探索植物提取物负载的聚合物纳米颗粒在高级伤口愈合中的治疗潜力:一个全面的综述

IF 2.9 4区 综合性期刊 Q2 MULTIDISCIPLINARY SCIENCES
Samar A. Salim, Tasneem Abed, Esraa B. Abdelazim, Noura G. Eissa, Mahmoud Elsabahy, Elbadawy A. Kamoun
{"title":"探索植物提取物负载的聚合物纳米颗粒在高级伤口愈合中的治疗潜力:一个全面的综述","authors":"Samar A. Salim,&nbsp;Tasneem Abed,&nbsp;Esraa B. Abdelazim,&nbsp;Noura G. Eissa,&nbsp;Mahmoud Elsabahy,&nbsp;Elbadawy A. Kamoun","doi":"10.1007/s13369-025-10247-1","DOIUrl":null,"url":null,"abstract":"<div><p>Wound healing is a complex biological process that can be hindered by factors such as infection, poor circulation, and chronic conditions. Traditional wound treatments often fall short in providing optimal healing environments and infection control. This review explores the innovative use of plant extract-loaded polymeric nanoparticles (PNPs) in wound care, highlighting their potential to revolutionize wound management. PNPs offer controlled and sustained delivery of therapeutic agents, enhanced antimicrobial properties, and improved wound-healing outcomes. Various types of PNPs, including nanospheres, nanocapsules, dendrimers, micelles, and hydrogels, are discussed for their unique properties and applications. The synthesis, characterization, and in vitro and in vivo evaluations of these nanoparticles are highlighted, emphasizing their efficacy in promoting faster re-epithelialization, angiogenesis, and collagen deposition. Additionally, the therapeutic potential of plant extracts, such as <i>Syzygium cumini</i>, <i>Tamarindus indica</i>, <i>Calendula officinalis</i>, Chamomile oil, and Neem, when encapsulated in nanoparticles, is evaluated for their wound-healing properties. Future research directions include optimizing nanoparticle formulations and conducting clinical trials to validate their safety and effectiveness. This review underscores the promise of plant extract-loaded PNPs in setting new standards in wound care, potentially improving patient outcomes and reducing healthcare costs associated with chronic wounds.</p><h3>Graphical Abstract</h3><div><figure><div><div><picture><source><img></source></picture></div></div></figure></div></div>","PeriodicalId":54354,"journal":{"name":"Arabian Journal for Science and Engineering","volume":"50 18","pages":"14351 - 14369"},"PeriodicalIF":2.9000,"publicationDate":"2025-05-13","publicationTypes":"Journal Article","fieldsOfStudy":null,"isOpenAccess":false,"openAccessPdf":"","citationCount":"0","resultStr":"{\"title\":\"Exploring the Therapeutic Potential of Plant Extract-Loaded Polymeric Nanoparticles for Advanced Wound Healing: A Comprehensive Review\",\"authors\":\"Samar A. Salim,&nbsp;Tasneem Abed,&nbsp;Esraa B. Abdelazim,&nbsp;Noura G. Eissa,&nbsp;Mahmoud Elsabahy,&nbsp;Elbadawy A. Kamoun\",\"doi\":\"10.1007/s13369-025-10247-1\",\"DOIUrl\":null,\"url\":null,\"abstract\":\"<div><p>Wound healing is a complex biological process that can be hindered by factors such as infection, poor circulation, and chronic conditions. Traditional wound treatments often fall short in providing optimal healing environments and infection control. This review explores the innovative use of plant extract-loaded polymeric nanoparticles (PNPs) in wound care, highlighting their potential to revolutionize wound management. PNPs offer controlled and sustained delivery of therapeutic agents, enhanced antimicrobial properties, and improved wound-healing outcomes. Various types of PNPs, including nanospheres, nanocapsules, dendrimers, micelles, and hydrogels, are discussed for their unique properties and applications. The synthesis, characterization, and in vitro and in vivo evaluations of these nanoparticles are highlighted, emphasizing their efficacy in promoting faster re-epithelialization, angiogenesis, and collagen deposition. Additionally, the therapeutic potential of plant extracts, such as <i>Syzygium cumini</i>, <i>Tamarindus indica</i>, <i>Calendula officinalis</i>, Chamomile oil, and Neem, when encapsulated in nanoparticles, is evaluated for their wound-healing properties. Future research directions include optimizing nanoparticle formulations and conducting clinical trials to validate their safety and effectiveness. This review underscores the promise of plant extract-loaded PNPs in setting new standards in wound care, potentially improving patient outcomes and reducing healthcare costs associated with chronic wounds.</p><h3>Graphical Abstract</h3><div><figure><div><div><picture><source><img></source></picture></div></div></figure></div></div>\",\"PeriodicalId\":54354,\"journal\":{\"name\":\"Arabian Journal for Science and Engineering\",\"volume\":\"50 18\",\"pages\":\"14351 - 14369\"},\"PeriodicalIF\":2.9000,\"publicationDate\":\"2025-05-13\",\"publicationTypes\":\"Journal Article\",\"fieldsOfStudy\":null,\"isOpenAccess\":false,\"openAccessPdf\":\"\",\"citationCount\":\"0\",\"resultStr\":null,\"platform\":\"Semanticscholar\",\"paperid\":null,\"PeriodicalName\":\"Arabian Journal for Science and Engineering\",\"FirstCategoryId\":\"103\",\"ListUrlMain\":\"https://link.springer.com/article/10.1007/s13369-025-10247-1\",\"RegionNum\":4,\"RegionCategory\":\"综合性期刊\",\"ArticlePicture\":[],\"TitleCN\":null,\"AbstractTextCN\":null,\"PMCID\":null,\"EPubDate\":\"\",\"PubModel\":\"\",\"JCR\":\"Q2\",\"JCRName\":\"MULTIDISCIPLINARY SCIENCES\",\"Score\":null,\"Total\":0}","platform":"Semanticscholar","paperid":null,"PeriodicalName":"Arabian Journal for Science and Engineering","FirstCategoryId":"103","ListUrlMain":"https://link.springer.com/article/10.1007/s13369-025-10247-1","RegionNum":4,"RegionCategory":"综合性期刊","ArticlePicture":[],"TitleCN":null,"AbstractTextCN":null,"PMCID":null,"EPubDate":"","PubModel":"","JCR":"Q2","JCRName":"MULTIDISCIPLINARY SCIENCES","Score":null,"Total":0}
引用次数: 0

