胎儿MRI肺体积分割:超分辨率重建提高了评分间的可靠性。

IF 3.6 Q1 RADIOLOGY, NUCLEAR MEDICINE & MEDICAL IMAGING
Kelly Payette, Julia Geiger, Michael Zellner, Céline Steger, Christian J Kellenberger, Ruth Tuura, Raimund Kottke, Andras Jakab
{"title":"胎儿MRI肺体积分割:超分辨率重建提高了评分间的可靠性。","authors":"Kelly Payette, Julia Geiger, Michael Zellner, Céline Steger, Christian J Kellenberger, Ruth Tuura, Raimund Kottke, Andras Jakab","doi":"10.1186/s41747-025-00628-4","DOIUrl":null,"url":null,"abstract":"<p><strong>Background: </strong>Fetal MRI is increasingly used to investigate fetal lung pathologies, and super-resolution (SR) algorithms could be a powerful clinical tool for this assessment. Our goal was to investigate whether SR reconstructions result in an improved agreement in lung volume measurements determined by different raters, also known as inter-rater reliability.</p><p><strong>Materials and methods: </strong>In this single-center retrospective study, fetal lung volumes calculated from both SR reconstructions and the original images were analyzed. Three radiologists manually segmented the fetal lungs and rated the image quality of all images and reconstructions. Fetal lung volumes were calculated, and the coefficient of variation (CV) was determined for each set of images. Bland-Altman plots were generated, and intraclass correlation coefficients (ICCs) were calculated. A one-sided paired Wilcoxon test was used to compare the fetal lung volume CVs, and a two-sided paired t-test was used to compare the lung volumes. The quality ratings were compared using a two-sided paired Wilcoxon test.</p><p><strong>Results: </strong>A total of 98 fetal scans with gestational ages from 19 to 37 weeks were evaluated. There was a significantly lower CV in the lung volumes segmented from the SR reconstructions (p < 0.001), and the ICCs of the reconstructions were higher than those determined from the original images. Bland-Altman plots demonstrated better agreement in the SR reconstruction lung volumes. No significant differences in quality ratings or lung volumes were found.</p><p><strong>Conclusion: </strong>SR reconstructions of the fetal lungs in MRI enabled better inter-rater reliability of fetal lung volume assessment.</p><p><strong>Relevance statement: </strong>SR reconstructions of the fetal body, obtained through fetal MRI, can be a valuable tool for improving the inter-rater reliability of fetal lung volume measurements, a crucial clinical biomarker for assessing fetal development and predicting pregnancy outcomes.</p><p><strong>Key points: </strong>Deformable slice-to-volume reconstructions of fetal body MRI could be a valuable clinical tool. Quantitative advantages of fetal body MRI reconstructions need to be proven. Fetal body MRI reconstructions improved inter-rater reliability in lung volume measurements.</p>","PeriodicalId":36926,"journal":{"name":"European Radiology Experimental","volume":"9 1","pages":"88"},"PeriodicalIF":3.6000,"publicationDate":"2025-09-09","publicationTypes":"Journal Article","fieldsOfStudy":null,"isOpenAccess":false,"openAccessPdf":"https://www.ncbi.nlm.nih.gov/pmc/articles/PMC12420550/pdf/","citationCount":"0","resultStr":"{\"title\":\"Lung volume segmentation in fetal MRI: super-resolution reconstructions improve inter-rater reliability.\",\"authors\":\"Kelly Payette, Julia Geiger, Michael Zellner, Céline Steger, Christian J Kellenberger, Ruth Tuura, Raimund Kottke, Andras Jakab\",\"doi\":\"10.1186/s41747-025-00628-4\",\"DOIUrl\":null,\"url\":null,\"abstract\":\"<p><strong>Background: </strong>Fetal MRI is increasingly used to investigate fetal lung pathologies, and super-resolution (SR) algorithms could be a powerful clinical tool for this assessment. Our goal was to investigate whether SR reconstructions result in an improved agreement in lung volume measurements determined by different raters, also known as inter-rater reliability.</p><p><strong>Materials and methods: </strong>In this single-center retrospective study, fetal lung volumes calculated from both SR reconstructions and the original images were analyzed. Three radiologists manually segmented the fetal lungs and rated the image quality of all images and reconstructions. Fetal lung volumes were calculated, and the coefficient of variation (CV) was determined for each set of images. Bland-Altman plots were generated, and intraclass correlation coefficients (ICCs) were calculated. A one-sided paired Wilcoxon test was used to compare the fetal lung volume CVs, and a two-sided paired t-test was used to compare the lung volumes. The quality ratings were compared using a two-sided paired Wilcoxon test.</p><p><strong>Results: </strong>A total of 98 fetal scans with gestational ages from 19 to 37 weeks were evaluated. There was a significantly lower CV in the lung volumes segmented from the SR reconstructions (p < 0.001), and the ICCs of the reconstructions were higher than those determined from the original images. Bland-Altman plots demonstrated better agreement in the SR reconstruction lung volumes. No significant differences in quality ratings or lung volumes were found.</p><p><strong>Conclusion: </strong>SR reconstructions of the fetal lungs in MRI enabled better inter-rater reliability of fetal lung volume assessment.</p><p><strong>Relevance statement: </strong>SR reconstructions of the fetal body, obtained through fetal MRI, can be a valuable tool for improving the inter-rater reliability of fetal lung volume measurements, a crucial clinical biomarker for assessing fetal development and predicting pregnancy outcomes.</p><p><strong>Key points: </strong>Deformable slice-to-volume reconstructions of fetal body MRI could be a valuable clinical tool. Quantitative advantages of fetal body MRI reconstructions need to be proven. Fetal body MRI reconstructions improved inter-rater reliability in lung volume measurements.</p>\",\"PeriodicalId\":36926,\"journal\":{\"name\":\"European Radiology Experimental\",\"volume\":\"9 1\",\"pages\":\"88\"},\"PeriodicalIF\":3.6000,\"publicationDate\":\"2025-09-09\",\"publicationTypes\":\"Journal Article\",\"fieldsOfStudy\":null,\"isOpenAccess\":false,\"openAccessPdf\":\"https://www.ncbi.nlm.nih.gov/pmc/articles/PMC12420550/pdf/\",\"citationCount\":\"0\",\"resultStr\":null,\"platform\":\"Semanticscholar\",\"paperid\":null,\"PeriodicalName\":\"European Radiology Experimental\",\"FirstCategoryId\":\"1085\",\"ListUrlMain\":\"https://doi.org/10.1186/s41747-025-00628-4\",\"RegionNum\":0,\"RegionCategory\":null,\"ArticlePicture\":[],\"TitleCN\":null,\"AbstractTextCN\":null,\"PMCID\":null,\"EPubDate\":\"\",\"PubModel\":\"\",\"JCR\":\"Q1\",\"JCRName\":\"RADIOLOGY, NUCLEAR MEDICINE & MEDICAL IMAGING\",\"Score\":null,\"Total\":0}","platform":"Semanticscholar","paperid":null,"PeriodicalName":"European Radiology Experimental","FirstCategoryId":"1085","ListUrlMain":"https://doi.org/10.1186/s41747-025-00628-4","RegionNum":0,"RegionCategory":null,"ArticlePicture":[],"TitleCN":null,"AbstractTextCN":null,"PMCID":null,"EPubDate":"","PubModel":"","JCR":"Q1","JCRName":"RADIOLOGY, NUCLEAR MEDICINE & MEDICAL IMAGING","Score":null,"Total":0}
引用次数: 0

