幼年牛虻苗区的海景生态。

IF 2.9 3区 综合性期刊 Q1 MULTIDISCIPLINARY SCIENCES
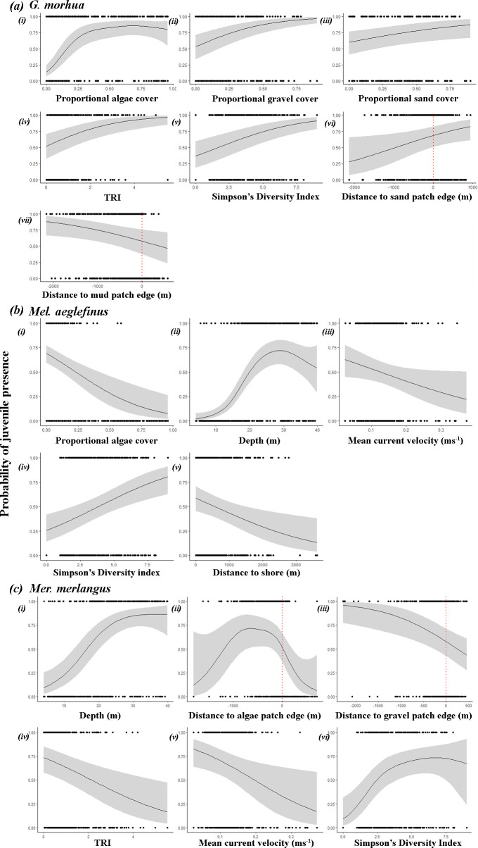
Royal Society Open Science Pub Date : 2025-09-10 eCollection Date: 2025-09-01 DOI:10.1098/rsos.250705
Natasha Walker-Milne, Sophie Anne Marie Elliott, Peter J Wright, David Mark Bailey
{"title":"幼年牛虻苗区的海景生态。","authors":"Natasha Walker-Milne, Sophie Anne Marie Elliott, Peter J Wright, David Mark Bailey","doi":"10.1098/rsos.250705","DOIUrl":null,"url":null,"abstract":"<p><p>Availability of juvenile fish habitat provision can impact recruitment. This study focused on identifying which environmental variables characterize the juvenile habitats of three commercially important gadoid species: Atlantic cod (<i>Gadus morhua</i>), haddock (<i>Melanogrammus aeglefinus</i>) and whiting (<i>Merlangius merlangus</i>). Stereo baited remote underwater video surveys were conducted in the South Arran Marine Protected Area between 2013 and 2019 to collect presence/absence data on juvenile gadoids (>20 mm <120 mm) and demersal and epibenthic communities. Data were analysed using binomial generalized additive mixed models. The results revealed spatial segregation among species, each favouring distinct habitats. Predictive modelling suggests a substantial increase in presence probability from 0.25 to 0.75 as the inverse Simpson's diversity index increases, suggesting that biodiversity appears to be associated with species distribution. Boundary regions between seabed types were associated with variation in species distribution, underlining the importance of seascape heterogeneity. This study underscores the importance of conserving and restoring benthic and epibenthic biodiversity across spatially heterogeneous landscapes. Consequently, reducing benthic pressures could promote early survival for these species, thereby supporting broader ecosystem health and fisheries management goals.</p>","PeriodicalId":21525,"journal":{"name":"Royal Society Open Science","volume":"12 9","pages":"250705"},"PeriodicalIF":2.9000,"publicationDate":"2025-09-10","publicationTypes":"Journal Article","fieldsOfStudy":null,"isOpenAccess":false,"openAccessPdf":"https://www.ncbi.nlm.nih.gov/pmc/articles/PMC12419902/pdf/","citationCount":"0","resultStr":"{\"title\":\"Seascape ecology of juvenile gadoid nursery areas.\",\"authors\":\"Natasha Walker-Milne, Sophie Anne Marie Elliott, Peter J Wright, David Mark Bailey\",\"doi\":\"10.1098/rsos.250705\",\"DOIUrl\":null,\"url\":null,\"abstract\":\"<p><p>Availability of juvenile fish habitat provision can impact recruitment. This study focused on identifying which environmental variables characterize the juvenile habitats of three commercially important gadoid species: Atlantic cod (<i>Gadus morhua</i>), haddock (<i>Melanogrammus aeglefinus</i>) and whiting (<i>Merlangius merlangus</i>). Stereo baited remote underwater video surveys were conducted in the South Arran Marine Protected Area between 2013 and 2019 to collect presence/absence data on juvenile gadoids (>20 mm <120 mm) and demersal and epibenthic communities. Data were analysed using binomial generalized additive mixed models. The results revealed spatial segregation among species, each favouring distinct habitats. Predictive modelling suggests a substantial increase in presence probability from 0.25 to 0.75 as the inverse Simpson's diversity index increases, suggesting that biodiversity appears to be associated with species distribution. Boundary regions between seabed types were associated with variation in species distribution, underlining the importance of seascape heterogeneity. This study underscores the importance of conserving and restoring benthic and epibenthic biodiversity across spatially heterogeneous landscapes. Consequently, reducing benthic pressures could promote early survival for these species, thereby supporting broader ecosystem health and fisheries management goals.</p>\",\"PeriodicalId\":21525,\"journal\":{\"name\":\"Royal Society Open Science\",\"volume\":\"12 9\",\"pages\":\"250705\"},\"PeriodicalIF\":2.9000,\"publicationDate\":\"2025-09-10\",\"publicationTypes\":\"Journal Article\",\"fieldsOfStudy\":null,\"isOpenAccess\":false,\"openAccessPdf\":\"https://www.ncbi.nlm.nih.gov/pmc/articles/PMC12419902/pdf/\",\"citationCount\":\"0\",\"resultStr\":null,\"platform\":\"Semanticscholar\",\"paperid\":null,\"PeriodicalName\":\"Royal Society Open Science\",\"FirstCategoryId\":\"103\",\"ListUrlMain\":\"https://doi.org/10.1098/rsos.250705\",\"RegionNum\":3,\"RegionCategory\":\"综合性期刊\",\"ArticlePicture\":[],\"TitleCN\":null,\"AbstractTextCN\":null,\"PMCID\":null,\"EPubDate\":\"2025/9/1 0:00:00\",\"PubModel\":\"eCollection\",\"JCR\":\"Q1\",\"JCRName\":\"MULTIDISCIPLINARY SCIENCES\",\"Score\":null,\"Total\":0}","platform":"Semanticscholar","paperid":null,"PeriodicalName":"Royal Society Open Science","FirstCategoryId":"103","ListUrlMain":"https://doi.org/10.1098/rsos.250705","RegionNum":3,"RegionCategory":"综合性期刊","ArticlePicture":[],"TitleCN":null,"AbstractTextCN":null,"PMCID":null,"EPubDate":"2025/9/1 0:00:00","PubModel":"eCollection","JCR":"Q1","JCRName":"MULTIDISCIPLINARY SCIENCES","Score":null,"Total":0}
引用次数: 0

