新一代宏基因组测序辅助肾移植后感染风险预测和分层:以COVID-19为例

IF 2.9 3区 医学 Q2 INFECTIOUS DISEASES
Infection and Drug Resistance Pub Date : 2025-09-05 eCollection Date: 2025-01-01 DOI:10.2147/IDR.S521111
Xin Ye, Chao Li, Zheng Zhou, Jiangnan Yang, Hao Jiang, Linkun Hu, Hao Pan, Xuedong Wei, Yuhua Huang, Yuxin Lin, Liangliang Wang
{"title":"新一代宏基因组测序辅助肾移植后感染风险预测和分层:以COVID-19为例","authors":"Xin Ye, Chao Li, Zheng Zhou, Jiangnan Yang, Hao Jiang, Linkun Hu, Hao Pan, Xuedong Wei, Yuhua Huang, Yuxin Lin, Liangliang Wang","doi":"10.2147/IDR.S521111","DOIUrl":null,"url":null,"abstract":"<p><strong>Background: </strong>During the COVID-19 pandemic, COVID-19 infection has severely damaged the transplanted kidney function and health of kidney transplant patients. This study aims to investigate the clinical characteristics, risk factors and predictors of severe COVID-19 in patients after kidney transplantation.</p><p><strong>Material and methods: </strong>The clinical data of patients with COVID-19 after kidney transplantation were collected from December 2022 to January 2023 at the First Affiliated Hospital of Soochow University. Logistic regression analysis was performed to identify risk factors for severe disease and to construct a nomogram model. Concurrently, metagenomic next-generation sequencing (mNGS) was employed to detect the sputum microbiome.</p><p><strong>Results: </strong>A total of 58 patients were enrolled and were categorized into the common group (n=35) and the severe group (n=23) based on infection severity. The common group comprised 23 males with a mean age of 45.60 ± 9.11 years, while the severe group included 16 males with a mean age of 48.22 ± 9.95 years. Multivariate logistic analysis revealed that days of fever before hospitalization, C-reactive protein (CRP) and interleukin-10 (IL-10) on admission were significantly independent risk factors for severity, with an area under the ROC curve at 0.906. Comparison of the sputum microbiome revealed that there were no significant differences in α and β diversity between the two groups. <i>Streptococcus parasanguinis</i> was significantly more abundant in the specimens from the severe group, while <i>Gemella sanguinis</i> and <i>Gemella haemolysans</i> were significantly more abundant in the common group.</p><p><strong>Conclusion: </strong>The severity of COVID-19 in kidney transplant patients is associated with days of fever before hospitalization, and the levels of CRP and IL-10 at admission, which also alter the abundance of certain species in the sputum microbiome. Therefore, it is necessary to actively monitor the clinical indicators of kidney transplant patients admitted with COVID-19 to reduce the risk of progression to severe disease.</p>","PeriodicalId":13577,"journal":{"name":"Infection and Drug Resistance","volume":"18 ","pages":"4763-4776"},"PeriodicalIF":2.9000,"publicationDate":"2025-09-05","publicationTypes":"Journal Article","fieldsOfStudy":null,"isOpenAccess":false,"openAccessPdf":"https://www.ncbi.nlm.nih.gov/pmc/articles/PMC12420915/pdf/","citationCount":"0","resultStr":"{\"title\":\"Metagenomic Next-Generation Sequencing-Assisted Risk Prediction and Stratification of Infections After Kidney Transplantation: A Case Study of COVID-19.\",\"authors\":\"Xin Ye, Chao Li, Zheng Zhou, Jiangnan Yang, Hao Jiang, Linkun Hu, Hao Pan, Xuedong Wei, Yuhua Huang, Yuxin Lin, Liangliang Wang\",\"doi\":\"10.2147/IDR.S521111\",\"DOIUrl\":null,\"url\":null,\"abstract\":\"<p><strong>Background: </strong>During the COVID-19 pandemic, COVID-19 infection has severely damaged the transplanted kidney function and health of kidney transplant patients. This study aims to investigate the clinical characteristics, risk factors and predictors of severe COVID-19 in patients after kidney transplantation.</p><p><strong>Material and methods: </strong>The clinical data of patients with COVID-19 after kidney transplantation were collected from December 2022 to January 2023 at the First Affiliated Hospital of Soochow University. Logistic regression analysis was performed to identify risk factors for severe disease and to construct a nomogram model. Concurrently, metagenomic next-generation sequencing (mNGS) was employed to detect the sputum microbiome.</p><p><strong>Results: </strong>A total of 58 patients were enrolled and were categorized into the common group (n=35) and the severe group (n=23) based on infection severity. The common group comprised 23 males with a mean age of 45.60 ± 9.11 years, while the severe group included 16 males with a mean age of 48.22 ± 9.95 years. Multivariate logistic analysis revealed that days of fever before hospitalization, C-reactive protein (CRP) and interleukin-10 (IL-10) on admission were significantly independent risk factors for severity, with an area under the ROC curve at 0.906. Comparison of the sputum microbiome revealed that there were no significant differences in α and β diversity between the two groups. <i>Streptococcus parasanguinis</i> was significantly more abundant in the specimens from the severe group, while <i>Gemella sanguinis</i> and <i>Gemella haemolysans</i> were significantly more abundant in the common group.</p><p><strong>Conclusion: </strong>The severity of COVID-19 in kidney transplant patients is associated with days of fever before hospitalization, and the levels of CRP and IL-10 at admission, which also alter the abundance of certain species in the sputum microbiome. Therefore, it is necessary to actively monitor the clinical indicators of kidney transplant patients admitted with COVID-19 to reduce the risk of progression to severe disease.</p>\",\"PeriodicalId\":13577,\"journal\":{\"name\":\"Infection and Drug Resistance\",\"volume\":\"18 \",\"pages\":\"4763-4776\"},\"PeriodicalIF\":2.9000,\"publicationDate\":\"2025-09-05\",\"publicationTypes\":\"Journal Article\",\"fieldsOfStudy\":null,\"isOpenAccess\":false,\"openAccessPdf\":\"https://www.ncbi.nlm.nih.gov/pmc/articles/PMC12420915/pdf/\",\"citationCount\":\"0\",\"resultStr\":null,\"platform\":\"Semanticscholar\",\"paperid\":null,\"PeriodicalName\":\"Infection and Drug Resistance\",\"FirstCategoryId\":\"3\",\"ListUrlMain\":\"https://doi.org/10.2147/IDR.S521111\",\"RegionNum\":3,\"RegionCategory\":\"医学\",\"ArticlePicture\":[],\"TitleCN\":null,\"AbstractTextCN\":null,\"PMCID\":null,\"EPubDate\":\"2025/1/1 0:00:00\",\"PubModel\":\"eCollection\",\"JCR\":\"Q2\",\"JCRName\":\"INFECTIOUS DISEASES\",\"Score\":null,\"Total\":0}","platform":"Semanticscholar","paperid":null,"PeriodicalName":"Infection and Drug Resistance","FirstCategoryId":"3","ListUrlMain":"https://doi.org/10.2147/IDR.S521111","RegionNum":3,"RegionCategory":"医学","ArticlePicture":[],"TitleCN":null,"AbstractTextCN":null,"PMCID":null,"EPubDate":"2025/1/1 0:00:00","PubModel":"eCollection","JCR":"Q2","JCRName":"INFECTIOUS DISEASES","Score":null,"Total":0}
引用次数: 0

