帕金森病的非典型精神病:24小时连续皮下输注Foslevodopa/Foscarbidopa的回顾性研究。

IF 3.2 Q3 CLINICAL NEUROLOGY
Neurology. Clinical practice Pub Date : 2025-10-01 Epub Date: 2025-09-08 DOI:10.1212/CPJ.0000000000200534
Lindun Ge, Yasuyoshi Kimura, Keita Kakuda, Kotaro Ogawa, Yuta Kajiyama, Kanako Asai, Seira Taniguchi, Goichi Beck, Yoshiyuki Nishio, Jee Hyun Kim, Kensuke Ikenaka, Hideki Mochizuki
{"title":"帕金森病的非典型精神病:24小时连续皮下输注Foslevodopa/Foscarbidopa的回顾性研究。","authors":"Lindun Ge, Yasuyoshi Kimura, Keita Kakuda, Kotaro Ogawa, Yuta Kajiyama, Kanako Asai, Seira Taniguchi, Goichi Beck, Yoshiyuki Nishio, Jee Hyun Kim, Kensuke Ikenaka, Hideki Mochizuki","doi":"10.1212/CPJ.0000000000200534","DOIUrl":null,"url":null,"abstract":"<p><strong>Background and objectives: </strong>Atypical psychosis, characterized by severe delusions, paranoia, and auditory or somatic hallucinations, is a notable complication of continuous subcutaneous infusion (CSCI) of foslevodopa/foscarbidopa therapy in Parkinson disease (PD). The aim of this study was to identify clinical predictors of CSCI-induced psychosis to understand its potential mechanisms and evaluate predictive measures for early detection and management.</p><p><strong>Methods: </strong>This retrospective cohort study included patients with PD treated with CSCI (n = 23) and an independent PD database cohort (n = 94) from Osaka University Hospital. In the CSCI cohort, clinical data such as psychosis information and answers from Parkinson's Disease Questionnaire (PDQ39) and the Questionnaire for Impulsive-Compulsive Disorders in Parkinson's Disease-Current Symptoms (QUIP-CS) were collected. Statistical analyses included independent <i>t</i> tests and linear regression to identify predictors of atypical psychosis within a year of CSCI initiation. In the PD database cohort, potential relationships between QUIP-CS scores and other clinical parameters were explored using correlational analyses.</p><p><strong>Results: </strong>Among the 23 patients, 6 developed atypical psychosis, all occurring within 6 months, with 4 of them discontinuing CSCI. Patients who developed atypical psychosis had significantly higher QUIP-CS scores before CSCI (adjusted <i>p</i> = 0.0032). Linear regression identified QUIP-CS as the sole predictor of atypical psychosis onset (coefficient = 0.199, <i>p</i> < 0.001). Among the PDQ39 subitems, item 27 showed a significant correlation with QUIP-CS scores (<i>r</i> = 0.722, adjusted <i>p</i> = 0.0128). Furthermore, a composite score comprising PDQ39 items 20, 27, 29, 31, and 36 (PDQ39_sub5) showed an even stronger correlation with QUIP-CS scores (<i>r</i> = 0.770, <i>p</i> = 0.0000704). This association was independently confirmed in the PD database cohort (<i>r</i> = 0.415, <i>p</i> = 0.00003). Finally, PDQ39_sub5 effectively stratified survival curves for psychosis onset in the CSCI cohort (<i>p</i> = 0.008).</p><p><strong>Discussion: </strong>CSCI-induced psychosis is distinct from visual hallucinations observed in typical PD psychosis and likely involves mechanisms in mesolimbic circuits and impulsive-compulsive behaviors associated with dopamine dysregulation. While QUIP-CS is rarely used in clinical practice, widely used PDQ39_sub5 offers a practical way to identify individual psychosis risk. These findings potentially offer tailored strategies to predict and manage atypical psychosis in patients with PD receiving advanced dopaminergic therapies.</p>","PeriodicalId":19136,"journal":{"name":"Neurology. Clinical practice","volume":"15 5","pages":"e200534"},"PeriodicalIF":3.2000,"publicationDate":"2025-10-01","publicationTypes":"Journal Article","fieldsOfStudy":null,"isOpenAccess":false,"openAccessPdf":"https://www.ncbi.nlm.nih.gov/pmc/articles/PMC12421908/pdf/","citationCount":"0","resultStr":"{\"title\":\"Atypical Psychosis in Parkinson Disease: A Retrospective Study on 24-Hour Continuous Subcutaneous Infusion of Foslevodopa/Foscarbidopa.