摘要

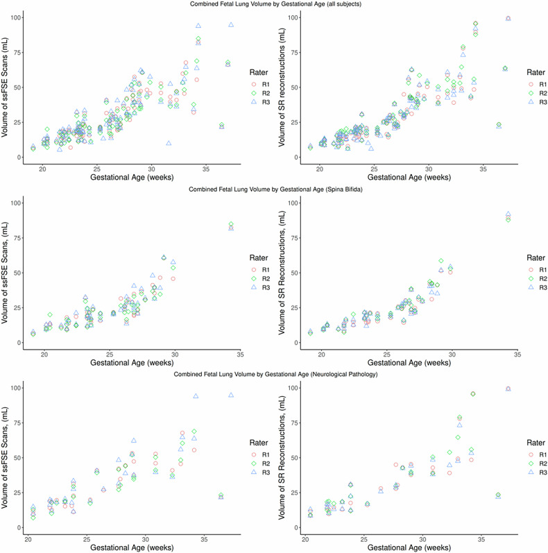
背景:胎儿MRI越来越多地用于研究胎儿肺部病变,超分辨率(SR)算法可能是一种强大的临床评估工具。我们的目的是研究SR重建是否能提高由不同评分者确定的肺体积测量结果的一致性,也称为评分者间可靠性。材料和方法:在这项单中心回顾性研究中,分析了根据SR重建和原始图像计算的胎儿肺体积。三位放射科医生手动分割胎儿肺,并对所有图像和重建的图像质量进行评分。计算胎儿肺体积,并确定每组图像的变异系数(CV)。生成Bland-Altman图,计算类内相关系数(ICCs)。采用单侧配对Wilcoxon检验比较胎儿肺容量CVs,采用双侧配对t检验比较肺容量。质量评分采用双侧配对Wilcoxon检验进行比较。结果:共98个胎龄为19 ~ 37周的胎儿扫描被评估。结论:MRI中胎儿肺的SR重建使胎儿肺体积评估的评分间可靠性更高。相关声明:通过胎儿MRI获得胎儿体的SR重建,可以成为提高胎儿肺体积测量的可靠性的有价值的工具,这是评估胎儿发育和预测妊娠结局的重要临床生物标志物。重点:胎儿体MRI可变形切片-体积重建可能是一种有价值的临床工具。胎儿体MRI重建的定量优势有待证实。胎儿体MRI重建提高了肺体积测量的可靠性。
本文章由计算机程序翻译,如有差异,请以英文原文为准。

