慢性肾病猫健康相关生活质量评估

IF 2.1 2区 农林科学 Q2 VETERINARY SCIENCES
Journal of Feline Medicine and Surgery Pub Date : 2025-09-01 Epub Date: 2025-09-12 DOI:10.1177/1098612X251367535
Sarah K Lorbach, Jessica M Quimby, Eline Nijveldt, Rene E Paschall, E Marian Scott, Jacqueline Reid
{"title":"慢性肾病猫健康相关生活质量评估","authors":"Sarah K Lorbach, Jessica M Quimby, Eline Nijveldt, Rene E Paschall, E Marian Scott, Jacqueline Reid","doi":"10.1177/1098612X251367535","DOIUrl":null,"url":null,"abstract":"<p><p>ObjectivesThe aim of the present study was to evaluate health-related quality of life (HRQoL) in cats with chronic kidney disease (CKD) and integrate these results with clinical data to identify factors associated with decreased HRQoL.MethodsCaregivers completed a validated HRQoL tool (VetMetrica) and clinical data (history, laboratory work, physical examination findings, etc) were collected. Vitality, comfort and emotional wellbeing (EWB) scores were compared between groups using non-parametric analyses as appropriate.ResultsData from 24 healthy cats and 68 cats with CKD were collected. Cats with CKD had significantly lower median vitality, comfort and EWB scores (vitality: 41.7, range 4.3-64; comfort: 36.1, range 21.2-59.6; EWB: 44.6, range 1.6-58.8) than healthy cats (vitality: 56.5, range 40.7-64; comfort: 59.6, range 34.2-59.6; EWB: 58.7, range 45.1-58.8) (<i>P</i> <0.0001 for all analyses). Cats with International Renal Interest Society (IRIS) stage 3 and 4 CKD had lower median EWB scores (30.8, range 1.6-54.4) than IRIS stage 1 and 2 CKD (47.3, range 11.2-58.8) (<i>P</i> = 0.04) and lower vitality scores (38.2, range 4.3-54.0) in comparison with IRIS stage 1 and 2 CKD (43.1, range 12.8-64.0) (<i>P</i> = 0.04). Cats with anaemia had lower median EWB scores (25.9, range 10.4-54.4) than those without (46.6, range 1.6-58.8) (<i>P</i> = 0.005), and haematocrit was positively correlated with EWB (<i>P</i> = 0.005, <i>r</i> = 0.33). Cats with abnormal appetite had lower median EWB scores (29.1, range 1.6-56.7) than cats with normal appetite (48.1, range 11.2-58.8) (<i>P</i> = 0.001). Cats with constipation had lower median comfort scores 29.5 (range 21.2-59.5) (<i>P</i> = 0.0003) and lower median EWB scores (22, range 1.6-58.8) (<i>P</i> = 0.008) than those without (comfort: 37.1, range 25.3-59.6; EWB: 47.9, range 11.2-58.8).Conclusions and relevanceCats with CKD have decreased HRQoL. Several modifiable clinical factors are associated with this decreased HRQoL.</p>","PeriodicalId":15851,"journal":{"name":"Journal of Feline Medicine and Surgery","volume":"27 9","pages":"1098612X251367535"},"PeriodicalIF":2.1000,"publicationDate":"2025-09-01","publicationTypes":"Journal Article","fieldsOfStudy":null,"isOpenAccess":false,"openAccessPdf":"https://www.ncbi.nlm.nih.gov/pmc/articles/PMC12432299/pdf/","citationCount":"0","resultStr":"{\"title\":\"Evaluation of health-related quality of life in cats with chronic kidney disease.\",\"authors\":\"Sarah K Lorbach, Jessica M Quimby, Eline Nijveldt, Rene E Paschall, E Marian Scott, Jacqueline Reid\",\"doi\":\"10.1177/1098612X251367535\",\"DOIUrl\":null,\"url\":null,\"abstract\":\"<p><p>ObjectivesThe aim of the present study was to evaluate health-related quality of life (HRQoL) in cats with chronic kidney disease (CKD) and integrate these results with clinical data to identify factors associated with decreased HRQoL.MethodsCaregivers completed a validated HRQoL tool (VetMetrica) and clinical data (history, laboratory work, physical examination findings, etc) were collected. Vitality, comfort and emotional wellbeing (EWB) scores were compared between groups using non-parametric analyses as appropriate.ResultsData from 24 healthy cats and 68 cats with CKD were collected. Cats with CKD had significantly lower median vitality, comfort and EWB scores (vitality: 41.7, range 4.3-64; comfort: 36.1, range 21.2-59.6; EWB: 44.6, range 1.6-58.8) than healthy cats (vitality: 56.5, range 40.7-64; comfort: 59.6, range 34.2-59.6; EWB: 58.7, range 45.1-58.8) (<i>P</i> <0.0001 for all analyses). Cats with International Renal Interest Society (IRIS) stage 3 and 4 CKD had lower median EWB scores (30.8, range 1.6-54.4) than IRIS stage 1 and 2 CKD (47.3, range 11.2-58.8) (<i>P</i> = 0.04) and lower vitality scores (38.2, range 4.3-54.0) in comparison with IRIS stage 1 and 2 CKD (43.1, range 12.8-64.0) (<i>P</i> = 0.04). Cats with anaemia had lower median EWB scores (25.9, range 10.4-54.4) than those without (46.6, range 1.6-58.8) (<i>P</i> = 0.005), and haematocrit was positively correlated with EWB (<i>P</i> = 0.005, <i>r</i> = 0.33). Cats with abnormal appetite had lower median EWB scores (29.1, range 1.6-56.7) than cats with normal appetite (48.1, range 11.2-58.8) (<i>P</i> = 0.001). Cats with constipation had lower median comfort scores 29.5 (range 21.2-59.5) (<i>P</i> = 0.0003) and lower median EWB scores (22, range 1.6-58.8) (<i>P</i> = 0.008) than those without (comfort: 37.1, range 25.3-59.6; EWB: 47.9, range 11.2-58.8).Conclusions and relevanceCats with CKD have decreased HRQoL. Several modifiable clinical factors are associated with this decreased HRQoL.</p>\",\"PeriodicalId\":15851,\"journal\":{\"name\":\"Journal of Feline Medicine and Surgery\",\"volume\":\"27 9\",\"pages\":\"1098612X251367535\"},\"PeriodicalIF\":2.1000,\"publicationDate\":\"2025-09-01\",\"publicationTypes\":\"Journal Article\",\"fieldsOfStudy\":null,\"isOpenAccess\":false,\"openAccessPdf\":\"https://www.ncbi.nlm.nih.gov/pmc/articles/PMC12432299/pdf/\",\"citationCount\":\"0\",\"resultStr\":null,\"platform\":\"Semanticscholar\",\"paperid\":null,\"PeriodicalName\":\"Journal of Feline Medicine and Surgery\",\"FirstCategoryId\":\"97\",\"ListUrlMain\":\"https://doi.org/10.1177/1098612X251367535\",\"RegionNum\":2,\"RegionCategory\":\"农林科学\",\"ArticlePicture\":[],\"TitleCN\":null,\"AbstractTextCN\":null,\"PMCID\":null,\"EPubDate\":\"2025/9/12 0:00:00\",\"PubModel\":\"Epub\",\"JCR\":\"Q2\",\"JCRName\":\"VETERINARY SCIENCES\",\"Score\":null,\"Total\":0}","platform":"Semanticscholar","paperid":null,"PeriodicalName":"Journal of Feline Medicine and Surgery","FirstCategoryId":"97","ListUrlMain":"https://doi.org/10.1177/1098612X251367535","RegionNum":2,"RegionCategory":"农林科学","ArticlePicture":[],"TitleCN":null,"AbstractTextCN":null,"PMCID":null,"EPubDate":"2025/9/12 0:00:00","PubModel":"Epub","JCR":"Q2","JCRName":"VETERINARY SCIENCES","Score":null,"Total":0}
引用次数: 0

