3D各向同性FastView MRI定位器允许可靠的下肢扭转测量。

IF 3.6 Q1 RADIOLOGY, NUCLEAR MEDICINE & MEDICAL IMAGING
Felix L Herr, Natascha Hohmann, Christian Dascalescu, Boj Hoppe, Hannah Gildein, Verena Schäfer, Jens Ricke, Boris M Holzapfel, Lennart Schröder, Nina Hesse, Jörg Arnholdt, Paul Reidler
{"title":"3D各向同性FastView MRI定位器允许可靠的下肢扭转测量。","authors":"Felix L Herr, Natascha Hohmann, Christian Dascalescu, Boj Hoppe, Hannah Gildein, Verena Schäfer, Jens Ricke, Boris M Holzapfel, Lennart Schröder, Nina Hesse, Jörg Arnholdt, Paul Reidler","doi":"10.1186/s41747-025-00631-9","DOIUrl":null,"url":null,"abstract":"<p><p>Computed tomography (CT) and magnetic resonance imaging (MRI) are commonly used to assess femoral and tibial torsion. While CT offers high spatial resolution, it involves ionizing radiation. MRI avoids radiation but requires multiple sequences and extended acquisition time. We retrospectively evaluated whether a three-dimensional isotropic MRI localizer (FastView) could serve as a reliable and faster alternative. In this retrospective single-center study, 60 lower limbs from 30 patients, aged 27.1 ± 11.5 years (mean ± standard deviation), 19 females and 11 males, were assessed using both FastView and a dedicated MRI protocol. FastView (5 × 5 × 5 mm<sup>3</sup> voxels) imaged the entire lower limb in 17.4 s compared to nearly 7 min for the dedicated protocol. Torsion angles were measured independently by two readers. Agreement between methods was evaluated using intraclass correlation coefficients (ICCs), Bland-Altman plots, and Pearson R². No significant differences in torsion values were found (all p > 0.305). Femoral (ICC: 0.91-0.96) and tibial (ICC: 0.91-0.94) torsion showed excellent inter-modality agreement. Inter-reader reliability was also high (ICC: 0.95-0.99). Correlation values confirmed strong agreement (R²: 0.891-0.963). FastView demonstrated accuracy comparable to the dedicated protocol, offering a fast, efficient, and radiation-free option for routine torsion assessment. RELEVANCE STATEMENT: FastView MRI localizer offers a fast and resource-efficient method for assessing lower limb torsion, potentially replacing standard multisequence protocols in routine clinical practice. KEY POINTS: FastView MRI enables lower limb torsion measurements with full-limb coverage in under 20 s. Torsion angles from FastView and dedicated MRI showed no significant differences. Femoral and tibial ICCs between 0.91 and 0.96 confirm excellent inter-protocol agreement. Inter-reader agreement was consistently high across both protocols. FastView may replace multisequence MRI protocols in routine clinical torsion assessment.</p>","PeriodicalId":36926,"journal":{"name":"European Radiology Experimental","volume":"9 1","pages":"87"},"PeriodicalIF":3.6000,"publicationDate":"2025-09-09","publicationTypes":"Journal Article","fieldsOfStudy":null,"isOpenAccess":false,"openAccessPdf":"https://www.ncbi.nlm.nih.gov/pmc/articles/PMC12420559/pdf/","citationCount":"0","resultStr":"{\"title\":\"3D isotropic FastView MRI localizer allows reliable torsion measurements of the lower limb.\",\"authors\":\"Felix L Herr, Natascha Hohmann, Christian Dascalescu, Boj Hoppe, Hannah Gildein, Verena Schäfer, Jens Ricke, Boris M Holzapfel, Lennart Schröder, Nina Hesse, Jörg Arnholdt, Paul Reidler\",\"doi\":\"10.1186/s41747-025-00631-9\",\"DOIUrl\":null,\"url\":null,\"abstract\":\"<p><p>Computed tomography (CT) and magnetic resonance imaging (MRI) are commonly used to assess femoral and tibial torsion. While CT offers high spatial resolution, it involves ionizing radiation. MRI avoids radiation but requires multiple sequences and extended acquisition time. We retrospectively evaluated whether a three-dimensional isotropic MRI localizer (FastView) could serve as a reliable and faster alternative. In this retrospective single-center study, 60 lower limbs from 30 patients, aged 27.1 ± 11.5 years (mean ± standard deviation), 19 females and 11 males, were assessed using both FastView and a dedicated MRI protocol. FastView (5 × 5 × 5 mm<sup>3</sup> voxels) imaged the entire lower limb in 17.4 s compared to nearly 7 min for the dedicated protocol. Torsion angles were measured independently by two readers. Agreement between methods was evaluated using intraclass correlation coefficients (ICCs), Bland-Altman plots, and Pearson R². No significant differences in torsion values were found (all p > 0.305). Femoral (ICC: 0.91-0.96) and tibial (ICC: 0.91-0.94) torsion showed excellent inter-modality agreement. Inter-reader reliability was also high (ICC: 0.95-0.99). Correlation values confirmed strong agreement (R²: 0.891-0.963). FastView demonstrated accuracy comparable to the dedicated protocol, offering a fast, efficient, and radiation-free option for routine torsion assessment. RELEVANCE STATEMENT: FastView MRI localizer offers a fast and resource-efficient method for assessing lower limb torsion, potentially replacing standard multisequence protocols in routine clinical practice. KEY POINTS: FastView MRI enables lower limb torsion measurements with full-limb coverage in under 20 s. Torsion angles from FastView and dedicated MRI showed no significant differences. Femoral and tibial ICCs between 0.91 and 0.96 confirm excellent inter-protocol agreement. Inter-reader agreement was consistently high across both protocols. FastView may replace multisequence MRI protocols in routine clinical torsion assessment.</p>\",\"PeriodicalId\":36926,\"journal\":{\"name\":\"European Radiology Experimental\",\"volume\":\"9 1\",\"pages\":\"87\"},\"PeriodicalIF\":3.6000,\"publicationDate\":\"2025-09-09\",\"publicationTypes\":\"Journal Article\",\"fieldsOfStudy\":null,\"isOpenAccess\":false,\"openAccessPdf\":\"https://www.ncbi.nlm.nih.gov/pmc/articles/PMC12420559/pdf/\",\"citationCount\":\"0\",\"resultStr\":null,\"platform\":\"Semanticscholar\",\"paperid\":null,\"PeriodicalName\":\"European Radiology Experimental\",\"FirstCategoryId\":\"1085\",\"ListUrlMain\":\"https://doi.org/10.1186/s41747-025-00631-9\",\"RegionNum\":0,\"RegionCategory\":null,\"ArticlePicture\":[],\"TitleCN\":null,\"AbstractTextCN\":null,\"PMCID\":null,\"EPubDate\":\"\",\"PubModel\":\"\",\"JCR\":\"Q1\",\"JCRName\":\"RADIOLOGY, NUCLEAR MEDICINE & MEDICAL IMAGING\",\"Score\":null,\"Total\":0}","platform":"Semanticscholar","paperid":null,"PeriodicalName":"European Radiology Experimental","FirstCategoryId":"1085","ListUrlMain":"https://doi.org/10.1186/s41747-025-00631-9","RegionNum":0,"RegionCategory":null,"ArticlePicture":[],"TitleCN":null,"AbstractTextCN":null,"PMCID":null,"EPubDate":"","PubModel":"","JCR":"Q1","JCRName":"RADIOLOGY, NUCLEAR MEDICINE & MEDICAL IMAGING","Score":null,"Total":0}
引用次数: 0

