低密度脂蛋白和高密度脂蛋白作为炎症性肠病活动性评估的生物标志物。

IF 2 4区 医学 Q2 MEDICINE, GENERAL & INTERNAL
International Journal of General Medicine Pub Date : 2025-09-04 eCollection Date: 2025-01-01 DOI:10.2147/IJGM.S529428
Xi Zhao, Wei Yan, Li Wang, Qinyu Feng, Yingzhi Pang, Yanping Wang, Meihui Tao, Jingyue Zhang, Yu Fu
{"title":"低密度脂蛋白和高密度脂蛋白作为炎症性肠病活动性评估的生物标志物。","authors":"Xi Zhao, Wei Yan, Li Wang, Qinyu Feng, Yingzhi Pang, Yanping Wang, Meihui Tao, Jingyue Zhang, Yu Fu","doi":"10.2147/IJGM.S529428","DOIUrl":null,"url":null,"abstract":"<p><strong>Purpose: </strong>To explore the correlation of low-density lipoprotein (LDL) and high-density lipoprotein (HDL) with inflammatory bowel disease activity and their value in predicting disease activity.</p><p><strong>Patients and methods: </strong>Clinical data of 490 adult IBD patients diagnosed in two IBD centers were collected, and 200 healthy people were served as controls. To evaluate the correlation of IDL and HDL with clinical and endoscopic activity of inflammatory bowel disease (IBD), and to explore the predictive value of them for disease activity.</p><p><strong>Results: </strong>In CD, there were differences in HDL, CRP and ESR levels (p<0.001) among different disease activity groups. HDL levels were negatively correlated with HBI and CDEIS. In UC, there were differences in LDL, HDL, CRP and ESR levels among groups with different disease activities (p<0.001). Both LDL and HDL levels were negatively correlated with Mayo clinical score and UCEIS (p<0.001). The sensitivity of LDL for predicting moderate-severe UC was slightly higher than CRP (65.65% vs 60.31%). The specificity of HDL in predicting moderate-severe CD (65.85% vs 52.44%) and UC (87.34% vs 79.75%) was higher than CRP.</p><p><strong>Conclusion: </strong>In patients with IBD, serum levels of both LDL and HDL were significantly lower compared to healthy controls. These levels correlated with disease activity. Furthermore, LDL and HDL levels demonstrated potential utility in distinguishing patients with moderate-severe IBD and show promise as monitoring biomarkers for IBD.</p>","PeriodicalId":14131,"journal":{"name":"International Journal of General Medicine","volume":"18 ","pages":"5115-5125"},"PeriodicalIF":2.0000,"publicationDate":"2025-09-04","publicationTypes":"Journal Article","fieldsOfStudy":null,"isOpenAccess":false,"openAccessPdf":"https://www.ncbi.nlm.nih.gov/pmc/articles/PMC12417716/pdf/","citationCount":"0","resultStr":"{\"title\":\"Low-Density Lipoprotein and High-Density Lipoprotein as Biomarkers for Inflammatory Bowel Disease Activity Assessment.\",\"authors\":\"Xi Zhao, Wei Yan, Li Wang, Qinyu Feng, Yingzhi Pang, Yanping Wang, Meihui Tao, Jingyue Zhang, Yu Fu\",\"doi\":\"10.2147/IJGM.S529428\",\"DOIUrl\":null,\"url\":null,\"abstract\":\"<p><strong>Purpose: </strong>To explore the correlation of low-density lipoprotein (LDL) and high-density lipoprotein (HDL) with inflammatory bowel disease activity and their value in predicting disease activity.</p><p><strong>Patients and methods: </strong>Clinical data of 490 adult IBD patients diagnosed in two IBD centers were collected, and 200 healthy people were served as controls. To evaluate the correlation of IDL and HDL with clinical and endoscopic activity of inflammatory bowel disease (IBD), and to explore the predictive value of them for disease activity.</p><p><strong>Results: </strong>In CD, there were differences in HDL, CRP and ESR levels (p<0.001) among different disease activity groups. HDL levels were negatively correlated with HBI and CDEIS. In UC, there were differences in LDL, HDL, CRP and ESR levels among groups with different disease activities (p<0.001). Both LDL and HDL levels were negatively correlated with Mayo clinical score and UCEIS (p<0.001). The sensitivity of LDL for predicting moderate-severe UC was slightly higher than CRP (65.65% vs 60.31%). The specificity of HDL in predicting moderate-severe CD (65.85% vs 52.44%) and UC (87.34% vs 79.75%) was higher than CRP.</p><p><strong>Conclusion: </strong>In patients with IBD, serum levels of both LDL and HDL were significantly lower compared to healthy controls. These levels correlated with disease activity. Furthermore, LDL and HDL levels demonstrated potential utility in distinguishing patients with moderate-severe IBD and show promise as monitoring biomarkers for IBD.</p>\",\"PeriodicalId\":14131,\"journal\":{\"name\":\"International Journal of General Medicine\",\"volume\":\"18 \",\"pages\":\"5115-5125\"},\"PeriodicalIF\":2.0000,\"publicationDate\":\"2025-09-04\",\"publicationTypes\":\"Journal Article\",\"fieldsOfStudy\":null,\"isOpenAccess\":false,\"openAccessPdf\":\"https://www.ncbi.nlm.nih.gov/pmc/articles/PMC12417716/pdf/\",\"citationCount\":\"0\",\"resultStr\":null,\"platform\":\"Semanticscholar\",\"paperid\":null,\"PeriodicalName\":\"International Journal of General Medicine\",\"FirstCategoryId\":\"3\",\"ListUrlMain\":\"https://doi.org/10.2147/IJGM.S529428\",\"RegionNum\":4,\"RegionCategory\":\"医学\",\"ArticlePicture\":[],\"TitleCN\":null,\"AbstractTextCN\":null,\"PMCID\":null,\"EPubDate\":\"2025/1/1 0:00:00\",\"PubModel\":\"eCollection\",\"JCR\":\"Q2\",\"JCRName\":\"MEDICINE, GENERAL & INTERNAL\",\"Score\":null,\"Total\":0}","platform":"Semanticscholar","paperid":null,"PeriodicalName":"International Journal of General Medicine","FirstCategoryId":"3","ListUrlMain":"https://doi.org/10.2147/IJGM.S529428","RegionNum":4,"RegionCategory":"医学","ArticlePicture":[],"TitleCN":null,"AbstractTextCN":null,"PMCID":null,"EPubDate":"2025/1/1 0:00:00","PubModel":"eCollection","JCR":"Q2","JCRName":"MEDICINE, GENERAL & INTERNAL","Score":null,"Total":0}
引用次数: 0

