离焦合并多节段矫正近视的效果。

Clinical ophthalmology (Auckland, N.Z.) Pub Date : 2025-09-04 eCollection Date: 2025-01-01 DOI:10.2147/OPTH.S541232
Marketa Zakova, Martin Fus, Leos Tejkl
{"title":"离焦合并多节段矫正近视的效果。","authors":"Marketa Zakova, Martin Fus, Leos Tejkl","doi":"10.2147/OPTH.S541232","DOIUrl":null,"url":null,"abstract":"<p><strong>Aim: </strong>The objective of this study was to evaluate the efficacy of DIMS (Defocus Incorporated Multiple Segments) in comparison to control group (CTRL) in a wide age group of European progressive myopes (6-26 years).</p><p><strong>Methods: </strong>In this prospective, non-randomised observational study, 78 myopes with progression myopia to -0.25 to -8.5 D and astigmatism to -0.25 to -2.25 D chose DIMS (n=54) or single vision lenses (SV) (n=24). Baseline measurements included spherical equivalent refraction (SER) and axial length (AL), evaluated at regular intervals.</p><p><strong>Results: </strong>In participants younger than 15 years of age, slower progression of myopia (SER) (SER -0.25±0.35 D) and reduced axial elongation (0.09 ± 0.16 mm) was observed in Group 1 (DIMS) compared to Group 2 (CTRL) (SER -0.73 ± 0.57 D, AL 0.30 ± 0.20 mm), both significantly at p-value <0.05. In participants over 15 years of age, Group 3 (DIMS) exhibited minimal myopia progression (SER -0.24 ± 0.29D) and negligible axial elongation (0.00 ± 0.07 mm), Group 4 (CTRL) demonstrated more pronounced axial elongation (SER -0.20 ± 0.53D, AL 0.01 ± 0.06 mm).</p><p><strong>Conclusion: </strong>It can be stated that the DIMS variant is 68.7% more effective in the category of subjects younger than 15 years of age in the effect on AL and 65.6% more effective in the effect on SER compared to the SV lenses. This deceleration in myopia progression is statistically significant in the under 15 age group. A statistically significant difference in the effect on SER in this age group was observed for DIMS.</p>","PeriodicalId":93945,"journal":{"name":"Clinical ophthalmology (Auckland, N.Z.)","volume":"19 ","pages":"3191-3199"},"PeriodicalIF":0.0000,"publicationDate":"2025-09-04","publicationTypes":"Journal Article","fieldsOfStudy":null,"isOpenAccess":false,"openAccessPdf":"https://www.ncbi.nlm.nih.gov/pmc/articles/PMC12416392/pdf/","citationCount":"0","resultStr":"{\"title\":\"Efficacy of Spectacle Correction Using Defocus Incorporated Multiple Segments in the Myopic Population.\",\"authors\":\"Marketa Zakova, Martin Fus, Leos Tejkl\",\"doi\":\"10.2147/OPTH.S541232\",\"DOIUrl\":null,\"url\":null,\"abstract\":\"<p><strong>Aim: </strong>The objective of this study was to evaluate the efficacy of DIMS (Defocus Incorporated Multiple Segments) in comparison to control group (CTRL) in a wide age group of European progressive myopes (6-26 years).</p><p><strong>Methods: </strong>In this prospective, non-randomised observational study, 78 myopes with progression myopia to -0.25 to -8.5 D and astigmatism to -0.25 to -2.25 D chose DIMS (n=54) or single vision lenses (SV) (n=24). Baseline measurements included spherical equivalent refraction (SER) and axial length (AL), evaluated at regular intervals.</p><p><strong>Results: </strong>In participants younger than 15 years of age, slower progression of myopia (SER) (SER -0.25±0.35 D) and reduced axial elongation (0.09 ± 0.16 mm) was observed in Group 1 (DIMS) compared to Group 2 (CTRL) (SER -0.73 ± 0.57 D, AL 0.30 ± 0.20 mm), both significantly at p-value <0.05. In participants over 15 years of age, Group 3 (DIMS) exhibited minimal myopia progression (SER -0.24 ± 0.29D) and negligible axial elongation (0.00 ± 0.07 mm), Group 4 (CTRL) demonstrated more pronounced axial elongation (SER -0.20 ± 0.53D, AL 0.01 ± 0.06 mm).</p><p><strong>Conclusion: </strong>It can be stated that the DIMS variant is 68.7% more effective in the category of subjects younger than 15 years of age in the effect on AL and 65.6% more effective in the effect on SER compared to the SV lenses. This deceleration in myopia progression is statistically significant in the under 15 age group. A statistically significant difference in the effect on SER in this age group was observed for DIMS.</p>\",\"PeriodicalId\":93945,\"journal\":{\"name\":\"Clinical ophthalmology (Auckland, N.Z.)\",\"volume\":\"19 \",\"pages\":\"3191-3199\"},\"PeriodicalIF\":0.0000,\"publicationDate\":\"2025-09-04\",\"publicationTypes\":\"Journal Article\",\"fieldsOfStudy\":null,\"isOpenAccess\":false,\"openAccessPdf\":\"https://www.ncbi.nlm.nih.gov/pmc/articles/PMC12416392/pdf/\",\"citationCount\":\"0\",\"resultStr\":null,\"platform\":\"Semanticscholar\",\"paperid\":null,\"PeriodicalName\":\"Clinical ophthalmology (Auckland, N.Z.)\",\"FirstCategoryId\":\"1085\",\"ListUrlMain\":\"https://doi.org/10.2147/OPTH.S541232\",\"RegionNum\":0,\"RegionCategory\":null,\"ArticlePicture\":[],\"TitleCN\":null,\"AbstractTextCN\":null,\"PMCID\":null,\"EPubDate\":\"2025/1/1 0:00:00\",\"PubModel\":\"eCollection\",\"JCR\":\"\",\"JCRName\":\"\",\"Score\":null,\"Total\":0}","platform":"Semanticscholar","paperid":null,"PeriodicalName":"Clinical ophthalmology (Auckland, N.Z.)","FirstCategoryId":"1085","ListUrlMain":"https://doi.org/10.2147/OPTH.S541232","RegionNum":0,"RegionCategory":null,"ArticlePicture":[],"TitleCN":null,"AbstractTextCN":null,"PMCID":null,"EPubDate":"2025/1/1 0:00:00","PubModel":"eCollection","JCR":"","JCRName":"","Score":null,"Total":0}
引用次数: 0

