运动后红外线桑拿的唾液皮质醇反应随时间下降。

Q1 Biochemistry, Genetics and Molecular Biology
Temperature Pub Date : 2025-04-27 eCollection Date: 2025-01-01 DOI:10.1080/23328940.2025.2493460
Essi K Ahokas, Heikki Kyröläinen, Johanna K Ihalainen, Helen G Hanstock
{"title":"运动后红外线桑拿的唾液皮质醇反应随时间下降。","authors":"Essi K Ahokas, Heikki Kyröläinen, Johanna K Ihalainen, Helen G Hanstock","doi":"10.1080/23328940.2025.2493460","DOIUrl":null,"url":null,"abstract":"<p><p>Heat exposure after exercise may enhance recovery of physical performance but can also impose additional physiological stress on athletes. This study investigated the effects of post-exercise infrared sauna (IRS) on adrenal and autonomic nervous system (ANS) responses and examined how these responses adapt over time during a 6-week training intervention. Forty female team-sport athletes were pair-matched into an IRS-group and a control group (CON). Participants completed jumping exercises followed by IRS (10 min, 50 °C) or passive recovery and physiological assessments during two experimental trials: in the first (EX1) and in the last (EX2) week of the training intervention. The ANS responses were assessed by nocturnal heart rate (HR) and heart rate variability recorded before and after exercise session. Saliva cortisol concentrations, muscle soreness, and perceived recovery were assessed in the morning, before and after the exercise sessions. Cortisol increased by 5.1 ± 8.6 nmol/l the morning after EX1 in the IRS-group (<i>p</i> = 0.017), but not in the CON-group. Furthermore, a greater pre-post change in cortisol concentration was observed following EX1 (4.6 ± 10.4 nmol/l) compared to EX2 (-1.8 ± 7.6 nmol/l). The IRS-group showed a higher post-session HR in EX1 compared to the CON-group (61 ± 8 bpm vs. 55 ± 6 bpm; <i>p</i> = 0.019). Increased muscle soreness was observed at EX1 post36h only in the CON-group. Post-exercise IRS initially elevated physiological stress responses in female athletes. After six weeks of regular IRS use, athletes' ANS balance and cortisol response adapted, suggesting effective physiological adjustment to the heat intervention within six weeks.</p>","PeriodicalId":36837,"journal":{"name":"Temperature","volume":"12 3","pages":"281-295"},"PeriodicalIF":0.0000,"publicationDate":"2025-04-27","publicationTypes":"Journal Article","fieldsOfStudy":null,"isOpenAccess":false,"openAccessPdf":"https://www.ncbi.nlm.nih.gov/pmc/articles/PMC12416168/pdf/","citationCount":"0","resultStr":"{\"title\":\"Salivary cortisol response to post-exercise infrared sauna declines over time.\",\"authors\":\"Essi K Ahokas, Heikki Kyröläinen, Johanna K Ihalainen, Helen G Hanstock\",\"doi\":\"10.1080/23328940.2025.2493460\",\"DOIUrl\":null,\"url\":null,\"abstract\":\"<p><p>Heat exposure after exercise may enhance recovery of physical performance but can also impose additional physiological stress on athletes. This study investigated the effects of post-exercise infrared sauna (IRS) on adrenal and autonomic nervous system (ANS) responses and examined how these responses adapt over time during a 6-week training intervention. Forty female team-sport athletes were pair-matched into an IRS-group and a control group (CON). Participants completed jumping exercises followed by IRS (10 min, 50 °C) or passive recovery and physiological assessments during two experimental trials: in the first (EX1) and in the last (EX2) week of the training intervention. The ANS responses were assessed by nocturnal heart rate (HR) and heart rate variability recorded before and after exercise session. Saliva cortisol concentrations, muscle soreness, and perceived recovery were assessed in the morning, before and after the exercise sessions. Cortisol increased by 5.1 ± 8.6 nmol/l the morning after EX1 in the IRS-group (<i>p</i> = 0.017), but not in the CON-group. Furthermore, a greater pre-post change in cortisol concentration was observed following EX1 (4.6 ± 10.4 nmol/l) compared to EX2 (-1.8 ± 7.6 nmol/l). The IRS-group showed a higher post-session HR in EX1 compared to the CON-group (61 ± 8 bpm vs. 55 ± 6 bpm; <i>p</i> = 0.019). Increased muscle soreness was observed at EX1 post36h only in the CON-group. Post-exercise IRS initially elevated physiological stress responses in female athletes. After six weeks of regular IRS use, athletes' ANS balance and cortisol response adapted, suggesting effective physiological adjustment to the heat intervention within six weeks.</p>\",\"PeriodicalId\":36837,\"journal\":{\"name\":\"Temperature\",\"volume\":\"12 3\",\"pages\":\"281-295\"},\"PeriodicalIF\":0.0000,\"publicationDate\":\"2025-04-27\",\"publicationTypes\":\"Journal Article\",\"fieldsOfStudy\":null,\"isOpenAccess\":false,\"openAccessPdf\":\"https://www.ncbi.nlm.nih.gov/pmc/articles/PMC12416168/pdf/\",\"citationCount\":\"0\",\"resultStr\":null,\"platform\":\"Semanticscholar\",\"paperid\":null,\"PeriodicalName\":\"Temperature\",\"FirstCategoryId\":\"1085\",\"ListUrlMain\":\"https://doi.org/10.1080/23328940.2025.2493460\",\"RegionNum\":0,\"RegionCategory\":null,\"ArticlePicture\":[],\"TitleCN\":null,\"AbstractTextCN\":null,\"PMCID\":null,\"EPubDate\":\"2025/1/1 0:00:00\",\"PubModel\":\"eCollection\",\"JCR\":\"Q1\",\"JCRName\":\"Biochemistry, Genetics and Molecular Biology\",\"Score\":null,\"Total\":0}","platform":"Semanticscholar","paperid":null,"PeriodicalName":"Temperature","FirstCategoryId":"1085","ListUrlMain":"https://doi.org/10.1080/23328940.2025.2493460","RegionNum":0,"RegionCategory":null,"ArticlePicture":[],"TitleCN":null,"AbstractTextCN":null,"PMCID":null,"EPubDate":"2025/1/1 0:00:00","PubModel":"eCollection","JCR":"Q1","JCRName":"Biochemistry, Genetics and Molecular Biology","Score":null,"Total":0}
引用次数: 0