摘要

幼鱼栖息地供应的可得性会影响鱼类的招募。本研究主要研究了大西洋鳕鱼(Gadus morhua)、黑线鳕(Melanogrammus aeglefinus)和白鲑(Merlangius merlangus)这三种商业上重要的gadoid物种幼鱼栖息地的环境变量特征。2013年至2019年期间,在南阿兰海洋保护区进行了立体诱饵远程水下视频调查,以收集幼鱼(bbb20毫米)的存在/缺失数据
本文章由计算机程序翻译,如有差异,请以英文原文为准。

Seascape ecology of juvenile gadoid nursery areas.

Seascape ecology of juvenile gadoid nursery areas.

Seascape ecology of juvenile gadoid nursery areas.

Seascape ecology of juvenile gadoid nursery areas.

Availability of juvenile fish habitat provision can impact recruitment. This study focused on identifying which environmental variables characterize the juvenile habitats of three commercially important gadoid species: Atlantic cod (Gadus morhua), haddock (Melanogrammus aeglefinus) and whiting (Merlangius merlangus). Stereo baited remote underwater video surveys were conducted in the South Arran Marine Protected Area between 2013 and 2019 to collect presence/absence data on juvenile gadoids (>20 mm <120 mm) and demersal and epibenthic communities. Data were analysed using binomial generalized additive mixed models. The results revealed spatial segregation among species, each favouring distinct habitats. Predictive modelling suggests a substantial increase in presence probability from 0.25 to 0.75 as the inverse Simpson's diversity index increases, suggesting that biodiversity appears to be associated with species distribution. Boundary regions between seabed types were associated with variation in species distribution, underlining the importance of seascape heterogeneity. This study underscores the importance of conserving and restoring benthic and epibenthic biodiversity across spatially heterogeneous landscapes. Consequently, reducing benthic pressures could promote early survival for these species, thereby supporting broader ecosystem health and fisheries management goals.

求助全文
通过发布文献求助,成功后即可免费获取论文全文。 去求助
来源期刊
Royal Society Open Science
Royal Society Open Science Multidisciplinary-Multidisciplinary
CiteScore
6.00
自引率
0.00%
发文量
508
审稿时长
14 weeks
期刊介绍: Royal Society Open Science is a new open journal publishing high-quality original research across the entire range of science on the basis of objective peer-review. The journal covers the entire range of science and mathematics and will allow the Society to publish all the high-quality work it receives without the usual restrictions on scope, length or impact.
×
引用
GB/T 7714-2015
复制
MLA
复制
APA
复制
导出至
BibTeX EndNote RefMan NoteFirst NoteExpress
×
提示
您的信息不完整,为了账户安全,请先补充。
现在去补充
×
提示
您因"违规操作"
具体请查看互助需知
我知道了
×
提示
确定
请完成安全验证×
copy
已复制链接
快去分享给好友吧!
我知道了
右上角分享
点击右上角分享
0
联系我们:info@booksci.cn Book学术提供免费学术资源搜索服务,方便国内外学者检索中英文文献。致力于提供最便捷和优质的服务体验。 Copyright © 2023 布克学术 All rights reserved.
京ICP备2023020795号-1
ghs 京公网安备 11010802042870号
Book学术文献互助
Book学术文献互助群
群 号:604180095
Book学术官方微信