nlm.nih.gov/pmc/articles/PMC12439505/pdf/\",\"citationCount\":\"0\",\"resultStr\":null,\"platform\":\"Semanticscholar\",\"paperid\":null,\"PeriodicalName\":\"Translational Vision Science & Technology\",\"FirstCategoryId\":\"3\",\"ListUrlMain\":\"https://doi.org/10.1167/tvst.14.9.17\",\"RegionNum\":3,\"RegionCategory\":\"医学\",\"ArticlePicture\":[],\"TitleCN\":null,\"AbstractTextCN\":null,\"PMCID\":null,\"EPubDate\":\"\",\"PubModel\":\"\",\"JCR\":\"Q2\",\"JCRName\":\"OPHTHALMOLOGY\",\"Score\":null,\"Total\":0}","platform":"Semanticscholar","paperid":null,"PeriodicalName":"Translational Vision Science & Technology","FirstCategoryId":"3","ListUrlMain":"https://doi.org/10.1167/tvst.14.9.17","RegionNum":3,"RegionCategory":"医学","ArticlePicture":[],"TitleCN":null,"AbstractTextCN":null,"PMCID":null,"EPubDate":"","PubModel":"","JCR":"Q2","JCRName":"OPHTHALMOLOGY","Score":null,"Total":0}
引用次数: 0

摘要

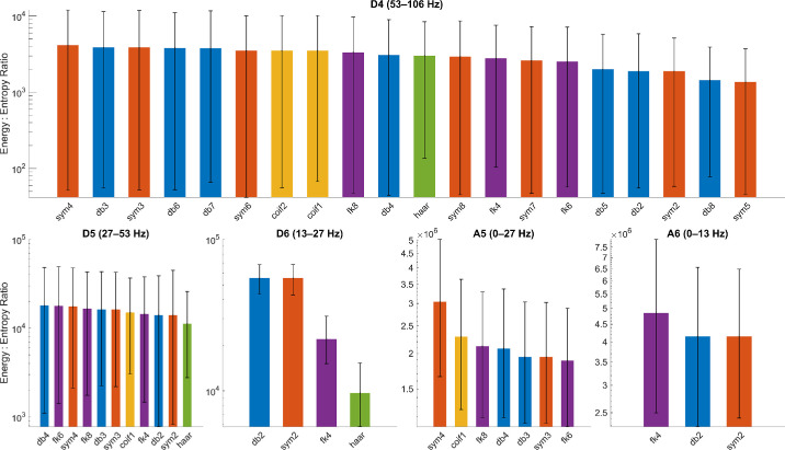
目的:评价离散小波变换(DWT)特征作为黄斑显性遗传性视网膜疾病(mpIRDs)视网膜电图(PERG)黄斑锥体功能的定量生物标志物。方法:从PERG- institute of Applied Ophthalmobiology开放获取数据集中获取123名参与者的486份PERG记录并进行分析。用能量熵比准则筛选了20个母小波;保留6个(haar, sym2, sym4, db4, coif1, fk4)用于特征生成。在特征清理和相关修剪后,最终得到141个特征集,并对每个参与者进行平均,以避免访问偏差。采用非参数统计评估组间分离。使用sym2小波进行逆dwt信号重建,以算法确定保留N35、P50和N95峰值所需的时频指数。实现这一目标的最小指数集被保留了下来。结果:Sym2-D6-2 (38-75 ms, 13-27 Hz)是67名正常受试者(262条记录)的最大判别特征(res = 0.644,共语效应大小= 0.875),并与临床黄斑锥标记物|P50-N35|密切相关(rcorr = 0.95)。与|P50-N35|相比,同一指标组分布更紧密、不重叠,曲线下诊断面积更大(0.875 vs. 0.835),效应量更大(res = 0.644 vs. 0.576)。结论:dwt衍生的时频特征,特别是sym2-D6-2,为黄斑锥功能提供了可靠的、多维的生物标志物。这些定量终点有望监测mpird的疾病进展和评估治疗方法。翻译相关性:Sym2-D6-2提供了黄斑锥体功能的客观指标,可以作为mpIRD试验的定量终点。
本文章由计算机程序翻译,如有差异,请以英文原文为准。

Multidimensional Quantification of Macular Cone Activity in Pattern Electroretinography Using Discrete Wavelet Transform.

Multidimensional Quantification of Macular Cone Activity in Pattern Electroretinography Using Discrete Wavelet Transform.