摘要

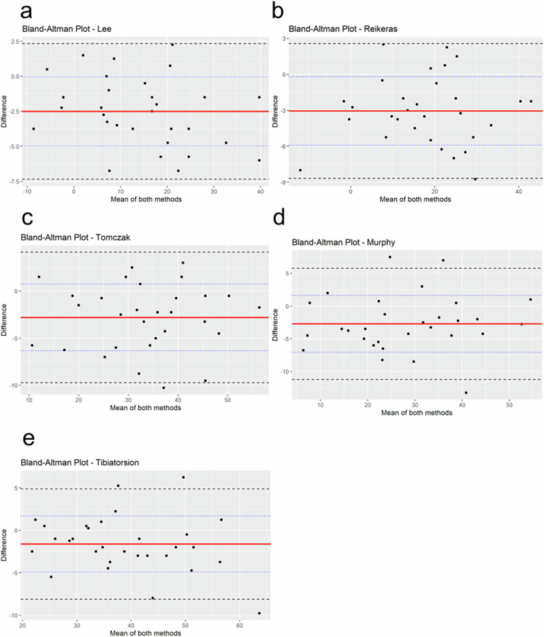
计算机断层扫描(CT)和磁共振成像(MRI)通常用于评估股骨和胫骨扭转。虽然CT提供高空间分辨率,但它涉及电离辐射。MRI避免了辐射,但需要多个序列和较长的采集时间。我们回顾性地评估了三维各向同性MRI定位仪(FastView)是否可以作为可靠和快速的替代方案。在这项回顾性单中心研究中,使用FastView和专用MRI方案评估了30例患者的60条下肢,年龄27.1±11.5岁(平均±标准差),其中19例女性和11例男性。FastView (5 × 5 × 5 mm3体素)在17.4秒内成像整个下肢,而专用方案则需要近7分钟。扭力角由两个读取器独立测量。采用类内相关系数(ICCs)、Bland-Altman图和Pearson R²评价方法间的一致性。扭力值无显著差异(p < 0.05)。股骨扭转(ICC: 0.91-0.96)和胫骨扭转(ICC: 0.91-0.94)表现出良好的模态一致性。读者间信度也很高(ICC: 0.95-0.99)。相关值证实了很强的一致性(R²:0.891-0.963)。FastView显示出与专用方案相当的准确性,为常规扭转评估提供了快速、高效、无辐射的选择。相关声明:FastView MRI定位仪提供了一种快速且资源高效的评估下肢扭转的方法,有可能在常规临床实践中取代标准的多序列方案。重点:FastView MRI能够在20秒内进行下肢扭转测量,覆盖整个肢体。FastView和专用MRI显示扭力角度无显著差异。股骨和胫骨icc介于0.91和0.96之间,证实了良好的协议间一致性。两种协议的读者间一致性一直很高。FastView可替代多序列MRI方案用于常规临床扭转评估。
本文章由计算机程序翻译,如有差异,请以英文原文为准。

