儿童食物过敏的患病率和趋势的种族和民族。

IF 2.1 Q3 ALLERGY
Asia Pacific Allergy Pub Date : 2025-09-01 Epub Date: 2025-02-05 DOI:10.5415/apallergy.0000000000000189
Francesca B Rose, Tyler M Rose
{"title":"儿童食物过敏的患病率和趋势的种族和民族。","authors":"Francesca B Rose, Tyler M Rose","doi":"10.5415/apallergy.0000000000000189","DOIUrl":null,"url":null,"abstract":"<p><strong>Background: </strong>In the United States, food allergies (FAs) disproportionately affect children based on their racial or ethnic heritage, though there are some gaps and discrepancies in the literature about the prevalence of FAs among different groups.</p><p><strong>Objective: </strong>The objective was to analyze clinical data to determine how FA prevalence varies based on race and ethnicity and to track FA diagnosis rates over time.</p><p><strong>Methods: </strong>Patient FA diagnoses, birth years, and self-reported races or ethnicities were analyzed for 298,476 pediatric patients in the Children's Hospital of Philadelphia network. Odds ratios (OR) for FA were calculated for each race or ethnicity, controlling for sex, insurance type, and birth year. The percentages having each of the top 9 FAs and ORs for being allergic to a particular allergen and multiple allergens were calculated for each race or ethnicity using a subset of data for 20,582 food-allergic children. The percentages of each birth cohort diagnosed with FA were plotted.</p><p><strong>Results: </strong>Asian/Pacific Islander (A/PI) children had the highest odds of FA (OR, 1.92; CI, 1.80-2.05) and multiple FAs (OR, 1.55; CI, 1.37-1.76). The most common allergens varied between groups. All groups had higher odds than White children of allergies to fish and shellfish, but only A/PI children also had higher odds of peanut, egg, wheat, and sesame allergies. FA diagnoses appeared to increase until the 2004 birth cohort and remain steady through the 2008 birth cohort.</p><p><strong>Conclusions: </strong>Clinicians, researchers, and outreach coordinators should be aware of the potential for a significantly greater risk of FA for children of A/PI heritage in the United States. Additional studies that intentionally include patients from these demographics and monitor FA trends over time are warranted.</p>","PeriodicalId":8488,"journal":{"name":"Asia Pacific Allergy","volume":"15 3","pages":"166-170"},"PeriodicalIF":2.1000,"publicationDate":"2025-09-01","publicationTypes":"Journal Article","fieldsOfStudy":null,"isOpenAccess":false,"openAccessPdf":"https://www.ncbi.nlm.nih.gov/pmc/articles/PMC12419385/pdf/","citationCount":"0","resultStr":"{\"title\":\"Pediatric food allergy prevalence and trends by race and ethnicity.\",\"authors\":\"Francesca B Rose, Tyler M Rose\",\"doi\":\"10.5415/apallergy.0000000000000189\",\"DOIUrl\":null,\"url\":null,\"abstract\":\"<p><strong>Background: </strong>In the United States, food allergies (FAs) disproportionately affect children based on their racial or ethnic heritage, though there are some gaps and discrepancies in the literature about the prevalence of FAs among different groups.</p><p><strong>Objective: </strong>The objective was to analyze clinical data to determine how FA prevalence varies based on race and ethnicity and to track FA diagnosis rates over time.</p><p><strong>Methods: </strong>Patient FA diagnoses, birth years, and self-reported races or ethnicities were analyzed for 298,476 pediatric patients in the Children's Hospital of Philadelphia network. Odds ratios (OR) for FA were calculated for each race or ethnicity, controlling for sex, insurance type, and birth year. The percentages having each of the top 9 FAs and ORs for being allergic to a particular allergen and multiple allergens were calculated for each race or ethnicity using a subset of data for 20,582 food-allergic children. The percentages of each birth cohort diagnosed with FA were plotted.</p><p><strong>Results: </strong>Asian/Pacific Islander (A/PI) children had the highest odds of FA (OR, 1.92; CI, 1.80-2.05) and multiple FAs (OR, 1.55; CI, 1.37-1.76). The most common allergens varied between groups. All groups had higher odds than White children of allergies to fish and shellfish, but only A/PI children also had higher odds of peanut, egg, wheat, and sesame allergies. FA diagnoses appeared to increase until the 2004 birth cohort and remain steady through the 2008 birth cohort.</p><p><strong>Conclusions: </strong>Clinicians, researchers, and outreach coordinators should be aware of the potential for a significantly greater risk of FA for children of A/PI heritage in the United States. Additional studies that intentionally include patients from these demographics and monitor FA trends over time are warranted.</p>\",\"PeriodicalId\":8488,\"journal\":{\"name\":\"Asia Pacific Allergy\",\"volume\":\"15 3\",\"pages\":\"166-170\"},\"PeriodicalIF\":2.1000,\"publicationDate\":\"2025-09-01\",\"publicationTypes\":\"Journal Article\",\"fieldsOfStudy\":null,\"isOpenAccess\":false,\"openAccessPdf\":\"https://www.ncbi.nlm.nih.gov/pmc/articles/PMC12419385/pdf/\",\"citationCount\":\"0\",\"resultStr\":null,\"platform\":\"Semanticscholar\",\"paperid\":null,\"PeriodicalName\":\"Asia Pacific Allergy\",\"FirstCategoryId\":\"1085\",\"ListUrlMain\":\"https://doi.org/10.5415/apallergy.0000000000000189\",\"RegionNum\":0,\"RegionCategory\":null,\"ArticlePicture\":[],\"TitleCN\":null,\"AbstractTextCN\":null,\"PMCID\":null,\"EPubDate\":\"2025/2/5 0:00:00\",\"PubModel\":\"Epub\",\"JCR\":\"Q3\",\"JCRName\":\"ALLERGY\",\"Score\":null,\"Total\":0}","platform":"Semanticscholar","paperid":null,"PeriodicalName":"Asia Pacific Allergy","FirstCategoryId":"1085","ListUrlMain":"https://doi.org/10.5415/apallergy.0000000000000189","RegionNum":0,"RegionCategory":null,"ArticlePicture":[],"TitleCN":null,"AbstractTextCN":null,"PMCID":null,"EPubDate":"2025/2/5 0:00:00","PubModel":"Epub","JCR":"Q3","JCRName":"ALLERGY","Score":null,"Total":0}
引用次数: 0

