GERAADA评分在预测主动脉夹层手术修复术后长期生存中的应用。

0 CARDIAC & CARDIOVASCULAR SYSTEMS
Francesco Pollari, Paolo Nardi, Elisa Mikus, Francesco Ferraro, Marco Gemelli, Ilaria Franzese, Ilaria Chirichilli, Claudia Romagnoni, Giuseppe Santarpino, Salvatore Nicolardi, Roberto Scrofani, Federico Ranocchi, Enzo Mazzaro, Gino Gerosa, Massimo Massetti, Carlo Savini, Giovanni Ruvolo, Luca Di Marco, Oriana D'Ecclesiis, Emma Guagneli, Giorgia Duranti, Alessandro Parolari, Fabio Barili
{"title":"GERAADA评分在预测主动脉夹层手术修复术后长期生存中的应用。","authors":"Francesco Pollari, Paolo Nardi, Elisa Mikus, Francesco Ferraro, Marco Gemelli, Ilaria Franzese, Ilaria Chirichilli, Claudia Romagnoni, Giuseppe Santarpino, Salvatore Nicolardi, Roberto Scrofani, Federico Ranocchi, Enzo Mazzaro, Gino Gerosa, Massimo Massetti, Carlo Savini, Giovanni Ruvolo, Luca Di Marco, Oriana D'Ecclesiis, Emma Guagneli, Giorgia Duranti, Alessandro Parolari, Fabio Barili","doi":"10.1093/icvts/ivaf160","DOIUrl":null,"url":null,"abstract":"<p><strong>Objectives: </strong>We aimed to assess the long-term survival following surgical repair because of acute type A aortic dissection (ATAAD) and the correlation with the preoperative GERAADA (German Registry for Acute Type A Aortic Dissection)-score value.</p><p><strong>Methods: </strong>We enrolled patients who underwent emergent aortic surgery because of ATAAD from 2010 to 2022 from 9 hospitals. Follow-up information was obtained by matching the clinical patient data with a national administrative database. Discrimination and calibration of GERAADA were tested at 1, 2, 5, and 10 years. The relationship between long-term outcome and score was also tested through time-to-event methods.</p><p><strong>Results: </strong>A total of 1110 patients were analysed: Median age was 67 years [IQR 57-75], and 30.8% of subjects were female. Median GERAADA score was 14.3% [10.2-22]. Mean length of follow-up was 4.19 years. The Kaplan-Meier estimates of survival at 5 and 10 years were, respectively, 62.5% ± 1.5%, and 48.5% ± 2.1%. Discrimination was poor but remained stable over the time (area under the curve [AUC] at 1-year follow-up: 0.66; 95% CI 0.63-0.70. AUC at 10-year follow-up: 0.64; 95% CI 0.61-0.68). Calibration plots showed underprediction until 50%-predicted probability and progressive overprediction afterward. There is a steep mortality in the first couple of months after surgery while afterward the mortality rate is constantly lower. GERAADA score was found to be a predictor of long-term mortality with a nonlinear association.</p><p><strong>Conclusions: </strong>GERAADA score showed a poor performance in predicting long-term survival.</p>","PeriodicalId":73406,"journal":{"name":"Interdisciplinary cardiovascular and thoracic surgery","volume":" ","pages":""},"PeriodicalIF":0.0000,"publicationDate":"2025-09-02","publicationTypes":"Journal Article","fieldsOfStudy":null,"isOpenAccess":false,"openAccessPdf":"https://www.ncbi.nlm.nih.gov/pmc/articles/PMC12448939/pdf/","citationCount":"0","resultStr":"{\"title\":\"Utility of GERAADA Score for Predicting Long-term Survival Following Surgical Repair of Aortic Dissection.