Multidimensional Quantification of Macular Cone Activity in Pattern Electroretinography Using Discrete Wavelet Transform.

Multidimensional Quantification of Macular Cone Activity in Pattern Electroretinography Using Discrete Wavelet Transform.

Purpose: To evaluate discrete wavelet transform (DWT) features as quantitative biomarkers of macular cone function from pattern electroretinography (PERG) in macular-predominant inherited retinal diseases (mpIRDs).

Methods: In total, 486 PERG recordings from 123 participants were obtained from the PERG-Institute of Applied Ophthalmobiology open-access data set and analyzed. Twenty mother wavelets were screened with an energy-to-entropy ratio criterion; six (haar, sym2, sym4, db4, coif1, fk4) were retained for feature generation. After feature cleaning and correlation pruning, a final set of 141 features was obtained and averaged per participant to avoid visit bias. Group separation was assessed with nonparametric statistics. Inverse-DWT signal reconstruction was performed with the sym2 wavelet to algorithmically determine time-frequency indices needed to preserve N35, P50, and N95 peaks. The smallest set of indices that achieved this was retained.

Results: Sym2-D6-2 (38-75 ms, 13-27 Hz) emerged as the top discriminative feature (res = 0.644, common-language effect size = 0.875) and correlated strongly with the clinical macular cone marker |P50-N35| (rcorr = 0.95) across 67 normal participants (262 recordings). Compared with |P50-N35|, the same index showed tighter, nonoverlapping group distributions, a higher diagnostic area under the curve (0.875 vs. 0.835), and a larger effect size (res = 0.644 vs. 0.576).

Conclusions: DWT-derived time-frequency features, particularly sym2-D6-2, provide robust, multidimensional biomarkers of macular cone function. These quantitative endpoints hold promise for monitoring disease progression and evaluating therapeutics in mpIRDs.

Translational relevance: Sym2-D6-2 provides an objective metric of macular cone function that could serve as a quantitative endpoint in mpIRD trials.

求助全文
通过发布文献求助,成功后即可免费获取论文全文。 去求助
来源期刊
Translational Vision Science & Technology
Translational Vision Science & Technology Engineering-Biomedical Engineering
CiteScore
5.70
自引率
3.30%
发文量
346
审稿时长
25 weeks
期刊介绍: Translational Vision Science & Technology (TVST), an official journal of the Association for Research in Vision and Ophthalmology (ARVO), an international organization whose purpose is to advance research worldwide into understanding the visual system and preventing, treating and curing its disorders, is an online, open access, peer-reviewed journal emphasizing multidisciplinary research that bridges the gap between basic research and clinical care. A highly qualified and diverse group of Associate Editors and Editorial Board Members is led by Editor-in-Chief Marco Zarbin, MD, PhD, FARVO. The journal covers a broad spectrum of work, including but not limited to: Applications of stem cell technology for regenerative medicine, Development of new animal models of human diseases, Tissue bioengineering, Chemical engineering to improve virus-based gene delivery, Nanotechnology for drug delivery, Design and synthesis of artificial extracellular matrices, Development of a true microsurgical operating environment, Refining data analysis algorithms to improve in vivo imaging technology, Results of Phase 1 clinical trials, Reverse translational ("bedside to bench") research. TVST seeks manuscripts from scientists and clinicians with diverse backgrounds ranging from basic chemistry to ophthalmic surgery that will advance or change the way we understand and/or treat vision-threatening diseases. TVST encourages the use of color, multimedia, hyperlinks, program code and other digital enhancements.
×
引用
GB/T 7714-2015
复制
MLA
复制
APA
复制
导出至
BibTeX EndNote RefMan NoteFirst NoteExpress
×
提示
您的信息不完整,为了账户安全,请先补充。
现在去补充
×
提示
您因"违规操作"
具体请查看互助需知
我知道了
×
提示
确定
请完成安全验证×
copy
已复制链接
快去分享给好友吧!
我知道了
右上角分享
点击右上角分享
0
联系我们:info@booksci.cn Book学术提供免费学术资源搜索服务,方便国内外学者检索中英文文献。致力于提供最便捷和优质的服务体验。 Copyright © 2023 布克学术 All rights reserved.
京ICP备2023020795号-1
ghs 京公网安备 11010802042870号
Book学术文献互助
Book学术文献互助群
群 号:604180095
Book学术官方微信