摘要

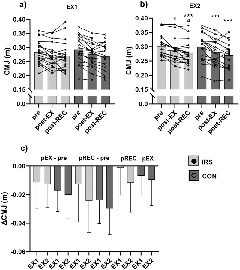
运动后的热暴露可以促进身体机能的恢复,但也会给运动员带来额外的生理压力。本研究调查了运动后红外线桑拿(IRS)对肾上腺和自主神经系统(ANS)反应的影响,并研究了这些反应在为期6周的训练干预中是如何随时间变化的。40名女性团队运动运动员被配对成irs组和对照组(CON)。在训练干预的第一周(EX1)和最后一周(EX2)进行的两次实验中,参与者完成了跳跃练习,然后进行IRS(10分钟,50°C)或被动恢复和生理评估。通过记录运动前后的夜间心率(HR)和心率变异性来评估ANS反应。唾液皮质醇浓度、肌肉酸痛和感知恢复在早晨、运动前和运动后进行评估。皮质醇在EX1后早晨升高5.1±8.6 nmol/l (p = 0.017), con组无升高。此外,与EX2(-1.8±7.6 nmol/l)相比,EX1后皮质醇浓度的前后变化更大(4.6±10.4 nmol/l)。与con组相比,irs组在EX1的治疗后HR更高(61±8 bpm vs 55±6 bpm; p = 0.019)。仅con组在36小时后EX1时观察到肌肉酸痛增加。运动后IRS最初提高了女性运动员的生理应激反应。在常规IRS使用六周后,运动员的ANS平衡和皮质醇反应适应,表明六周内对热干预进行了有效的生理调整。
本文章由计算机程序翻译,如有差异,请以英文原文为准。

Salivary cortisol response to post-exercise infrared sauna declines over time.

Salivary cortisol response to post-exercise infrared sauna declines over time.

Salivary cortisol response to post-exercise infrared sauna declines over time.

Salivary cortisol response to post-exercise infrared sauna declines over time.

Heat exposure after exercise may enhance recovery of physical performance but can also impose additional physiological stress on athletes. This study investigated the effects of post-exercise infrared sauna (IRS) on adrenal and autonomic nervous system (ANS) responses and examined how these responses adapt over time during a 6-week training intervention. Forty female team-sport athletes were pair-matched into an IRS-group and a control group (CON). Participants completed jumping exercises followed by IRS (10 min, 50 °C) or passive recovery and physiological assessments during two experimental trials: in the first (EX1) and in the last (EX2) week of the training intervention. The ANS responses were assessed by nocturnal heart rate (HR) and heart rate variability recorded before and after exercise session. Saliva cortisol concentrations, muscle soreness, and perceived recovery were assessed in the morning, before and after the exercise sessions. Cortisol increased by 5.1 ± 8.6 nmol/l the morning after EX1 in the IRS-group (p = 0.017), but not in the CON-group. Furthermore, a greater pre-post change in cortisol concentration was observed following EX1 (4.6 ± 10.4 nmol/l) compared to EX2 (-1.8 ± 7.6 nmol/l). The IRS-group showed a higher post-session HR in EX1 compared to the CON-group (61 ± 8 bpm vs. 55 ± 6 bpm; p = 0.019). Increased muscle soreness was observed at EX1 post36h only in the CON-group. Post-exercise IRS initially elevated physiological stress responses in female athletes. After six weeks of regular IRS use, athletes' ANS balance and cortisol response adapted, suggesting effective physiological adjustment to the heat intervention within six weeks.

求助全文
通过发布文献求助,成功后即可免费获取论文全文。 去求助
来源期刊
Temperature
Temperature Medicine-Physiology (medical)
CiteScore
10.40
自引率
0.00%
发文量
37
×
引用
GB/T 7714-2015
复制
MLA
复制
APA
复制
导出至
BibTeX EndNote RefMan NoteFirst NoteExpress
×
提示
您的信息不完整,为了账户安全,请先补充。
现在去补充
×
提示
您因"违规操作"
具体请查看互助需知
我知道了
×
提示
确定
请完成安全验证×
copy
已复制链接
快去分享给好友吧!
我知道了
右上角分享
点击右上角分享
0
联系我们:info@booksci.cn Book学术提供免费学术资源搜索服务,方便国内外学者检索中英文文献。致力于提供最便捷和优质的服务体验。 Copyright © 2023 布克学术 All rights reserved.
京ICP备2023020795号-1
ghs 京公网安备 11010802042870号
Book学术文献互助
Book学术文献互助群
群 号:604180095
Book学术官方微信