无代码机器学习检测常见眼科疾病。

IF 2.6 3区 医学 Q2 OPHTHALMOLOGY
Trevor Lin, Theodore Leng
{"title":"无代码机器学习检测常见眼科疾病。","authors":"Trevor Lin, Theodore Leng","doi":"10.1167/tvst.14.9.16","DOIUrl":null,"url":null,"abstract":"<p><strong>Purpose: </strong>We explore a code-free method enabling physicians without programming experience to develop machine learning (ML) models for detecting diabetic retinopathy (DR), age-related macular degeneration (AMD), and glaucoma from fundus photographs.</p><p><strong>Methods: </strong>Two classification models were developed using Google Vertex AI's no-code AutoML Vision platform: a binary model detecting any pathology and a multi-class model classifying specific diseases. The development dataset consisted of 800 fundus photography images (200 each of DR, AMD, glaucoma, and normal) from the publicly available Fundus Image dataset for Vessel Segmentation. Ten percent of the dataset was saved for testing and 10% for internal validation. External validation was performed using the Eye Disease Diagnosis and Fundus Synthesis dataset, from which 100 single-diagnosis images per class were randomly selected (total N = 400). Model performances were evaluated using area under the precision-recall curve (AUPRC), precision, recall, accuracy, F1 score, and confidence score analysis.</p><p><strong>Results: </strong>Internally, the binary model yielded an AUPRC of 0.967, with 95.0% precision and recall. The multi-class model had an AUPRC of 0.906, with 91.0% precision and 90.0% recall. On external validation, the binary model reached 92.3% accuracy, whereas the multi-class model achieved 90% overall accuracy.</p><p><strong>Conclusions: </strong>Code-free ML approaches can enable physicians to create ML models for retinal disease detection without requiring programming expertise, supporting early detection of eye diseases.</p><p><strong>Translational relevance: </strong>This work bridges the gap between AI research and clinical deployment by demonstrating that physicians can independently build ML models using accessible, no-code tools.</p>","PeriodicalId":23322,"journal":{"name":"Translational Vision Science & Technology","volume":"14 9","pages":"16"},"PeriodicalIF":2.6000,"publicationDate":"2025-09-02","publicationTypes":"Journal Article","fieldsOfStudy":null,"isOpenAccess":false,"openAccessPdf":"https://www.ncbi.nlm.nih.gov/pmc/articles/PMC12439502/pdf/","citationCount":"0","resultStr":"{\"title\":\"Code-Free Machine Learning for the Detection of Common Ophthalmic Diseases.\",\"authors\":\"Trevor Lin, Theodore Leng\",\"doi\":\"10.1167/tvst.14.9.16\",\"DOIUrl\":null,\"url\":null,\"abstract\":\"<p><strong>Purpose: </strong>We explore a code-free method enabling physicians without programming experience to develop machine learning (ML) models for detecting diabetic retinopathy (DR), age-related macular degeneration (AMD), and glaucoma from fundus photographs.</p><p><strong>Methods: </strong>Two classification models were developed using Google Vertex AI's no-code AutoML Vision platform: a binary model detecting any pathology and a multi-class model classifying specific diseases. The development dataset consisted of 800 fundus photography images (200 each of DR, AMD, glaucoma, and normal) from the publicly available Fundus Image dataset for Vessel Segmentation. Ten percent of the dataset was saved for testing and 10% for internal validation. External validation was performed using the Eye Disease Diagnosis and Fundus Synthesis dataset, from which 100 single-diagnosis images per class were randomly selected (total N = 400). Model performances were evaluated using area under the precision-recall curve (AUPRC), precision, recall, accuracy, F1 score, and confidence score analysis.</p><p><strong>Results: </strong>Internally, the binary model yielded an AUPRC of 0.967, with 95.0% precision and recall. The multi-class model had an AUPRC of 0.906, with 91.0% precision and 90.0% recall. On external validation, the binary model reached 92.3% accuracy, whereas the multi-class model achieved 90% overall accuracy.</p><p><strong>Conclusions: </strong>Code-free ML approaches can enable physicians to create ML models for retinal disease detection without requiring programming expertise, supporting early detection of eye diseases.</p><p><strong>Translational relevance: </strong>This work bridges the gap between AI research and clinical deployment by demonstrating that physicians can independently build ML models using accessible, no-code tools.</p>\",\"PeriodicalId\":23322,\"journal\":{\"name\":\"Translational Vision Science & Technology\",\"volume\":\"14 9\",\"pages\":\"16\"},\"PeriodicalIF\":2.6000,\"publicationDate\":\"2025-09-02\",\"publicationTypes\":\"Journal Article\",\"fieldsOfStudy\":null,\"isOpenAccess\":false,\"openAccessPdf\":\"https://www.ncbi.nlm.nih.gov/pmc/articles/PMC12439502/pdf/\",\"citationCount\":\"0\",\"resultStr\":null,\"platform\":\"Semanticscholar\",\"paperid\":null,\"PeriodicalName\":\"Translational Vision Science & Technology\",\"FirstCategoryId\":\"3\",\"ListUrlMain\":\"https://doi.org/10.1167/tvst.14.9.16\",\"RegionNum\":3,\"RegionCategory\":\"医学\",\"ArticlePicture\":[],\"TitleCN\":null,\"AbstractTextCN\":null,\"PMCID\":null,\"EPubDate\":\"\",\"PubModel\":\"\",\"JCR\":\"Q2\",\"JCRName\":\"OPHTHALMOLOGY\",\"Score\":null,\"Total\":0}","platform":"Semanticscholar","paperid":null,"PeriodicalName":"Translational Vision Science & Technology","FirstCategoryId":"3","ListUrlMain":"https://doi.org/10.1167/tvst.14.9.16","RegionNum":3,"RegionCategory":"医学","ArticlePicture":[],"TitleCN":null,"AbstractTextCN":null,"PMCID":null,"EPubDate":"","PubModel":"","JCR":"Q2","JCRName":"OPHTHALMOLOGY","Score":null,"Total":0}
引用次数: 0