摘要

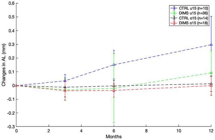
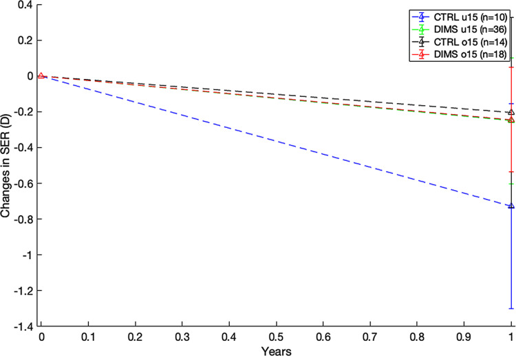
目的:本研究的目的是评估DIMS(离焦合并多节段)与对照组(CTRL)在大年龄组欧洲进行性近视(6-26岁)中的疗效。方法:在这项前瞻性、非随机观察性研究中,78名进展性近视至-0.25至-8.5 D,散光至-0.25至-2.25 D的患者选择了DIMS (n=54)或单视力镜片(n=24)。基线测量包括球面等效折射(SER)和轴向长度(AL),定期评估。结果:在15岁以下的参与者中,与对照组2 (SER -0.73±0.57 D, AL 0.30±0.20 mm)相比,第1组(DIMS)的近视进展(SER -0.25±0.35 D)和轴向伸长(0.09±0.16 mm)降低,两者均具有显著的p值。可以说,与SV镜头相比,DIMS变体在15岁以下受试者中对AL的影响比SV镜头高68.7%,对SER的影响比SV镜头高65.6%。这种近视进展的减速在15岁以下年龄组中具有统计学意义。DIMS对该年龄组SER的影响有统计学意义的差异。
本文章由计算机程序翻译,如有差异,请以英文原文为准。

Efficacy of Spectacle Correction Using Defocus Incorporated Multiple Segments in the Myopic Population.

Efficacy of Spectacle Correction Using Defocus Incorporated Multiple Segments in the Myopic Population.

Efficacy of Spectacle Correction Using Defocus Incorporated Multiple Segments in the Myopic Population.

Efficacy of Spectacle Correction Using Defocus Incorporated Multiple Segments in the Myopic Population.

Aim: The objective of this study was to evaluate the efficacy of DIMS (Defocus Incorporated Multiple Segments) in comparison to control group (CTRL) in a wide age group of European progressive myopes (6-26 years).

Methods: In this prospective, non-randomised observational study, 78 myopes with progression myopia to -0.25 to -8.5 D and astigmatism to -0.25 to -2.25 D chose DIMS (n=54) or single vision lenses (SV) (n=24). Baseline measurements included spherical equivalent refraction (SER) and axial length (AL), evaluated at regular intervals.

Results: In participants younger than 15 years of age, slower progression of myopia (SER) (SER -0.25±0.35 D) and reduced axial elongation (0.09 ± 0.16 mm) was observed in Group 1 (DIMS) compared to Group 2 (CTRL) (SER -0.73 ± 0.57 D, AL 0.30 ± 0.20 mm), both significantly at p-value <0.05. In participants over 15 years of age, Group 3 (DIMS) exhibited minimal myopia progression (SER -0.24 ± 0.29D) and negligible axial elongation (0.00 ± 0.07 mm), Group 4 (CTRL) demonstrated more pronounced axial elongation (SER -0.20 ± 0.53D, AL 0.01 ± 0.06 mm).

Conclusion: It can be stated that the DIMS variant is 68.7% more effective in the category of subjects younger than 15 years of age in the effect on AL and 65.6% more effective in the effect on SER compared to the SV lenses. This deceleration in myopia progression is statistically significant in the under 15 age group. A statistically significant difference in the effect on SER in this age group was observed for DIMS.

求助全文
通过发布文献求助,成功后即可免费获取论文全文。 去求助
来源期刊
CiteScore
4.10
自引率
0.00%
发文量
0
×
引用
GB/T 7714-2015
复制
MLA
复制
APA
复制
导出至
BibTeX EndNote RefMan NoteFirst NoteExpress
×
提示
您的信息不完整,为了账户安全,请先补充。
现在去补充
×
提示
您因"违规操作"
具体请查看互助需知
我知道了
×
提示
确定
请完成安全验证×
copy
已复制链接
快去分享给好友吧!
我知道了
右上角分享
点击右上角分享
0
联系我们:info@booksci.cn Book学术提供免费学术资源搜索服务,方便国内外学者检索中英文文献。致力于提供最便捷和优质的服务体验。 Copyright © 2023 布克学术 All rights reserved.
京ICP备2023020795号-1
ghs 京公网安备 11010802042870号
Book学术文献互助
Book学术文献互助群
群 号:604180095
Book学术官方微信