摘要

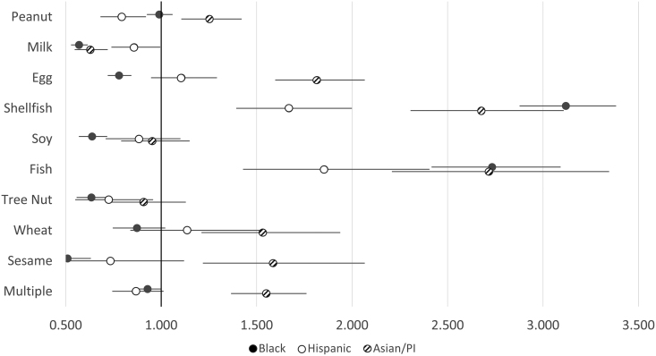
背景:在美国,食物过敏(FAs)对儿童的影响与他们的种族或民族遗产不成比例,尽管关于不同群体中FAs患病率的文献存在一些差距和差异。目的:目的是分析临床数据,以确定FA患病率如何根据种族和民族变化,并跟踪FA诊断率随时间的变化。方法:分析费城儿童医院网络中298,476名儿童患者的FA诊断、出生年份和自我报告的种族或民族。在控制性别、保险类型和出生年份的情况下,计算每个种族或民族FA的优势比(OR)。使用20,582名食物过敏儿童的数据子集,计算出每个种族或民族对特定过敏原和多种过敏原过敏的前9种FAs和or的百分比。绘制出诊断为FA的每个出生队列的百分比。结果:亚洲/太平洋岛民(A/PI)儿童FA发生率最高(OR, 1.92; CI, 1.80 ~ 2.05),多发性FA发生率最高(OR, 1.55; CI, 1.37 ~ 1.76)。最常见的过敏原在两组之间有所不同。所有群体对鱼类和贝类过敏的几率都高于白人儿童,但只有A/PI儿童对花生、鸡蛋、小麦和芝麻过敏的几率也更高。FA的诊断率在2004年出生队列中有所增加,并在2008年出生队列中保持稳定。结论:在美国,临床医生、研究人员和外展协调员应该意识到a /PI遗传的儿童患FA的风险显著增加。有必要对这些患者进行额外的研究,并长期监测FA趋势。
本文章由计算机程序翻译,如有差异,请以英文原文为准。

