超流体He-II表面波浪产生量子涡的阈值

IF 1.3 4区 物理与天体物理 Q3 PHYSICS, MULTIDISCIPLINARY
P. G. Selin, I. A. Remizov, M. R. Sultanova, E. V. Lebedeva, A. A. Levchenko, L. P. Mezhov-Deglin
{"title":"超流体He-II表面波浪产生量子涡的阈值","authors":"P. G. Selin,&nbsp;I. A. Remizov,&nbsp;M. R. Sultanova,&nbsp;E. V. Lebedeva,&nbsp;A. A. Levchenko,&nbsp;L. P. Mezhov-Deglin","doi":"10.1134/S0021364025607651","DOIUrl":null,"url":null,"abstract":"<p>The features of the interaction of negative ions with quantum vortices in He-II cooled to the temperature <i>T</i> ≈ 1.5 K have been studied in the experiments on measuring the response of the current of charges under the surface of superfluid helium to the change in the amplitude <i>h</i> and frequency <i>f</i> of the waves generated on the surface by two mutually perpendicular wave makers. It has been found that not only classical gravity–capillary waves but also quantum vortices are generated in the volume of the liquid when the velocity of the flow of the liquid in a standing wave exceeds the threshold value <i>V</i><sub>thr</sub> ≈ 0.34 cm/s. When the He-II temperature drops below 1.7 K, these vortices can capture negative ions moving under the surface of the liquid, which are electron bubbles with a radius of about ~17 Å.</p>","PeriodicalId":604,"journal":{"name":"JETP Letters","volume":"122 3","pages":"178 - 183"},"PeriodicalIF":1.3000,"publicationDate":"2025-09-12","publicationTypes":"Journal Article","fieldsOfStudy":null,"isOpenAccess":false,"openAccessPdf":"","citationCount":"0","resultStr":"{\"title\":\"Threshold of Generation of Quantum Vortices by Waves on the Surface of Superfluid He-II\",\"authors\":\"P. G. Selin,&nbsp;I. A. Remizov,&nbsp;M. R. Sultanova,&nbsp;E. V. Lebedeva,&nbsp;A. A. Levchenko,&nbsp;L. P. Mezhov-Deglin\",\"doi\":\"10.1134/S0021364025607651\",\"DOIUrl\":null,\"url\":null,\"abstract\":\"<p>The features of the interaction of negative ions with quantum vortices in He-II cooled to the temperature <i>T</i> ≈ 1.5 K have been studied in the experiments on measuring the response of the current of charges under the surface of superfluid helium to the change in the amplitude <i>h</i> and frequency <i>f</i> of the waves generated on the surface by two mutually perpendicular wave makers. It has been found that not only classical gravity–capillary waves but also quantum vortices are generated in the volume of the liquid when the velocity of the flow of the liquid in a standing wave exceeds the threshold value <i>V</i><sub>thr</sub> ≈ 0.34 cm/s. When the He-II temperature drops below 1.7 K, these vortices can capture negative ions moving under the surface of the liquid, which are electron bubbles with a radius of about ~17 Å.</p>\",\"PeriodicalId\":604,\"journal\":{\"name\":\"JETP Letters\",\"volume\":\"122 3\",\"pages\":\"178 - 183\"},\"PeriodicalIF\":1.3000,\"publicationDate\":\"2025-09-12\",\"publicationTypes\":\"Journal Article\",\"fieldsOfStudy\":null,\"isOpenAccess\":false,\"openAccessPdf\":\"\",\"citationCount\":\"0\",\"resultStr\":null,\"platform\":\"Semanticscholar\",\"paperid\":null,\"PeriodicalName\":\"JETP Letters\",\"FirstCategoryId\":\"101\",\"ListUrlMain\":\"https://link.springer.com/article/10.1134/S0021364025607651\",\"RegionNum\":4,\"RegionCategory\":\"物理与天体物理\",\"ArticlePicture\":[],\"TitleCN\":null,\"AbstractTextCN\":null,\"PMCID\":null,\"EPubDate\":\"\",\"PubModel\":\"\",\"JCR\":\"Q3\",\"JCRName\":\"PHYSICS, MULTIDISCIPLINARY\",\"Score\":null,\"Total\":0}","platform":"Semanticscholar","paperid":null,"PeriodicalName":"JETP Letters","FirstCategoryId":"101","ListUrlMain":"https://link.springer.com/article/10.1134/S0021364025607651","RegionNum":4,"RegionCategory":"物理与天体物理","ArticlePicture":[],"TitleCN":null,"AbstractTextCN":null,"PMCID":null,"EPubDate":"","PubModel":"","JCR":"Q3","JCRName":"PHYSICS, MULTIDISCIPLINARY","Score":null,"Total":0}
引用次数: 0

摘要

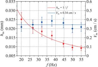
在测量超流氦表面下电荷电流对两个相互垂直的造波器在表面上产生的波的振幅h和频率f变化的响应实验中,研究了冷却至T≈1.5 K的He-II中负离子与量子涡相互作用的特征。研究发现,当驻波中液体的流动速度超过阈值Vthr≈0.34 cm/s时,在液体体积内不仅会产生经典重力-毛细波,而且会产生量子涡旋。当He-II温度降至1.7 K以下时,这些漩涡可以捕获在液体表面下移动的负离子,这些负离子是半径约为~17 Å的电子气泡。
本文章由计算机程序翻译,如有差异,请以英文原文为准。

Threshold of Generation of Quantum Vortices by Waves on the Surface of Superfluid He-II

Threshold of Generation of Quantum Vortices by Waves on the Surface of Superfluid He-II

Threshold of Generation of Quantum Vortices by Waves on the Surface of Superfluid He-II

The features of the interaction of negative ions with quantum vortices in He-II cooled to the temperature T ≈ 1.5 K have been studied in the experiments on measuring the response of the current of charges under the surface of superfluid helium to the change in the amplitude h and frequency f of the waves generated on the surface by two mutually perpendicular wave makers. It has been found that not only classical gravity–capillary waves but also quantum vortices are generated in the volume of the liquid when the velocity of the flow of the liquid in a standing wave exceeds the threshold value Vthr ≈ 0.34 cm/s. When the He-II temperature drops below 1.7 K, these vortices can capture negative ions moving under the surface of the liquid, which are electron bubbles with a radius of about ~17 Å.

求助全文
通过发布文献求助,成功后即可免费获取论文全文。 去求助
来源期刊
JETP Letters
JETP Letters 物理-物理:综合
CiteScore
2.40
自引率
30.80%
发文量
164
审稿时长
3-6 weeks
期刊介绍: All topics of experimental and theoretical physics including gravitation, field theory, elementary particles and nuclei, plasma, nonlinear phenomena, condensed matter, superconductivity, superfluidity, lasers, and surfaces.
×
引用
GB/T 7714-2015
复制
MLA
复制
APA
复制
导出至
BibTeX EndNote RefMan NoteFirst NoteExpress
×
提示
您的信息不完整,为了账户安全,请先补充。
现在去补充
×
提示
您因"违规操作"
具体请查看互助需知
我知道了
×
提示
确定
请完成安全验证×
copy
已复制链接
快去分享给好友吧!
我知道了
右上角分享
点击右上角分享
0
联系我们:info@booksci.cn Book学术提供免费学术资源搜索服务,方便国内外学者检索中英文文献。致力于提供最便捷和优质的服务体验。 Copyright © 2023 布克学术 All rights reserved.
京ICP备2023020795号-1
ghs 京公网安备 11010802042870号
Book学术文献互助
Book学术文献互助群
群 号:604180095
Book学术官方微信