摘要

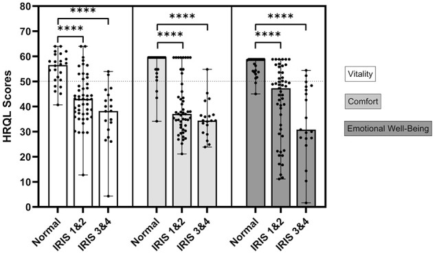
本研究的目的是评估患有慢性肾脏疾病(CKD)的猫的健康相关生活质量(HRQoL),并将这些结果与临床数据相结合,以确定与HRQoL下降相关的因素。方法收集受试者完成的经验证的HRQoL工具(VetMetrica)和临床资料(病史、实验室工作、体检结果等)。活力、舒适和情绪健康(EWB)评分在适当的情况下使用非参数分析进行组间比较。结果收集了24只健康猫和68只CKD猫的数据。与IRIS 1期和2期CKD(43.1, 12.8-64.0)相比,患有CKD的猫的中位活力、舒适度和EWB评分(活力:41.7,范围4.3-64;舒适度:36.1,范围21.2-59.6;EWB: 44.6,范围1.6-58.8)显著低于健康猫(活力:56.5,范围40.7-64;舒适度:59.6,范围34.2-59.6;EWB: 58.7,范围45.1-58.8)(P = 0.04),活力评分(38.2,范围4.3-54.0)低于IRIS 1期和2期CKD(43.1,范围12.8-64.0)(P = 0.04)。贫血猫的EWB评分中位数(25.9,范围10.4-54.4)低于无贫血猫(46.6,范围1.6-58.8)(P = 0.005),红细胞压积与EWB呈正相关(P = 0.005, r = 0.33)。食欲异常猫的EWB评分中位数(29.1,范围1.6-56.7)低于食欲正常猫(48.1,范围11.2-58.8)(P = 0.001)。便秘猫的舒适度中值(29.5分,范围21.2-59.5分)(P = 0.0003)和EWB中值(22分,范围1.6-58.8分)(P = 0.008)低于没有便秘猫的舒适度中值(37.1分,范围25.3-59.6分;EWB中值:47.9分,范围11.2-58.8分)。结论:CKD患者HRQoL降低。几个可改变的临床因素与HRQoL下降有关。
本文章由计算机程序翻译,如有差异,请以英文原文为准。