\",\"authors\":\"Francesco Pollari, Paolo Nardi, Elisa Mikus, Francesco Ferraro, Marco Gemelli, Ilaria Franzese, Ilaria Chirichilli, Claudia Romagnoni, Giuseppe Santarpino, Salvatore Nicolardi, Roberto Scrofani, Federico Ranocchi, Enzo Mazzaro, Gino Gerosa, Massimo Massetti, Carlo Savini, Giovanni Ruvolo, Luca Di Marco, Oriana D'Ecclesiis, Emma Guagneli, Giorgia Duranti, Alessandro Parolari, Fabio Barili\",\"doi\":\"10.1093/icvts/ivaf160\",\"DOIUrl\":null,\"url\":null,\"abstract\":\"<p><strong>Objectives: </strong>We aimed to assess the long-term survival following surgical repair because of acute type A aortic dissection (ATAAD) and the correlation with the preoperative GERAADA (German Registry for Acute Type A Aortic Dissection)-score value.</p><p><strong>Methods: </strong>We enrolled patients who underwent emergent aortic surgery because of ATAAD from 2010 to 2022 from 9 hospitals. Follow-up information was obtained by matching the clinical patient data with a national administrative database. Discrimination and calibration of GERAADA were tested at 1, 2, 5, and 10 years. The relationship between long-term outcome and score was also tested through time-to-event methods.</p><p><strong>Results: </strong>A total of 1110 patients were analysed: Median age was 67 years [IQR 57-75], and 30.8% of subjects were female. Median GERAADA score was 14.3% [10.2-22]. Mean length of follow-up was 4.19 years. The Kaplan-Meier estimates of survival at 5 and 10 years were, respectively, 62.5% ± 1.5%, and 48.5% ± 2.1%. Discrimination was poor but remained stable over the time (area under the curve [AUC] at 1-year follow-up: 0.66; 95% CI 0.63-0.70. AUC at 10-year follow-up: 0.64; 95% CI 0.61-0.68). Calibration plots showed underprediction until 50%-predicted probability and progressive overprediction afterward. There is a steep mortality in the first couple of months after surgery while afterward the mortality rate is constantly lower. GERAADA score was found to be a predictor of long-term mortality with a nonlinear association.</p><p><strong>Conclusions: </strong>GERAADA score showed a poor performance in predicting long-term survival.</p>\",\"PeriodicalId\":73406,\"journal\":{\"name\":\"Interdisciplinary cardiovascular and thoracic surgery\",\"volume\":\" \",\"pages\":\"\"},\"PeriodicalIF\":0.0000,\"publicationDate\":\"2025-09-02\",\"publicationTypes\":\"Journal Article\",\"fieldsOfStudy\":null,\"isOpenAccess\":false,\"openAccessPdf\":\"https://www.ncbi.nlm.nih.gov/pmc/articles/PMC12448939/pdf/\",\"citationCount\":\"0\",\"resultStr\":null,\"platform\":\"Semanticscholar\",\"paperid\":null,\"PeriodicalName\":\"Interdisciplinary cardiovascular and thoracic surgery\",\"FirstCategoryId\":\"1085\",\"ListUrlMain\":\"https://doi.org/10.1093/icvts/ivaf160\",\"RegionNum\":0,\"RegionCategory\":null,\"ArticlePicture\":[],\"TitleCN\":null,\"AbstractTextCN\":null,\"PMCID\":null,\"EPubDate\":\"\",\"PubModel\":\"\",\"JCR\":\"0\",\"JCRName\":\"CARDIAC & CARDIOVASCULAR SYSTEMS\",\"Score\":null,\"Total\":0}","platform":"Semanticscholar","paperid":null,"PeriodicalName":"Interdisciplinary cardiovascular and thoracic surgery","FirstCategoryId":"1085","ListUrlMain":"https://doi.org/10.1093/icvts/ivaf160","RegionNum":0,"RegionCategory":null,"ArticlePicture":[],"TitleCN":null,"AbstractTextCN":null,"PMCID":null,"EPubDate":"","PubModel":"","JCR":"0","JCRName":"CARDIAC & CARDIOVASCULAR SYSTEMS","Score":null,"Total":0}
引用次数: 0