\",\"authors\":\"Lindun Ge, Yasuyoshi Kimura, Keita Kakuda, Kotaro Ogawa, Yuta Kajiyama, Kanako Asai, Seira Taniguchi, Goichi Beck, Yoshiyuki Nishio, Jee Hyun Kim, Kensuke Ikenaka, Hideki Mochizuki\",\"doi\":\"10.1212/CPJ.0000000000200534\",\"DOIUrl\":null,\"url\":null,\"abstract\":\"<p><strong>Background and objectives: </strong>Atypical psychosis, characterized by severe delusions, paranoia, and auditory or somatic hallucinations, is a notable complication of continuous subcutaneous infusion (CSCI) of foslevodopa/foscarbidopa therapy in Parkinson disease (PD). The aim of this study was to identify clinical predictors of CSCI-induced psychosis to understand its potential mechanisms and evaluate predictive measures for early detection and management.</p><p><strong>Methods: </strong>This retrospective cohort study included patients with PD treated with CSCI (n = 23) and an independent PD database cohort (n = 94) from Osaka University Hospital. In the CSCI cohort, clinical data such as psychosis information and answers from Parkinson's Disease Questionnaire (PDQ39) and the Questionnaire for Impulsive-Compulsive Disorders in Parkinson's Disease-Current Symptoms (QUIP-CS) were collected. Statistical analyses included independent <i>t</i> tests and linear regression to identify predictors of atypical psychosis within a year of CSCI initiation. In the PD database cohort, potential relationships between QUIP-CS scores and other clinical parameters were explored using correlational analyses.</p><p><strong>Results: </strong>Among the 23 patients, 6 developed atypical psychosis, all occurring within 6 months, with 4 of them discontinuing CSCI. Patients who developed atypical psychosis had significantly higher QUIP-CS scores before CSCI (adjusted <i>p</i> = 0.0032). Linear regression identified QUIP-CS as the sole predictor of atypical psychosis onset (coefficient = 0.199, <i>p</i> < 0.001). Among the PDQ39 subitems, item 27 showed a significant correlation with QUIP-CS scores (<i>r</i> = 0.722, adjusted <i>p</i> = 0.0128). Furthermore, a composite score comprising PDQ39 items 20, 27, 29, 31, and 36 (PDQ39_sub5) showed an even stronger correlation with QUIP-CS scores (<i>r</i> = 0.770, <i>p</i> = 0.0000704). This association was independently confirmed in the PD database cohort (<i>r</i> = 0.415, <i>p</i> = 0.00003). Finally, PDQ39_sub5 effectively stratified survival curves for psychosis onset in the CSCI cohort (<i>p</i> = 0.008).</p><p><strong>Discussion: </strong>CSCI-induced psychosis is distinct from visual hallucinations observed in typical PD psychosis and likely involves mechanisms in mesolimbic circuits and impulsive-compulsive behaviors associated with dopamine dysregulation. While QUIP-CS is rarely used in clinical practice, widely used PDQ39_sub5 offers a practical way to identify individual psychosis risk. These findings potentially offer tailored strategies to predict and manage atypical psychosis in patients with PD receiving advanced dopaminergic therapies.</p>\",\"PeriodicalId\":19136,\"journal\":{\"name\":\"Neurology. Clinical practice\",\"volume\":\"15 5\",\"pages\":\"e200534\"},\"PeriodicalIF\":3.2000,\"publicationDate\":\"2025-10-01\",\"publicationTypes\":\"Journal Article\",\"fieldsOfStudy\":null,\"isOpenAccess\":false,\"openAccessPdf\":\"https://www.ncbi.nlm.nih.gov/pmc/articles/PMC12421908/pdf/\",\"citationCount\":\"0\",\"resultStr\":null,\"platform\":\"Semanticscholar\",\"paperid\":null,\"PeriodicalName\":\"Neurology. Clinical practice\",\"FirstCategoryId\":\"1085\",\"ListUrlMain\":\"https://doi.org/10.1212/CPJ.0000000000200534\",\"RegionNum\":0,\"RegionCategory\":null,\"ArticlePicture\":[],\"TitleCN\":null,\"AbstractTextCN\":null,\"PMCID\":null,\"EPubDate\":\"2025/9/8 0:00:00\",\"PubModel\":\"Epub\",\"JCR\":\"Q3\",\"JCRName\":\"CLINICAL NEUROLOGY\",\"Score\":null,\"Total\":0}","platform":"Semanticscholar","paperid":null,"PeriodicalName":"Neurology. Clinical practice","FirstCategoryId":"1085","ListUrlMain":"https://doi.org/10.1212/CPJ.0000000000200534","RegionNum":0,"RegionCategory":null,"ArticlePicture":[],"TitleCN":null,"AbstractTextCN":null,"PMCID":null,"EPubDate":"2025/9/8 0:00:00","PubModel":"Epub","JCR":"Q3","JCRName":"CLINICAL NEUROLOGY","Score":null,"Total":0}
引用次数: 0

