近似数系、数线估计和工作记忆对学龄前和小学数学技能的差异贡献。

IF 2.3 3区 心理学 Q2 PSYCHOLOGY, EXPERIMENTAL
Vroni Hischa, Korbinian Moeller, Katja Seitz-Stein, Frank Niklas
{"title":"近似数系、数线估计和工作记忆对学龄前和小学数学技能的差异贡献。","authors":"Vroni Hischa, Korbinian Moeller, Katja Seitz-Stein, Frank Niklas","doi":"10.1007/s00426-025-02144-x","DOIUrl":null,"url":null,"abstract":"<p><p>Early mathematical skills predict later mathematical skills and general school achievement. The approximate number system (ANS), number line estimation, and working memory (WM) were found to be important predictors of the development of mathematical skills. However, studies specifying contributions of ANS, number line estimation, and WM at developmental levels are scarce. Therefore, the current study aimed to evaluate differential contributions of ANS, number line estimation, and WM to mathematical skills in preschool and primary school children. German preschool (N = 68, M = 6 years) and primary school children (N = 66, M = 9 years 1 month) completed an age-appropriate test for mathematical skills, a non-symbolic comparison task, a number line estimation task, WM span tasks, and a nonverbal intelligence task. Results indicated that ANS accuracy, number line estimation performance, and WM capacity were significant predictors for mathematical skills in both groups when controlled for influences of sex and nonverbal intelligence. Importantly, we also observed that only number line estimation performance contributed differentially to mathematical skills as it was a significantly stronger predictor in primary school children as compared to preschool children. In sum, these results suggest that the start of formal instruction on symbolic numerical representations in primary school is reflected in the contribution of related task performance to overall mathematics. To extend current findings, future studies may focus on differentiating age groups in a more fine-grained way to evaluate developmental trajectories of specific contributions of cognitive variables.</p>","PeriodicalId":48184,"journal":{"name":"Psychological Research-Psychologische Forschung","volume":"89 5","pages":"142"},"PeriodicalIF":2.3000,"publicationDate":"2025-09-11","publicationTypes":"Journal Article","fieldsOfStudy":null,"isOpenAccess":false,"openAccessPdf":"https://www.ncbi.nlm.nih.gov/pmc/articles/PMC12426096/pdf/","citationCount":"0","resultStr":"{\"title\":\"Differential contributions of approximate number system, number line estimation, and working memory to mathematical skills in preschool and primary school.\",\"authors\":\"Vroni Hischa, Korbinian Moeller, Katja Seitz-Stein, Frank Niklas\",\"doi\":\"10.1007/s00426-025-02144-x\",\"DOIUrl\":null,\"url\":null,\"abstract\":\"<p><p>Early mathematical skills predict later mathematical skills and general school achievement. The approximate number system (ANS), number line estimation, and working memory (WM) were found to be important predictors of the development of mathematical skills. However, studies specifying contributions of ANS, number line estimation, and WM at developmental levels are scarce. Therefore, the current study aimed to evaluate differential contributions of ANS, number line estimation, and WM to mathematical skills in preschool and primary school children. German preschool (N = 68, M = 6 years) and primary school children (N = 66, M = 9 years 1 month) completed an age-appropriate test for mathematical skills, a non-symbolic comparison task, a number line estimation task, WM span tasks, and a nonverbal intelligence task. Results indicated that ANS accuracy, number line estimation performance, and WM capacity were significant predictors for mathematical skills in both groups when controlled for influences of sex and nonverbal intelligence. Importantly, we also observed that only number line estimation performance contributed differentially to mathematical skills as it was a significantly stronger predictor in primary school children as compared to preschool children. In sum, these results suggest that the start of formal instruction on symbolic numerical representations in primary school is reflected in the contribution of related task performance to overall mathematics. To extend current findings, future studies may focus on differentiating age groups in a more fine-grained way to evaluate developmental trajectories of specific contributions of cognitive variables.</p>\",\"PeriodicalId\":48184,\"journal\":{\"name\":\"Psychological Research-Psychologische Forschung\",\"volume\":\"89 5\",\"pages\":\"142\"},\"PeriodicalIF\":2.3000,\"publicationDate\":\"2025-09-11\",\"publicationTypes\":\"Journal Article\",\"fieldsOfStudy\":null,\"isOpenAccess\":false,\"openAccessPdf\":\"https://www.ncbi.nlm.nih.gov/pmc/articles/PMC12426096/pdf/\",\"citationCount\":\"0\",\"resultStr\":null,\"platform\":\"Semanticscholar\",\"paperid\":null,\"PeriodicalName\":\"Psychological Research-Psychologische Forschung\",\"FirstCategoryId\":\"102\",\"ListUrlMain\":\"https://doi.org/10.1007/s00426-025-02144-x\",\"RegionNum\":3,\"RegionCategory\":\"心理学\",\"ArticlePicture\":[],\"TitleCN\":null,\"AbstractTextCN\":null,\"PMCID\":null,\"EPubDate\":\"\",\"PubModel\":\"\",\"JCR\":\"Q2\",\"JCRName\":\"PSYCHOLOGY, EXPERIMENTAL\",\"Score\":null,\"Total\":0}","platform":"Semanticscholar","paperid":null,"PeriodicalName":"Psychological Research-Psychologische Forschung","FirstCategoryId":"102","ListUrlMain":"https://doi.org/10.1007/s00426-025-02144-x","RegionNum":3,"RegionCategory":"心理学","ArticlePicture":[],"TitleCN":null,"AbstractTextCN":null,"PMCID":null,"EPubDate":"","PubModel":"","JCR":"Q2","JCRName":"PSYCHOLOGY, EXPERIMENTAL","Score":null,"Total":0}
引用次数: 0

