热应激导致了布基纳法索农业生态区之间的经济和福利差异。

IF 8.9 1区 地球科学 Q1 ENVIRONMENTAL SCIENCES
Communications Earth & Environment Pub Date : 2025-01-01 Epub Date: 2025-09-09 DOI:10.1038/s43247-025-02650-1
Martial A K Houessou, Zuhal Elnour, Qinqin Kong, Harald Grethe, Matthew Huber
{"title":"热应激导致了布基纳法索农业生态区之间的经济和福利差异。","authors":"Martial A K Houessou, Zuhal Elnour, Qinqin Kong, Harald Grethe, Matthew Huber","doi":"10.1038/s43247-025-02650-1","DOIUrl":null,"url":null,"abstract":"<p><p>Increased warming due to climate change can induce heat stress in humans and adversely affect labour productivity due to heat-related morbidity. Here, we use a simulation model to examine the effects of heat stress, through declined labour capacity under +1.5 °C and 3.5 °C warming scenarios on agriculture and welfare across the three agroecological zones (Sudanian, Sudano-Sahelian, and Sahelian) in Burkina Faso. In the two scenarios, domestic production declines, with outdoor labour-intensive sectors such as cropping and mining being the most affected, reducing gross domestic product by 9% and 20%, respectively. All households lose welfare in all scenarios except non-poor households in the +1.5 °C scenario. Across zones, crop production declines strongest in the crop-producing Sudanian and Sudano-Sahelian zones. In contrast, relative welfare losses are strongest for households in the Sahelian zone. The study highlights the most vulnerable sectors, household groups, and zones requiring urgent attention in heat stress adaptation and mitigation policies.</p>","PeriodicalId":10530,"journal":{"name":"Communications Earth & Environment","volume":"6 1","pages":"744"},"PeriodicalIF":8.9000,"publicationDate":"2025-01-01","publicationTypes":"Journal Article","fieldsOfStudy":null,"isOpenAccess":false,"openAccessPdf":"https://www.ncbi.nlm.nih.gov/pmc/articles/PMC12420375/pdf/","citationCount":"0","resultStr":"{\"title\":\"Heat stress causes economic and welfare disparities across agroecological zones in Burkina Faso.\",\"authors\":\"Martial A K Houessou, Zuhal Elnour, Qinqin Kong, Harald Grethe, Matthew Huber\",\"doi\":\"10.1038/s43247-025-02650-1\",\"DOIUrl\":null,\"url\":null,\"abstract\":\"<p><p>Increased warming due to climate change can induce heat stress in humans and adversely affect labour productivity due to heat-related morbidity. Here, we use a simulation model to examine the effects of heat stress, through declined labour capacity under +1.5 °C and 3.5 °C warming scenarios on agriculture and welfare across the three agroecological zones (Sudanian, Sudano-Sahelian, and Sahelian) in Burkina Faso. In the two scenarios, domestic production declines, with outdoor labour-intensive sectors such as cropping and mining being the most affected, reducing gross domestic product by 9% and 20%, respectively. All households lose welfare in all scenarios except non-poor households in the +1.5 °C scenario. Across zones, crop production declines strongest in the crop-producing Sudanian and Sudano-Sahelian zones. In contrast, relative welfare losses are strongest for households in the Sahelian zone. The study highlights the most vulnerable sectors, household groups, and zones requiring urgent attention in heat stress adaptation and mitigation policies.</p>\",\"PeriodicalId\":10530,\"journal\":{\"name\":\"Communications Earth & Environment\",\"volume\":\"6 1\",\"pages\":\"744\"},\"PeriodicalIF\":8.9000,\"publicationDate\":\"2025-01-01\",\"publicationTypes\":\"Journal Article\",\"fieldsOfStudy\":null,\"isOpenAccess\":false,\"openAccessPdf\":\"https://www.ncbi.nlm.nih.gov/pmc/articles/PMC12420375/pdf/\",\"citationCount\":\"0\",\"resultStr\":null,\"platform\":\"Semanticscholar\",\"paperid\":null,\"PeriodicalName\":\"Communications Earth & Environment\",\"FirstCategoryId\":\"93\",\"ListUrlMain\":\"https://doi.org/10.1038/s43247-025-02650-1\",\"RegionNum\":1,\"RegionCategory\":\"地球科学\",\"ArticlePicture\":[],\"TitleCN\":null,\"AbstractTextCN\":null,\"PMCID\":null,\"EPubDate\":\"2025/9/9 0:00:00\",\"PubModel\":\"Epub\",\"JCR\":\"Q1\",\"JCRName\":\"ENVIRONMENTAL SCIENCES\",\"Score\":null,\"Total\":0}","platform":"Semanticscholar","paperid":null,"PeriodicalName":"Communications Earth & Environment","FirstCategoryId":"93","ListUrlMain":"https://doi.org/10.1038/s43247-025-02650-1","RegionNum":1,"RegionCategory":"地球科学","ArticlePicture":[],"TitleCN":null,"AbstractTextCN":null,"PMCID":null,"EPubDate":"2025/9/9 0:00:00","PubModel":"Epub","JCR":"Q1","JCRName":"ENVIRONMENTAL SCIENCES","Score":null,"Total":0}
引用次数: 0