摘要

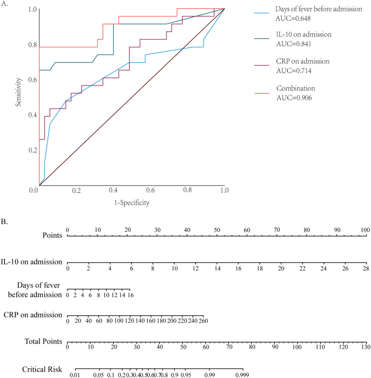
背景:在新冠肺炎大流行期间,新冠肺炎感染严重损害了移植肾的功能和移植肾患者的健康。本研究旨在探讨肾移植术后重症COVID-19患者的临床特点、危险因素及预测因素。材料与方法:收集2022年12月至2023年1月苏州大学第一附属医院肾移植术后COVID-19患者的临床资料。采用Logistic回归分析确定严重疾病的危险因素,并构建nomogram模型。同时,采用新一代宏基因组测序(mNGS)检测痰微生物组。结果:共纳入58例患者,根据感染严重程度分为普通组(n=35)和重症组(n=23)。普通组23例,平均年龄45.60±9.11岁;重症组16例,平均年龄48.22±9.95岁。多因素logistic分析显示,入院前发热天数、入院时c反应蛋白(CRP)和白细胞介素-10 (IL-10)水平是影响病情严重程度的独立危险因素,ROC曲线下面积为0.906。痰菌组比较显示,两组间α和β多样性无显著差异。副血链球菌在重症组中含量显著高于正常组,而血链球菌和溶血链球菌在普通组中含量显著高于正常组。结论:肾移植患者COVID-19的严重程度与入院前发热天数、入院时CRP和IL-10水平有关,这也会改变痰中微生物群中某些物种的丰度。因此,有必要积极监测新冠肺炎住院肾移植患者的临床指标,以降低病情发展为重症的风险。
本文章由计算机程序翻译,如有差异,请以英文原文为准。