摘要

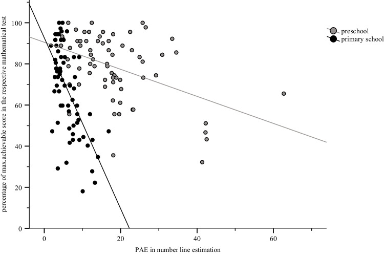
早期的数学技能预示着以后的数学技能和一般的学校成绩。近似数字系统(ANS)、数线估计和工作记忆(WM)被发现是数学技能发展的重要预测因子。然而,在发展水平上明确ANS、数线估计和WM的贡献的研究很少。因此,本研究旨在评估ANS、数线估计和WM对学龄前和小学生数学技能的不同贡献。德国学龄前儿童(N = 68, M = 6岁)和小学生(N = 66, M = 9岁1个月)完成了与年龄相适应的数学技能测试、非符号比较任务、数轴估计任务、WM广度任务和非语言智力任务。结果表明,在控制了性别和非语言智力的影响后,ANS准确性、数线估计性能和WM能力是两组数学技能的显著预测因子。重要的是,我们还观察到,只有数轴估计表现对数学技能的贡献是不同的,因为与学龄前儿童相比,它在小学生中是一个显著更强的预测因子。综上所述,这些结果表明,符号数值表示的正式教学在小学的开始反映在相关任务表现对整体数学的贡献上。为了扩展目前的发现,未来的研究可能会集中在以更细致的方式区分年龄组,以评估认知变量的特定贡献的发展轨迹。
本文章由计算机程序翻译,如有差异,请以英文原文为准。

Differential contributions of approximate number system, number line estimation, and working memory to mathematical skills in preschool and primary school.

Differential contributions of approximate number system, number line estimation, and working memory to mathematical skills in preschool and primary school.

Differential contributions of approximate number system, number line estimation, and working memory to mathematical skills in preschool and primary school.

Early mathematical skills predict later mathematical skills and general school achievement. The approximate number system (ANS), number line estimation, and working memory (WM) were found to be important predictors of the development of mathematical skills. However, studies specifying contributions of ANS, number line estimation, and WM at developmental levels are scarce. Therefore, the current study aimed to evaluate differential contributions of ANS, number line estimation, and WM to mathematical skills in preschool and primary school children. German preschool (N = 68, M = 6 years) and primary school children (N = 66, M = 9 years 1 month) completed an age-appropriate test for mathematical skills, a non-symbolic comparison task, a number line estimation task, WM span tasks, and a nonverbal intelligence task. Results indicated that ANS accuracy, number line estimation performance, and WM capacity were significant predictors for mathematical skills in both groups when controlled for influences of sex and nonverbal intelligence. Importantly, we also observed that only number line estimation performance contributed differentially to mathematical skills as it was a significantly stronger predictor in primary school children as compared to preschool children. In sum, these results suggest that the start of formal instruction on symbolic numerical representations in primary school is reflected in the contribution of related task performance to overall mathematics. To extend current findings, future studies may focus on differentiating age groups in a more fine-grained way to evaluate developmental trajectories of specific contributions of cognitive variables.

求助全文
通过发布文献求助,成功后即可免费获取论文全文。 去求助
来源期刊
CiteScore
5.10
自引率
8.70%
发文量
137
期刊介绍: Psychological Research/Psychologische Forschung publishes articles that contribute to a basic understanding of human perception, attention, memory, and action. The Journal is devoted to the dissemination of knowledge based on firm experimental ground, but not to particular approaches or schools of thought. Theoretical and historical papers are welcome to the extent that they serve this general purpose; papers of an applied nature are acceptable if they contribute to basic understanding or serve to bridge the often felt gap between basic and applied research in the field covered by the Journal.
×
引用
GB/T 7714-2015
复制
MLA
复制
APA
复制
导出至
BibTeX EndNote RefMan NoteFirst NoteExpress
×
提示
您的信息不完整,为了账户安全,请先补充。
现在去补充
×
提示
您因"违规操作"
具体请查看互助需知
我知道了
×
提示
确定
请完成安全验证×
copy
已复制链接
快去分享给好友吧!
我知道了
右上角分享
点击右上角分享
0
联系我们:info@booksci.cn Book学术提供免费学术资源搜索服务,方便国内外学者检索中英文文献。致力于提供最便捷和优质的服务体验。 Copyright © 2023 布克学术 All rights reserved.
京ICP备2023020795号-1
ghs 京公网安备 11010802042870号
Book学术文献互助
Book学术文献互助群
群 号:604180095
Book学术官方微信