摘要

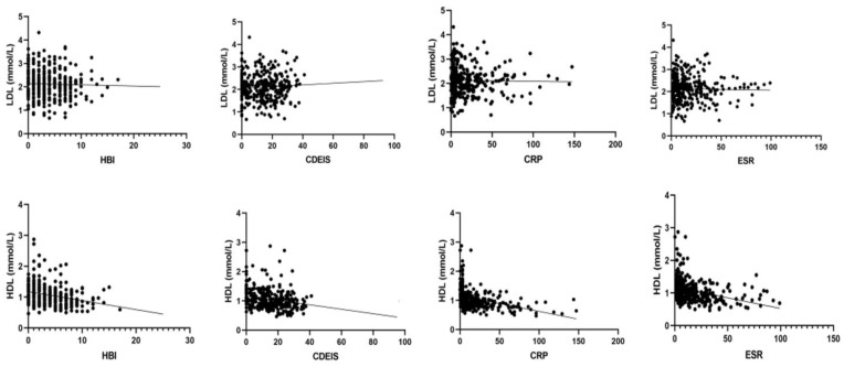
目的:探讨低密度脂蛋白(LDL)和高密度脂蛋白(HDL)与炎症性肠病活动性的相关性及其对疾病活动性的预测价值。患者和方法:收集两个IBD中心诊断的490例成年IBD患者的临床资料,并以200名健康人作为对照。评价IDL和HDL与炎症性肠病(IBD)临床及内镜活动性的相关性,探讨其对疾病活动性的预测价值。结果:在CD组,HDL、CRP和ESR水平存在差异(结论:IBD患者血清LDL和HDL水平均显著低于健康对照组)。这些水平与疾病活动相关。此外,LDL和HDL水平在区分中重度IBD患者方面显示出潜在的效用,并有望作为IBD的监测生物标志物。
本文章由计算机程序翻译,如有差异,请以英文原文为准。

Low-Density Lipoprotein and High-Density Lipoprotein as Biomarkers for Inflammatory Bowel Disease Activity Assessment.