Lung volume segmentation in fetal MRI: super-resolution reconstructions improve inter-rater reliability.

Lung volume segmentation in fetal MRI: super-resolution reconstructions improve inter-rater reliability.

Lung volume segmentation in fetal MRI: super-resolution reconstructions improve inter-rater reliability.

Lung volume segmentation in fetal MRI: super-resolution reconstructions improve inter-rater reliability.

Background: Fetal MRI is increasingly used to investigate fetal lung pathologies, and super-resolution (SR) algorithms could be a powerful clinical tool for this assessment. Our goal was to investigate whether SR reconstructions result in an improved agreement in lung volume measurements determined by different raters, also known as inter-rater reliability.

Materials and methods: In this single-center retrospective study, fetal lung volumes calculated from both SR reconstructions and the original images were analyzed. Three radiologists manually segmented the fetal lungs and rated the image quality of all images and reconstructions. Fetal lung volumes were calculated, and the coefficient of variation (CV) was determined for each set of images. Bland-Altman plots were generated, and intraclass correlation coefficients (ICCs) were calculated. A one-sided paired Wilcoxon test was used to compare the fetal lung volume CVs, and a two-sided paired t-test was used to compare the lung volumes. The quality ratings were compared using a two-sided paired Wilcoxon test.

Results: A total of 98 fetal scans with gestational ages from 19 to 37 weeks were evaluated. There was a significantly lower CV in the lung volumes segmented from the SR reconstructions (p < 0.001), and the ICCs of the reconstructions were higher than those determined from the original images. Bland-Altman plots demonstrated better agreement in the SR reconstruction lung volumes. No significant differences in quality ratings or lung volumes were found.

Conclusion: SR reconstructions of the fetal lungs in MRI enabled better inter-rater reliability of fetal lung volume assessment.

Relevance statement: SR reconstructions of the fetal body, obtained through fetal MRI, can be a valuable tool for improving the inter-rater reliability of fetal lung volume measurements, a crucial clinical biomarker for assessing fetal development and predicting pregnancy outcomes.

Key points: Deformable slice-to-volume reconstructions of fetal body MRI could be a valuable clinical tool. Quantitative advantages of fetal body MRI reconstructions need to be proven. Fetal body MRI reconstructions improved inter-rater reliability in lung volume measurements.

求助全文
通过发布文献求助,成功后即可免费获取论文全文。 去求助
来源期刊
European Radiology Experimental
European Radiology Experimental Medicine-Radiology, Nuclear Medicine and Imaging
CiteScore
6.70
自引率
2.60%
发文量
56
审稿时长
18 weeks
×
引用
GB/T 7714-2015
复制
MLA
复制
APA
复制
导出至
BibTeX EndNote RefMan NoteFirst NoteExpress
×
提示
您的信息不完整,为了账户安全,请先补充。
现在去补充
×
提示
您因"违规操作"
具体请查看互助需知
我知道了
×
提示
确定
请完成安全验证×
copy
已复制链接
快去分享给好友吧!
我知道了
右上角分享
点击右上角分享
0
联系我们:info@booksci.cn Book学术提供免费学术资源搜索服务,方便国内外学者检索中英文文献。致力于提供最便捷和优质的服务体验。 Copyright © 2023 布克学术 All rights reserved.
京ICP备2023020795号-1
ghs 京公网安备 11010802042870号
Book学术文献互助
Book学术文献互助群
群 号:604180095
Book学术官方微信