3D isotropic FastView MRI localizer allows reliable torsion measurements of the lower limb.

3D isotropic FastView MRI localizer allows reliable torsion measurements of the lower limb.

3D isotropic FastView MRI localizer allows reliable torsion measurements of the lower limb.

3D isotropic FastView MRI localizer allows reliable torsion measurements of the lower limb.

Computed tomography (CT) and magnetic resonance imaging (MRI) are commonly used to assess femoral and tibial torsion. While CT offers high spatial resolution, it involves ionizing radiation. MRI avoids radiation but requires multiple sequences and extended acquisition time. We retrospectively evaluated whether a three-dimensional isotropic MRI localizer (FastView) could serve as a reliable and faster alternative. In this retrospective single-center study, 60 lower limbs from 30 patients, aged 27.1 ± 11.5 years (mean ± standard deviation), 19 females and 11 males, were assessed using both FastView and a dedicated MRI protocol. FastView (5 × 5 × 5 mm3 voxels) imaged the entire lower limb in 17.4 s compared to nearly 7 min for the dedicated protocol. Torsion angles were measured independently by two readers. Agreement between methods was evaluated using intraclass correlation coefficients (ICCs), Bland-Altman plots, and Pearson R². No significant differences in torsion values were found (all p > 0.305). Femoral (ICC: 0.91-0.96) and tibial (ICC: 0.91-0.94) torsion showed excellent inter-modality agreement. Inter-reader reliability was also high (ICC: 0.95-0.99). Correlation values confirmed strong agreement (R²: 0.891-0.963). FastView demonstrated accuracy comparable to the dedicated protocol, offering a fast, efficient, and radiation-free option for routine torsion assessment. RELEVANCE STATEMENT: FastView MRI localizer offers a fast and resource-efficient method for assessing lower limb torsion, potentially replacing standard multisequence protocols in routine clinical practice. KEY POINTS: FastView MRI enables lower limb torsion measurements with full-limb coverage in under 20 s. Torsion angles from FastView and dedicated MRI showed no significant differences. Femoral and tibial ICCs between 0.91 and 0.96 confirm excellent inter-protocol agreement. Inter-reader agreement was consistently high across both protocols. FastView may replace multisequence MRI protocols in routine clinical torsion assessment.

求助全文
通过发布文献求助,成功后即可免费获取论文全文。 去求助
来源期刊
European Radiology Experimental
European Radiology Experimental Medicine-Radiology, Nuclear Medicine and Imaging
CiteScore
6.70
自引率
2.60%
发文量
56
审稿时长
18 weeks
×
引用
GB/T 7714-2015
复制
MLA
复制
APA
复制
导出至
BibTeX EndNote RefMan NoteFirst NoteExpress
×
提示
您的信息不完整,为了账户安全,请先补充。
现在去补充
×
提示
您因"违规操作"
具体请查看互助需知
我知道了
×
提示
确定
请完成安全验证×
copy
已复制链接
快去分享给好友吧!
我知道了
右上角分享
点击右上角分享
0
联系我们:info@booksci.cn Book学术提供免费学术资源搜索服务,方便国内外学者检索中英文文献。致力于提供最便捷和优质的服务体验。 Copyright © 2023 布克学术 All rights reserved.
京ICP备2023020795号-1
ghs 京公网安备 11010802042870号
Book学术文献互助
Book学术文献互助群
群 号:604180095
Book学术官方微信