Pediatric food allergy prevalence and trends by race and ethnicity.

Pediatric food allergy prevalence and trends by race and ethnicity.

Pediatric food allergy prevalence and trends by race and ethnicity.

Background: In the United States, food allergies (FAs) disproportionately affect children based on their racial or ethnic heritage, though there are some gaps and discrepancies in the literature about the prevalence of FAs among different groups.

Objective: The objective was to analyze clinical data to determine how FA prevalence varies based on race and ethnicity and to track FA diagnosis rates over time.

Methods: Patient FA diagnoses, birth years, and self-reported races or ethnicities were analyzed for 298,476 pediatric patients in the Children's Hospital of Philadelphia network. Odds ratios (OR) for FA were calculated for each race or ethnicity, controlling for sex, insurance type, and birth year. The percentages having each of the top 9 FAs and ORs for being allergic to a particular allergen and multiple allergens were calculated for each race or ethnicity using a subset of data for 20,582 food-allergic children. The percentages of each birth cohort diagnosed with FA were plotted.

Results: Asian/Pacific Islander (A/PI) children had the highest odds of FA (OR, 1.92; CI, 1.80-2.05) and multiple FAs (OR, 1.55; CI, 1.37-1.76). The most common allergens varied between groups. All groups had higher odds than White children of allergies to fish and shellfish, but only A/PI children also had higher odds of peanut, egg, wheat, and sesame allergies. FA diagnoses appeared to increase until the 2004 birth cohort and remain steady through the 2008 birth cohort.

Conclusions: Clinicians, researchers, and outreach coordinators should be aware of the potential for a significantly greater risk of FA for children of A/PI heritage in the United States. Additional studies that intentionally include patients from these demographics and monitor FA trends over time are warranted.

求助全文
通过发布文献求助,成功后即可免费获取论文全文。 去求助
来源期刊
CiteScore
2.50
自引率
5.90%
发文量
33
期刊介绍: Asia Pacific Allergy (AP Allergy) is the official journal of the Asia Pacific Association of Allergy, Asthma and Clinical Immunology (APAAACI). Although the primary aim of the journal is to promote communication between Asia Pacific scientists who are interested in allergy, asthma, and clinical immunology including immunodeficiency, the journal is intended to be available worldwide. To enable scientists and clinicians from emerging societies appreciate the scope and intent of the journal, early issues will contain more educational review material. For better communication and understanding, it will include rational concepts related to the diagnosis and management of asthma and other immunological conditions. Over time, the journal will increase the number of original research papers to become the foremost citation journal for allergy and clinical immunology information of the Asia Pacific in the future.
×
引用
GB/T 7714-2015
复制
MLA
复制
APA
复制
导出至
BibTeX EndNote RefMan NoteFirst NoteExpress
×
提示
您的信息不完整,为了账户安全,请先补充。
现在去补充
×
提示
您因"违规操作"
具体请查看互助需知
我知道了
×
提示
确定
请完成安全验证×
copy
已复制链接
快去分享给好友吧!
我知道了
右上角分享
点击右上角分享
0
联系我们:info@booksci.cn Book学术提供免费学术资源搜索服务,方便国内外学者检索中英文文献。致力于提供最便捷和优质的服务体验。 Copyright © 2023 布克学术 All rights reserved.
京ICP备2023020795号-1
ghs 京公网安备 11010802042870号
Book学术文献互助
Book学术文献互助群
群 号:604180095
Book学术官方微信