摘要

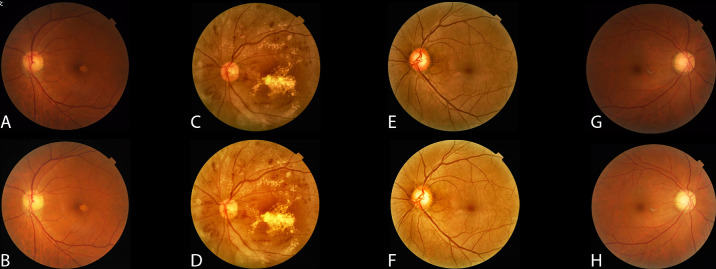
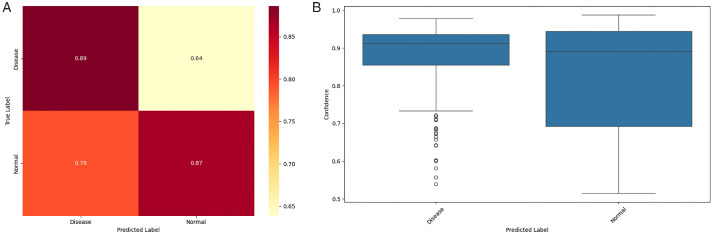
目的:我们探索一种无代码方法,使没有编程经验的医生能够开发机器学习(ML)模型,用于从眼底照片中检测糖尿病视网膜病变(DR)、年龄相关性黄斑变性(AMD)和青光眼。方法:利用谷歌Vertex AI的无代码AutoML Vision平台建立两种分类模型:一种是检测任何病理的二元模型,另一种是对特定疾病进行分类的多类别模型。开发数据集由800张眼底摄影图像(DR、AMD、青光眼和正常各200张)组成,这些图像来自于用于血管分割的公开眼底图像数据集。10%的数据集用于测试,10%用于内部验证。使用眼病诊断和眼底合成数据集进行外部验证,从每个类别随机选择100张单诊断图像(总N = 400)。采用精确度-召回率曲线下面积(AUPRC)、精密度、召回率、准确率、F1评分和置信度评分分析来评价模型的性能。结果:内部二元模型的AUPRC为0.967,准确率和召回率为95.0%。多类模型的AUPRC为0.906,准确率为91.0%,召回率为90.0%。在外部验证中,二元模型的准确率达到92.3%,而多类模型的总体准确率达到90%。结论:无代码机器学习方法可以使医生在不需要编程专业知识的情况下创建用于视网膜疾病检测的机器学习模型,从而支持眼部疾病的早期检测。翻译相关性:这项工作通过证明医生可以使用可访问的无代码工具独立构建ML模型,弥合了人工智能研究和临床部署之间的差距。
本文章由计算机程序翻译,如有差异,请以英文原文为准。

Code-Free Machine Learning for the Detection of Common Ophthalmic Diseases.