摘要

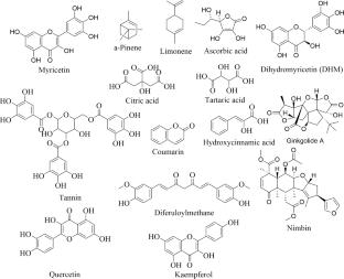
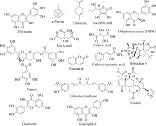
伤口愈合是一个复杂的生物过程,可能受到感染、血液循环不良和慢性疾病等因素的阻碍。传统的伤口治疗往往不能提供最佳的愈合环境和感染控制。这篇综述探讨了植物提取物负载聚合物纳米颗粒(PNPs)在伤口护理中的创新应用,强调了它们在伤口管理方面的革命性潜力。PNPs提供可控和持续的治疗药物递送,增强抗菌性能,改善伤口愈合结果。各种类型的PNPs,包括纳米球、纳米胶囊、树状大分子、胶束和水凝胶,讨论了它们独特的性质和应用。重点介绍了这些纳米颗粒的合成、表征以及体外和体内评价,强调了它们在促进更快的再上皮化、血管生成和胶原沉积方面的功效。此外,植物提取物的治疗潜力,如丁香、柽柳、金盏花、洋甘菊油和楝树,当被包裹在纳米颗粒中时,评估了它们的伤口愈合特性。未来的研究方向包括优化纳米颗粒配方和进行临床试验以验证其安全性和有效性。这篇综述强调了植物提取物负载PNPs在伤口护理中树立新标准,潜在地改善患者预后并降低与慢性伤口相关的医疗费用方面的前景。图形抽象
本文章由计算机程序翻译,如有差异,请以英文原文为准。

Exploring the Therapeutic Potential of Plant Extract-Loaded Polymeric Nanoparticles for Advanced Wound Healing: A Comprehensive Review

Exploring the Therapeutic Potential of Plant Extract-Loaded Polymeric Nanoparticles for Advanced Wound Healing: A Comprehensive Review

Exploring the Therapeutic Potential of Plant Extract-Loaded Polymeric Nanoparticles for Advanced Wound Healing: A Comprehensive Review

Wound healing is a complex biological process that can be hindered by factors such as infection, poor circulation, and chronic conditions. Traditional wound treatments often fall short in providing optimal healing environments and infection control. This review explores the innovative use of plant extract-loaded polymeric nanoparticles (PNPs) in wound care, highlighting their potential to revolutionize wound management. PNPs offer controlled and sustained delivery of therapeutic agents, enhanced antimicrobial properties, and improved wound-healing outcomes. Various types of PNPs, including nanospheres, nanocapsules, dendrimers, micelles, and hydrogels, are discussed for their unique properties and applications. The synthesis, characterization, and in vitro and in vivo evaluations of these nanoparticles are highlighted, emphasizing their efficacy in promoting faster re-epithelialization, angiogenesis, and collagen deposition. Additionally, the therapeutic potential of plant extracts, such as Syzygium cumini, Tamarindus indica, Calendula officinalis, Chamomile oil, and Neem, when encapsulated in nanoparticles, is evaluated for their wound-healing properties. Future research directions include optimizing nanoparticle formulations and conducting clinical trials to validate their safety and effectiveness. This review underscores the promise of plant extract-loaded PNPs in setting new standards in wound care, potentially improving patient outcomes and reducing healthcare costs associated with chronic wounds.

Graphical Abstract

求助全文
通过发布文献求助,成功后即可免费获取论文全文。 去求助
来源期刊
Arabian Journal for Science and Engineering
Arabian Journal for Science and Engineering MULTIDISCIPLINARY SCIENCES-
CiteScore
5.70
自引率
3.40%
发文量
993
期刊介绍: King Fahd University of Petroleum & Minerals (KFUPM) partnered with Springer to publish the Arabian Journal for Science and Engineering (AJSE). AJSE, which has been published by KFUPM since 1975, is a recognized national, regional and international journal that provides a great opportunity for the dissemination of research advances from the Kingdom of Saudi Arabia, MENA and the world.
×
引用
GB/T 7714-2015
复制
MLA
复制
APA
复制
导出至
BibTeX EndNote RefMan NoteFirst NoteExpress
×
提示
您的信息不完整,为了账户安全,请先补充。
现在去补充
×
提示
您因"违规操作"
具体请查看互助需知
我知道了
×
提示
确定
请完成安全验证×
copy
已复制链接
快去分享给好友吧!
我知道了
右上角分享
点击右上角分享
0
联系我们:info@booksci.cn Book学术提供免费学术资源搜索服务,方便国内外学者检索中英文文献。致力于提供最便捷和优质的服务体验。 Copyright © 2023 布克学术 All rights reserved.
京ICP备2023020795号-1
ghs 京公网安备 11010802042870号
Book学术文献互助
Book学术文献互助群
群 号:604180095
Book学术官方微信