Low-Density Lipoprotein and High-Density Lipoprotein as Biomarkers for Inflammatory Bowel Disease Activity Assessment.

Low-Density Lipoprotein and High-Density Lipoprotein as Biomarkers for Inflammatory Bowel Disease Activity Assessment.

Low-Density Lipoprotein and High-Density Lipoprotein as Biomarkers for Inflammatory Bowel Disease Activity Assessment.

Purpose: To explore the correlation of low-density lipoprotein (LDL) and high-density lipoprotein (HDL) with inflammatory bowel disease activity and their value in predicting disease activity.

Patients and methods: Clinical data of 490 adult IBD patients diagnosed in two IBD centers were collected, and 200 healthy people were served as controls. To evaluate the correlation of IDL and HDL with clinical and endoscopic activity of inflammatory bowel disease (IBD), and to explore the predictive value of them for disease activity.

Results: In CD, there were differences in HDL, CRP and ESR levels (p<0.001) among different disease activity groups. HDL levels were negatively correlated with HBI and CDEIS. In UC, there were differences in LDL, HDL, CRP and ESR levels among groups with different disease activities (p<0.001). Both LDL and HDL levels were negatively correlated with Mayo clinical score and UCEIS (p<0.001). The sensitivity of LDL for predicting moderate-severe UC was slightly higher than CRP (65.65% vs 60.31%). The specificity of HDL in predicting moderate-severe CD (65.85% vs 52.44%) and UC (87.34% vs 79.75%) was higher than CRP.

Conclusion: In patients with IBD, serum levels of both LDL and HDL were significantly lower compared to healthy controls. These levels correlated with disease activity. Furthermore, LDL and HDL levels demonstrated potential utility in distinguishing patients with moderate-severe IBD and show promise as monitoring biomarkers for IBD.

求助全文
通过发布文献求助,成功后即可免费获取论文全文。 去求助
来源期刊
International Journal of General Medicine
International Journal of General Medicine Medicine-General Medicine
自引率
0.00%
发文量
1113
审稿时长
16 weeks
期刊介绍: The International Journal of General Medicine is an international, peer-reviewed, open access journal that focuses on general and internal medicine, pathogenesis, epidemiology, diagnosis, monitoring and treatment protocols. The journal is characterized by the rapid reporting of reviews, original research and clinical studies across all disease areas. A key focus of the journal is the elucidation of disease processes and management protocols resulting in improved outcomes for the patient. Patient perspectives such as satisfaction, quality of life, health literacy and communication and their role in developing new healthcare programs and optimizing clinical outcomes are major areas of interest for the journal. As of 1st April 2019, the International Journal of General Medicine will no longer consider meta-analyses for publication.
×
引用
GB/T 7714-2015
复制
MLA
复制
APA
复制
导出至
BibTeX EndNote RefMan NoteFirst NoteExpress
×
提示
您的信息不完整,为了账户安全,请先补充。
现在去补充
×
提示
您因"违规操作"
具体请查看互助需知
我知道了
×
提示
确定
请完成安全验证×
copy
已复制链接
快去分享给好友吧!
我知道了
右上角分享
点击右上角分享
0
联系我们:info@booksci.cn Book学术提供免费学术资源搜索服务,方便国内外学者检索中英文文献。致力于提供最便捷和优质的服务体验。 Copyright © 2023 布克学术 All rights reserved.
京ICP备2023020795号-1
ghs 京公网安备 11010802042870号
Book学术文献互助
Book学术文献互助群
群 号:604180095
Book学术官方微信