摘要

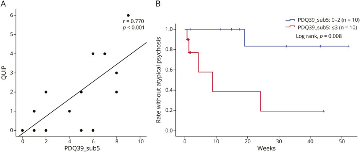
背景和目的:以严重妄想、偏执、听觉或躯体幻觉为特征的非典型精神病是持续皮下输注foslevodopa/foscarbidopa治疗帕金森病(PD)的显著并发症。本研究的目的是确定csci诱发精神病的临床预测因素,了解其潜在机制,并评估早期发现和治疗的预测措施。方法:本回顾性队列研究纳入了大阪大学医院接受CSCI治疗的PD患者(n = 23)和一个独立PD数据库队列(n = 94)。在CSCI队列中,收集帕金森病问卷(PDQ39)和帕金森病-当前症状冲动强迫症问卷(QUIP-CS)的精神病信息和答案等临床数据。统计分析包括独立t检验和线性回归,以确定CSCI发病一年内非典型精神病的预测因素。在PD数据库队列中,通过相关分析探讨QUIP-CS评分与其他临床参数之间的潜在关系。结果:23例患者中,6例出现非典型精神病,均发生在6个月内,其中4例停止CSCI治疗。发生非典型精神病的患者在CSCI前的QUIP-CS评分明显较高(校正p = 0.0032)。线性回归发现QUIP-CS是非典型精神病发病的唯一预测因子(系数= 0.199,p < 0.001)。PDQ39子项中,第27项与QUIP-CS得分呈显著相关(r = 0.722,调整后p = 0.0128)。此外,包含PDQ39项目20、27、29、31和36的综合评分(PDQ39_sub5)与QUIP-CS评分的相关性更强(r = 0.770, p = 0.0000704)。这种关联在PD数据库队列中得到独立证实(r = 0.415, p = 0.00003)。最后,PDQ39_sub5有效地分层了CSCI队列中精神病发病的生存曲线(p = 0.008)。讨论:csci诱导的精神病不同于典型PD精神病中观察到的视幻觉,可能涉及与多巴胺失调相关的中脑边缘回路和冲动强迫行为的机制。虽然QUIP-CS在临床实践中很少使用,但广泛使用的PDQ39_sub5为识别个体精神疾病风险提供了一种实用的方法。这些发现可能为预测和管理接受高级多巴胺能治疗的PD患者的非典型精神病提供量身定制的策略。
本文章由计算机程序翻译,如有差异,请以英文原文为准。

Atypical Psychosis in Parkinson Disease: A Retrospective Study on 24-Hour Continuous Subcutaneous Infusion of Foslevodopa/Foscarbidopa.

Atypical Psychosis in Parkinson Disease: A Retrospective Study on 24-Hour Continuous Subcutaneous Infusion of Foslevodopa/Foscarbidopa.

Atypical Psychosis in Parkinson Disease: A Retrospective Study on 24-Hour Continuous Subcutaneous Infusion of Foslevodopa/Foscarbidopa.