Evaluation of health-related quality of life in cats with chronic kidney disease.

Evaluation of health-related quality of life in cats with chronic kidney disease.

Evaluation of health-related quality of life in cats with chronic kidney disease.

Evaluation of health-related quality of life in cats with chronic kidney disease.

ObjectivesThe aim of the present study was to evaluate health-related quality of life (HRQoL) in cats with chronic kidney disease (CKD) and integrate these results with clinical data to identify factors associated with decreased HRQoL.MethodsCaregivers completed a validated HRQoL tool (VetMetrica) and clinical data (history, laboratory work, physical examination findings, etc) were collected. Vitality, comfort and emotional wellbeing (EWB) scores were compared between groups using non-parametric analyses as appropriate.ResultsData from 24 healthy cats and 68 cats with CKD were collected. Cats with CKD had significantly lower median vitality, comfort and EWB scores (vitality: 41.7, range 4.3-64; comfort: 36.1, range 21.2-59.6; EWB: 44.6, range 1.6-58.8) than healthy cats (vitality: 56.5, range 40.7-64; comfort: 59.6, range 34.2-59.6; EWB: 58.7, range 45.1-58.8) (P <0.0001 for all analyses). Cats with International Renal Interest Society (IRIS) stage 3 and 4 CKD had lower median EWB scores (30.8, range 1.6-54.4) than IRIS stage 1 and 2 CKD (47.3, range 11.2-58.8) (P = 0.04) and lower vitality scores (38.2, range 4.3-54.0) in comparison with IRIS stage 1 and 2 CKD (43.1, range 12.8-64.0) (P = 0.04). Cats with anaemia had lower median EWB scores (25.9, range 10.4-54.4) than those without (46.6, range 1.6-58.8) (P = 0.005), and haematocrit was positively correlated with EWB (P = 0.005, r = 0.33). Cats with abnormal appetite had lower median EWB scores (29.1, range 1.6-56.7) than cats with normal appetite (48.1, range 11.2-58.8) (P = 0.001). Cats with constipation had lower median comfort scores 29.5 (range 21.2-59.5) (P = 0.0003) and lower median EWB scores (22, range 1.6-58.8) (P = 0.008) than those without (comfort: 37.1, range 25.3-59.6; EWB: 47.9, range 11.2-58.8).Conclusions and relevanceCats with CKD have decreased HRQoL. Several modifiable clinical factors are associated with this decreased HRQoL.

求助全文
通过发布文献求助,成功后即可免费获取论文全文。 去求助
来源期刊
CiteScore
3.90
自引率
17.60%
发文量
254
审稿时长
8-16 weeks
期刊介绍: JFMS is an international, peer-reviewed journal aimed at both practitioners and researchers with an interest in the clinical veterinary healthcare of domestic cats. The journal is published monthly in two formats: ‘Classic’ editions containing high-quality original papers on all aspects of feline medicine and surgery, including basic research relevant to clinical practice; and dedicated ‘Clinical Practice’ editions primarily containing opinionated review articles providing state-of-the-art information for feline clinicians, along with other relevant articles such as consensus guidelines.
×
引用
GB/T 7714-2015
复制
MLA
复制
APA
复制
导出至
BibTeX EndNote RefMan NoteFirst NoteExpress
×
提示
您的信息不完整,为了账户安全,请先补充。
现在去补充
×
提示
您因"违规操作"
具体请查看互助需知
我知道了
×
提示
确定
请完成安全验证×
copy
已复制链接
快去分享给好友吧!
我知道了
右上角分享
点击右上角分享
0
联系我们:info@booksci.cn Book学术提供免费学术资源搜索服务,方便国内外学者检索中英文文献。致力于提供最便捷和优质的服务体验。 Copyright © 2023 布克学术 All rights reserved.
京ICP备2023020795号-1
ghs 京公网安备 11010802042870号
Book学术文献互助
Book学术文献互助群
群 号:604180095
Book学术官方微信