Code-Free Machine Learning for the Detection of Common Ophthalmic Diseases.

Code-Free Machine Learning for the Detection of Common Ophthalmic Diseases.

Code-Free Machine Learning for the Detection of Common Ophthalmic Diseases.

Purpose: We explore a code-free method enabling physicians without programming experience to develop machine learning (ML) models for detecting diabetic retinopathy (DR), age-related macular degeneration (AMD), and glaucoma from fundus photographs.

Methods: Two classification models were developed using Google Vertex AI's no-code AutoML Vision platform: a binary model detecting any pathology and a multi-class model classifying specific diseases. The development dataset consisted of 800 fundus photography images (200 each of DR, AMD, glaucoma, and normal) from the publicly available Fundus Image dataset for Vessel Segmentation. Ten percent of the dataset was saved for testing and 10% for internal validation. External validation was performed using the Eye Disease Diagnosis and Fundus Synthesis dataset, from which 100 single-diagnosis images per class were randomly selected (total N = 400). Model performances were evaluated using area under the precision-recall curve (AUPRC), precision, recall, accuracy, F1 score, and confidence score analysis.

Results: Internally, the binary model yielded an AUPRC of 0.967, with 95.0% precision and recall. The multi-class model had an AUPRC of 0.906, with 91.0% precision and 90.0% recall. On external validation, the binary model reached 92.3% accuracy, whereas the multi-class model achieved 90% overall accuracy.

Conclusions: Code-free ML approaches can enable physicians to create ML models for retinal disease detection without requiring programming expertise, supporting early detection of eye diseases.

Translational relevance: This work bridges the gap between AI research and clinical deployment by demonstrating that physicians can independently build ML models using accessible, no-code tools.

求助全文
通过发布文献求助,成功后即可免费获取论文全文。 去求助
来源期刊
Translational Vision Science & Technology
Translational Vision Science & Technology Engineering-Biomedical Engineering
CiteScore
5.70
自引率
3.30%
发文量
346
审稿时长
25 weeks
期刊介绍: Translational Vision Science & Technology (TVST), an official journal of the Association for Research in Vision and Ophthalmology (ARVO), an international organization whose purpose is to advance research worldwide into understanding the visual system and preventing, treating and curing its disorders, is an online, open access, peer-reviewed journal emphasizing multidisciplinary research that bridges the gap between basic research and clinical care. A highly qualified and diverse group of Associate Editors and Editorial Board Members is led by Editor-in-Chief Marco Zarbin, MD, PhD, FARVO. The journal covers a broad spectrum of work, including but not limited to: Applications of stem cell technology for regenerative medicine, Development of new animal models of human diseases, Tissue bioengineering, Chemical engineering to improve virus-based gene delivery, Nanotechnology for drug delivery, Design and synthesis of artificial extracellular matrices, Development of a true microsurgical operating environment, Refining data analysis algorithms to improve in vivo imaging technology, Results of Phase 1 clinical trials, Reverse translational ("bedside to bench") research. TVST seeks manuscripts from scientists and clinicians with diverse backgrounds ranging from basic chemistry to ophthalmic surgery that will advance or change the way we understand and/or treat vision-threatening diseases. TVST encourages the use of color, multimedia, hyperlinks, program code and other digital enhancements.
×
引用
GB/T 7714-2015
复制
MLA
复制
APA
复制
导出至
BibTeX EndNote RefMan NoteFirst NoteExpress
×
提示
您的信息不完整,为了账户安全,请先补充。
现在去补充
×
提示
您因"违规操作"
具体请查看互助需知
我知道了
×
提示
确定
请完成安全验证×
copy
已复制链接
快去分享给好友吧!
我知道了
右上角分享
点击右上角分享
0
联系我们:info@booksci.cn Book学术提供免费学术资源搜索服务,方便国内外学者检索中英文文献。致力于提供最便捷和优质的服务体验。 Copyright © 2023 布克学术 All rights reserved.
京ICP备2023020795号-1
ghs 京公网安备 11010802042870号
Book学术文献互助
Book学术文献互助群
群 号:604180095
Book学术官方微信