Background and objectives: Atypical psychosis, characterized by severe delusions, paranoia, and auditory or somatic hallucinations, is a notable complication of continuous subcutaneous infusion (CSCI) of foslevodopa/foscarbidopa therapy in Parkinson disease (PD). The aim of this study was to identify clinical predictors of CSCI-induced psychosis to understand its potential mechanisms and evaluate predictive measures for early detection and management.

Methods: This retrospective cohort study included patients with PD treated with CSCI (n = 23) and an independent PD database cohort (n = 94) from Osaka University Hospital. In the CSCI cohort, clinical data such as psychosis information and answers from Parkinson's Disease Questionnaire (PDQ39) and the Questionnaire for Impulsive-Compulsive Disorders in Parkinson's Disease-Current Symptoms (QUIP-CS) were collected. Statistical analyses included independent t tests and linear regression to identify predictors of atypical psychosis within a year of CSCI initiation. In the PD database cohort, potential relationships between QUIP-CS scores and other clinical parameters were explored using correlational analyses.

Results: Among the 23 patients, 6 developed atypical psychosis, all occurring within 6 months, with 4 of them discontinuing CSCI. Patients who developed atypical psychosis had significantly higher QUIP-CS scores before CSCI (adjusted p = 0.0032). Linear regression identified QUIP-CS as the sole predictor of atypical psychosis onset (coefficient = 0.199, p < 0.001). Among the PDQ39 subitems, item 27 showed a significant correlation with QUIP-CS scores (r = 0.722, adjusted p = 0.0128). Furthermore, a composite score comprising PDQ39 items 20, 27, 29, 31, and 36 (PDQ39_sub5) showed an even stronger correlation with QUIP-CS scores (r = 0.770, p = 0.0000704). This association was independently confirmed in the PD database cohort (r = 0.415, p = 0.00003). Finally, PDQ39_sub5 effectively stratified survival curves for psychosis onset in the CSCI cohort (p = 0.008).

Discussion: CSCI-induced psychosis is distinct from visual hallucinations observed in typical PD psychosis and likely involves mechanisms in mesolimbic circuits and impulsive-compulsive behaviors associated with dopamine dysregulation. While QUIP-CS is rarely used in clinical practice, widely used PDQ39_sub5 offers a practical way to identify individual psychosis risk. These findings potentially offer tailored strategies to predict and manage atypical psychosis in patients with PD receiving advanced dopaminergic therapies.

求助全文
通过发布文献求助,成功后即可免费获取论文全文。 去求助
来源期刊
Neurology. Clinical practice
Neurology. Clinical practice CLINICAL NEUROLOGY-
CiteScore
4.00
自引率
0.00%
发文量
77
期刊介绍: Neurology® Genetics is an online open access journal publishing peer-reviewed reports in the field of neurogenetics. The journal publishes original articles in all areas of neurogenetics including rare and common genetic variations, genotype-phenotype correlations, outlier phenotypes as a result of mutations in known disease genes, and genetic variations with a putative link to diseases. Articles include studies reporting on genetic disease risk, pharmacogenomics, and results of gene-based clinical trials (viral, ASO, etc.). Genetically engineered model systems are not a primary focus of Neurology® Genetics, but studies using model systems for treatment trials, including well-powered studies reporting negative results, are welcome.
×
引用
GB/T 7714-2015
复制
MLA
复制
APA
复制
导出至
BibTeX EndNote RefMan NoteFirst NoteExpress
×
提示
您的信息不完整,为了账户安全,请先补充。
现在去补充
×
提示
您因"违规操作"
具体请查看互助需知
我知道了
×
提示
确定
请完成安全验证×
copy
已复制链接
快去分享给好友吧!
我知道了
右上角分享
点击右上角分享
0
联系我们:info@booksci.cn Book学术提供免费学术资源搜索服务,方便国内外学者检索中英文文献。致力于提供最便捷和优质的服务体验。 Copyright © 2023 布克学术 All rights reserved.
京ICP备2023020795号-1
ghs 京公网安备 11010802042870号
Book学术文献互助
Book学术文献互助群
群 号:604180095
Book学术官方微信