老龄化的认知灵活性:年龄范围和任务难度对任务转换中局部转换成本的影响。

IF 4.5 2区 医学 Q2 GERIATRICS & GERONTOLOGY
Frontiers in Aging Neuroscience Pub Date : 2025-08-26 eCollection Date: 2025-01-01 DOI:10.3389/fnagi.2025.1619441
Tara Radović, Sebastian Kübler, Rafael Mikolajczyk, Alexander Kluttig, Viktoria Maydych, Torsten Schubert
{"title":"老龄化的认知灵活性:年龄范围和任务难度对任务转换中局部转换成本的影响。","authors":"Tara Radović, Sebastian Kübler, Rafael Mikolajczyk, Alexander Kluttig, Viktoria Maydych, Torsten Schubert","doi":"10.3389/fnagi.2025.1619441","DOIUrl":null,"url":null,"abstract":"<p><strong>Introduction: </strong>Previous studies provided inconclusive results regarding the effects of aging on the ability to flexibly switch between task rules (local switch cost). The goal of the present study was to investigate the influence of age on the local switch costs at two levels of difficulty (easy task switching: two task rules vs. difficult task switching: four task rules).</p><p><strong>Methods: </strong>The local switch costs, i.e., reaction time and error differences between trials with a task switch and task repetition relative to the previous trial, were compared in a group of young adults (19 to 33 years) and three groups of older adults (64-72; 73-80; 82-97 years).</p><p><strong>Results: </strong>The analysis of the switch costs showed significantly higher switch costs of the three groups of older adults compared to the younger adults and the effect was more pronounced in the difficult task switching than in the easy task switching. At the same time, there were no clear differences in the local switch costs between the three groups of older adults.</p><p><strong>Discussion: </strong>The results showed that even after the age-related slowdown was taken into account, age differences in local switch costs will emerge when the age range of older adults is extended and task difficulty is sufficiently high. These findings contribute to our understanding of how and when age differences in cognitive flexibility emerge and suggest that complex multitasking environments may disproportionately challenge older adults.</p>","PeriodicalId":12450,"journal":{"name":"Frontiers in Aging Neuroscience","volume":"17 ","pages":"1619441"},"PeriodicalIF":4.5000,"publicationDate":"2025-08-26","publicationTypes":"Journal Article","fieldsOfStudy":null,"isOpenAccess":false,"openAccessPdf":"https://www.ncbi.nlm.nih.gov/pmc/articles/PMC12417386/pdf/","citationCount":"0","resultStr":"{\"title\":\"Cognitive flexibility in aging: the impact of age range and task difficulty on local switch costs in task switching.\",\"authors\":\"Tara Radović, Sebastian Kübler, Rafael Mikolajczyk, Alexander Kluttig, Viktoria Maydych, Torsten Schubert\",\"doi\":\"10.3389/fnagi.2025.1619441\",\"DOIUrl\":null,\"url\":null,\"abstract\":\"<p><strong>Introduction: </strong>Previous studies provided inconclusive results regarding the effects of aging on the ability to flexibly switch between task rules (local switch cost). The goal of the present study was to investigate the influence of age on the local switch costs at two levels of difficulty (easy task switching: two task rules vs. difficult task switching: four task rules).</p><p><strong>Methods: </strong>The local switch costs, i.e., reaction time and error differences between trials with a task switch and task repetition relative to the previous trial, were compared in a group of young adults (19 to 33 years) and three groups of older adults (64-72; 73-80; 82-97 years).</p><p><strong>Results: </strong>The analysis of the switch costs showed significantly higher switch costs of the three groups of older adults compared to the younger adults and the effect was more pronounced in the difficult task switching than in the easy task switching. At the same time, there were no clear differences in the local switch costs between the three groups of older adults.</p><p><strong>Discussion: </strong>The results showed that even after the age-related slowdown was taken into account, age differences in local switch costs will emerge when the age range of older adults is extended and task difficulty is sufficiently high. These findings contribute to our understanding of how and when age differences in cognitive flexibility emerge and suggest that complex multitasking environments may disproportionately challenge older adults.</p>\",\"PeriodicalId\":12450,\"journal\":{\"name\":\"Frontiers in Aging Neuroscience\",\"volume\":\"17 \",\"pages\":\"1619441\"},\"PeriodicalIF\":4.5000,\"publicationDate\":\"2025-08-26\",\"publicationTypes\":\"Journal Article\",\"fieldsOfStudy\":null,\"isOpenAccess\":false,\"openAccessPdf\":\"https://www.ncbi.nlm.nih.gov/pmc/articles/PMC12417386/pdf/\",\"citationCount\":\"0\",\"resultStr\":null,\"platform\":\"Semanticscholar\",\"paperid\":null,\"PeriodicalName\":\"Frontiers in Aging Neuroscience\",\"FirstCategoryId\":\"3\",\"ListUrlMain\":\"https://doi.org/10.3389/fnagi.2025.1619441\",\"RegionNum\":2,\"RegionCategory\":\"医学\",\"ArticlePicture\":[],\"TitleCN\":null,\"AbstractTextCN\":null,\"PMCID\":null,\"EPubDate\":\"2025/1/1 0:00:00\",\"PubModel\":\"eCollection\",\"JCR\":\"Q2\",\"JCRName\":\"GERIATRICS & GERONTOLOGY\",\"Score\":null,\"Total\":0}","platform":"Semanticscholar","paperid":null,"PeriodicalName":"Frontiers in Aging Neuroscience","FirstCategoryId":"3","ListUrlMain":"https://doi.org/10.3389/fnagi.2025.1619441","RegionNum":2,"RegionCategory":"医学","ArticlePicture":[],"TitleCN":null,"AbstractTextCN":null,"PMCID":null,"EPubDate":"2025/1/1 0:00:00","PubModel":"eCollection","JCR":"Q2","JCRName":"GERIATRICS & GERONTOLOGY","Score":null,"Total":0}
引用次数: 0