摘要

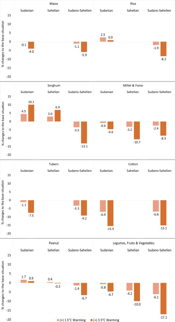
由于气候变化导致的变暖加剧可引起人类热应激,并由于与热有关的发病率而对劳动生产率产生不利影响。在这里,我们使用一个模拟模型来研究热应激对布基纳法索三个农业生态区(苏丹区、苏丹-萨赫勒区和萨赫勒区)的农业和福利的影响,通过在+1.5°C和3.5°C变暖情景下劳动能力的下降。在这两种情况下,国内生产下降,户外劳动密集型行业如种植业和采矿业受到的影响最大,国内生产总值分别减少9%和20%。除+1.5°C情景下的非贫困家庭外,所有情景下的所有家庭都将失去福利。从各地区来看,作物产量下降最严重的是产作物的苏丹和苏丹-萨赫勒地区。相比之下,萨赫勒地区家庭的相对福利损失最为严重。该研究强调了最脆弱的部门、家庭群体和需要紧急关注热应激适应和缓解政策的地区。
本文章由计算机程序翻译,如有差异,请以英文原文为准。

Heat stress causes economic and welfare disparities across agroecological zones in Burkina Faso.

Heat stress causes economic and welfare disparities across agroecological zones in Burkina Faso.

Heat stress causes economic and welfare disparities across agroecological zones in Burkina Faso.

Heat stress causes economic and welfare disparities across agroecological zones in Burkina Faso.

Increased warming due to climate change can induce heat stress in humans and adversely affect labour productivity due to heat-related morbidity. Here, we use a simulation model to examine the effects of heat stress, through declined labour capacity under +1.5 °C and 3.5 °C warming scenarios on agriculture and welfare across the three agroecological zones (Sudanian, Sudano-Sahelian, and Sahelian) in Burkina Faso. In the two scenarios, domestic production declines, with outdoor labour-intensive sectors such as cropping and mining being the most affected, reducing gross domestic product by 9% and 20%, respectively. All households lose welfare in all scenarios except non-poor households in the +1.5 °C scenario. Across zones, crop production declines strongest in the crop-producing Sudanian and Sudano-Sahelian zones. In contrast, relative welfare losses are strongest for households in the Sahelian zone. The study highlights the most vulnerable sectors, household groups, and zones requiring urgent attention in heat stress adaptation and mitigation policies.

求助全文
通过发布文献求助,成功后即可免费获取论文全文。 去求助
来源期刊
Communications Earth & Environment
Communications Earth & Environment Earth and Planetary Sciences-General Earth and Planetary Sciences
CiteScore
8.60
自引率
2.50%
发文量
269
审稿时长
26 weeks
期刊介绍: Communications Earth & Environment is an open access journal from Nature Portfolio publishing high-quality research, reviews and commentary in all areas of the Earth, environmental and planetary sciences. Research papers published by the journal represent significant advances that bring new insight to a specialized area in Earth science, planetary science or environmental science. Communications Earth & Environment has a 2-year impact factor of 7.9 (2022 Journal Citation Reports®). Articles published in the journal in 2022 were downloaded 1,412,858 times. Median time from submission to the first editorial decision is 8 days.
×
引用
GB/T 7714-2015
复制
MLA
复制
APA
复制
导出至
BibTeX EndNote RefMan NoteFirst NoteExpress
×
提示
您的信息不完整,为了账户安全,请先补充。
现在去补充
×
提示
您因"违规操作"
具体请查看互助需知
我知道了
×
提示
确定
请完成安全验证×
copy
已复制链接
快去分享给好友吧!
我知道了
右上角分享
点击右上角分享
0
联系我们:info@booksci.cn Book学术提供免费学术资源搜索服务,方便国内外学者检索中英文文献。致力于提供最便捷和优质的服务体验。 Copyright © 2023 布克学术 All rights reserved.
京ICP备2023020795号-1
ghs 京公网安备 11010802042870号
Book学术文献互助
Book学术文献互助群
群 号:604180095
Book学术官方微信