摘要

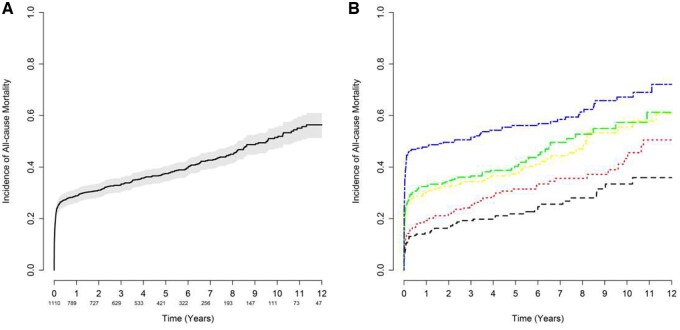
目的:评估A型主动脉夹层(ATAAD)手术修复后的长期生存率及其与术前geraada评分值的相关性。方法:我们纳入了2010年至2022年9家医院因ATAAD接受紧急主动脉手术的患者。通过将临床患者数据与国家管理数据库相匹配,获得随访信息。分别在1年、2年、5年和10年对GERAADA进行判别和校准。长期结果与得分之间的关系也通过时间-事件方法进行了测试。结果:共分析1110例患者,中位年龄67岁[IQR 57 ~ 75],女性占30.8%。GERAADA评分中位数为14.3%[10.2-22]。平均随访时间为4.19年。Kaplan-Meier估计5年和10年生存率分别为62.5%±1.5%和48.5%±2.1%。辨别力较差,但随着时间的推移保持稳定(1年随访时AUC: 0.66; 95% CI 0.63-0.70)。10年随访时AUC: 0.64;95% ci 0.61-0.68)。校正图显示预测不足,直到50%的预测概率,之后逐渐过度预测。手术后的头几个月死亡率很高,而手术后的死亡率则不断降低。发现geraada评分是长期死亡率的非线性预测因子。结论:GERAADA评分在预测长期生存方面表现不佳。
本文章由计算机程序翻译,如有差异,请以英文原文为准。

Utility of GERAADA Score for Predicting Long-term Survival Following Surgical Repair of Aortic Dissection.

Utility of GERAADA Score for Predicting Long-term Survival Following Surgical Repair of Aortic Dissection.

Utility of GERAADA Score for Predicting Long-term Survival Following Surgical Repair of Aortic Dissection.

Utility of GERAADA Score for Predicting Long-term Survival Following Surgical Repair of Aortic Dissection.

Objectives: We aimed to assess the long-term survival following surgical repair because of acute type A aortic dissection (ATAAD) and the correlation with the preoperative GERAADA (German Registry for Acute Type A Aortic Dissection)-score value.

Methods: We enrolled patients who underwent emergent aortic surgery because of ATAAD from 2010 to 2022 from 9 hospitals. Follow-up information was obtained by matching the clinical patient data with a national administrative database. Discrimination and calibration of GERAADA were tested at 1, 2, 5, and 10 years. The relationship between long-term outcome and score was also tested through time-to-event methods.

Results: A total of 1110 patients were analysed: Median age was 67 years [IQR 57-75], and 30.8% of subjects were female. Median GERAADA score was 14.3% [10.2-22]. Mean length of follow-up was 4.19 years. The Kaplan-Meier estimates of survival at 5 and 10 years were, respectively, 62.5% ± 1.5%, and 48.5% ± 2.1%. Discrimination was poor but remained stable over the time (area under the curve [AUC] at 1-year follow-up: 0.66; 95% CI 0.63-0.70. AUC at 10-year follow-up: 0.64; 95% CI 0.61-0.68). Calibration plots showed underprediction until 50%-predicted probability and progressive overprediction afterward. There is a steep mortality in the first couple of months after surgery while afterward the mortality rate is constantly lower. GERAADA score was found to be a predictor of long-term mortality with a nonlinear association.

Conclusions: GERAADA score showed a poor performance in predicting long-term survival.

求助全文
通过发布文献求助,成功后即可免费获取论文全文。 去求助
来源期刊
自引率
0.00%
发文量
0
×
引用
GB/T 7714-2015
复制
MLA
复制
APA
复制
导出至
BibTeX EndNote RefMan NoteFirst NoteExpress
×
提示
您的信息不完整,为了账户安全,请先补充。
现在去补充
×
提示
您因"违规操作"
具体请查看互助需知
我知道了
×
提示
确定
请完成安全验证×
copy
已复制链接
快去分享给好友吧!
我知道了
右上角分享
点击右上角分享
0
联系我们:info@booksci.cn Book学术提供免费学术资源搜索服务,方便国内外学者检索中英文文献。致力于提供最便捷和优质的服务体验。 Copyright © 2023 布克学术 All rights reserved.
京ICP备2023020795号-1
ghs 京公网安备 11010802042870号
Book学术文献互助
Book学术文献互助群
群 号:604180095
Book学术官方微信