摘要

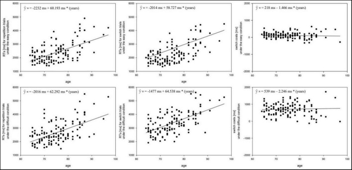
引言:关于年龄对任务规则之间灵活切换能力(局部切换成本)的影响,以往的研究结果不确定。本研究的目的是探讨在两种难度水平(简单任务切换:两个任务规则和困难任务切换:四个任务规则)下,年龄对本地切换成本的影响。方法:比较青年组(19 ~ 33岁)和三组老年人(64 ~ 72岁、73 ~ 80岁、82 ~ 97岁)的局部切换成本,即任务切换和任务重复试验与前一次试验的反应时间和错误差异。结果:转换成本分析显示,三组老年人的转换成本明显高于年轻人,且在困难任务转换中效果更明显,而在容易任务转换中效果更明显。同时,三组老年人的局部转换成本没有明显差异。讨论:结果表明,即使考虑到年龄相关的减速,当老年人的年龄范围扩大,任务难度足够高时,局部转换成本的年龄差异也会出现。这些发现有助于我们理解认知灵活性的年龄差异是如何以及何时出现的,并表明复杂的多任务环境可能对老年人构成不成比例的挑战。
本文章由计算机程序翻译,如有差异,请以英文原文为准。

Cognitive flexibility in aging: the impact of age range and task difficulty on local switch costs in task switching.

Cognitive flexibility in aging: the impact of age range and task difficulty on local switch costs in task switching.

Cognitive flexibility in aging: the impact of age range and task difficulty on local switch costs in task switching.

Cognitive flexibility in aging: the impact of age range and task difficulty on local switch costs in task switching.

Introduction: Previous studies provided inconclusive results regarding the effects of aging on the ability to flexibly switch between task rules (local switch cost). The goal of the present study was to investigate the influence of age on the local switch costs at two levels of difficulty (easy task switching: two task rules vs. difficult task switching: four task rules).

Methods: The local switch costs, i.e., reaction time and error differences between trials with a task switch and task repetition relative to the previous trial, were compared in a group of young adults (19 to 33 years) and three groups of older adults (64-72; 73-80; 82-97 years).

Results: The analysis of the switch costs showed significantly higher switch costs of the three groups of older adults compared to the younger adults and the effect was more pronounced in the difficult task switching than in the easy task switching. At the same time, there were no clear differences in the local switch costs between the three groups of older adults.

Discussion: The results showed that even after the age-related slowdown was taken into account, age differences in local switch costs will emerge when the age range of older adults is extended and task difficulty is sufficiently high. These findings contribute to our understanding of how and when age differences in cognitive flexibility emerge and suggest that complex multitasking environments may disproportionately challenge older adults.

求助全文
通过发布文献求助,成功后即可免费获取论文全文。 去求助
来源期刊
Frontiers in Aging Neuroscience
Frontiers in Aging Neuroscience GERIATRICS & GERONTOLOGY-NEUROSCIENCES
CiteScore
6.30
自引率
8.30%
发文量
1426
期刊介绍: Frontiers in Aging Neuroscience is a leading journal in its field, publishing rigorously peer-reviewed research that advances our understanding of the mechanisms of Central Nervous System aging and age-related neural diseases. Specialty Chief Editor Thomas Wisniewski at the New York University School of Medicine is supported by an outstanding Editorial Board of international researchers. This multidisciplinary open-access journal is at the forefront of disseminating and communicating scientific knowledge and impactful discoveries to researchers, academics, clinicians and the public worldwide.
×
引用
GB/T 7714-2015
复制
MLA
复制
APA
复制
导出至
BibTeX EndNote RefMan NoteFirst NoteExpress
×
提示
您的信息不完整,为了账户安全,请先补充。
现在去补充
×
提示
您因"违规操作"
具体请查看互助需知
我知道了
×
提示
确定
请完成安全验证×
copy
已复制链接
快去分享给好友吧!
我知道了
右上角分享
点击右上角分享
0
联系我们:info@booksci.cn Book学术提供免费学术资源搜索服务,方便国内外学者检索中英文文献。致力于提供最便捷和优质的服务体验。 Copyright © 2023 布克学术 All rights reserved.
京ICP备2023020795号-1
ghs 京公网安备 11010802042870号
Book学术文献互助
Book学术文献互助群
群 号:604180095
Book学术官方微信