Metagenomic Next-Generation Sequencing-Assisted Risk Prediction and Stratification of Infections After Kidney Transplantation: A Case Study of COVID-19.

Metagenomic Next-Generation Sequencing-Assisted Risk Prediction and Stratification of Infections After Kidney Transplantation: A Case Study of COVID-19.

Metagenomic Next-Generation Sequencing-Assisted Risk Prediction and Stratification of Infections After Kidney Transplantation: A Case Study of COVID-19.

Metagenomic Next-Generation Sequencing-Assisted Risk Prediction and Stratification of Infections After Kidney Transplantation: A Case Study of COVID-19.

Background: During the COVID-19 pandemic, COVID-19 infection has severely damaged the transplanted kidney function and health of kidney transplant patients. This study aims to investigate the clinical characteristics, risk factors and predictors of severe COVID-19 in patients after kidney transplantation.

Material and methods: The clinical data of patients with COVID-19 after kidney transplantation were collected from December 2022 to January 2023 at the First Affiliated Hospital of Soochow University. Logistic regression analysis was performed to identify risk factors for severe disease and to construct a nomogram model. Concurrently, metagenomic next-generation sequencing (mNGS) was employed to detect the sputum microbiome.

Results: A total of 58 patients were enrolled and were categorized into the common group (n=35) and the severe group (n=23) based on infection severity. The common group comprised 23 males with a mean age of 45.60 ± 9.11 years, while the severe group included 16 males with a mean age of 48.22 ± 9.95 years. Multivariate logistic analysis revealed that days of fever before hospitalization, C-reactive protein (CRP) and interleukin-10 (IL-10) on admission were significantly independent risk factors for severity, with an area under the ROC curve at 0.906. Comparison of the sputum microbiome revealed that there were no significant differences in α and β diversity between the two groups. Streptococcus parasanguinis was significantly more abundant in the specimens from the severe group, while Gemella sanguinis and Gemella haemolysans were significantly more abundant in the common group.

Conclusion: The severity of COVID-19 in kidney transplant patients is associated with days of fever before hospitalization, and the levels of CRP and IL-10 at admission, which also alter the abundance of certain species in the sputum microbiome. Therefore, it is necessary to actively monitor the clinical indicators of kidney transplant patients admitted with COVID-19 to reduce the risk of progression to severe disease.

求助全文
通过发布文献求助,成功后即可免费获取论文全文。 去求助
来源期刊
Infection and Drug Resistance
Infection and Drug Resistance Medicine-Pharmacology (medical)
CiteScore
5.60
自引率
7.70%
发文量
826
审稿时长
16 weeks
期刊介绍: About Journal Editors Peer Reviewers Articles Article Publishing Charges Aims and Scope Call For Papers ISSN: 1178-6973 Editor-in-Chief: Professor Suresh Antony An international, peer-reviewed, open access journal that focuses on the optimal treatment of infection (bacterial, fungal and viral) and the development and institution of preventative strategies to minimize the development and spread of resistance.
×
引用
GB/T 7714-2015
复制
MLA
复制
APA
复制
导出至
BibTeX EndNote RefMan NoteFirst NoteExpress
×
提示
您的信息不完整,为了账户安全,请先补充。
现在去补充
×
提示
您因"违规操作"
具体请查看互助需知
我知道了
×
提示
确定
请完成安全验证×
copy
已复制链接
快去分享给好友吧!
我知道了
右上角分享
点击右上角分享
0
联系我们:info@booksci.cn Book学术提供免费学术资源搜索服务,方便国内外学者检索中英文文献。致力于提供最便捷和优质的服务体验。 Copyright © 2023 布克学术 All rights reserved.
京ICP备2023020795号-1
ghs 京公网安备 11010802042870号
Book学术文献互助
Book学术文献互助群
群 号:604180095
Book学术官方微信